-
1 课件
-
2 学习要点
-
3 微课
-
4 课件
三相交流异步电动机星三角降压启动控制
1. 教学分析 | |||||
1.1 授课信息 | |||||
教学内容 | 三相交流异步电动机星三角降压启动控制 | 课程名称 | 电机与电气控制 | ||
授课形式 | 理实一体化 | 专业名称 | 电气自动化技术 | ||
授课对象 | 电气2303 | 授课学时 | 4课时 | ||
1.2 教学目标 | |||||
知识目标 | 能力目标 | 思政目标 | |||
1、掌握三相异步电动机“Y-△转换”控制线路的工作原理 2、掌握三相异步电动机“Y-△转换”控制线路的接线、安装、调试 3、时间继电器的使用和接线方法 | 1.能熟练进行时间继电器的安装 2.能熟练进行三相异步电动机“Y-△转换”控制线路的接线、安装 3.能熟练进行三相异步电动机“Y-△转换”控制线路的调试、排故 | 1.提高学生安全用电意识,规范操作 2.培养学生的“生态文明”意识,引导学生传承中华民族的传承美德,做到“节能先行 绿色发展”。 | |||
1.3 教学重点难点 | |||||
教学重点 | 教学难点 | ||||
1、三相异步电动机“Y-△转换”控制线路的接线、安装、调试 1. 2、时间继电器的使用和接线方法 | 1、三相异步电动机“Y-△转换”控制线路的工作原理 2、时间继电器的使用和接线方法 | ||||
2. 教学过程 | |||||
复习 1、三相交流异步电动启动方法 新课讲解 任务三 电动机“Y-△转换”控制线路的设计与调试 任务提出:本任务主要学习用电气控制线路来自动完成降压启动的过程。 【引入】电动机全压启动出现的后果剖析:例如:电网电压下降、启动电流过大,导致电机易损坏等 知识链接 一、 电动机降压启动 1、 降压启动:利用启动设备将电压适当降低后加到电动机的定子绕组上进行启动,待电动机启动运转后,再使其电压恢复到额定值正常运行。 2、 降压启动的方法:定子绕组中串接电阻 Y-△降压启动 自耦变压器降压启动;延边三角形降压启动 软启动控制 3、 电动机的Y形连接和△连接
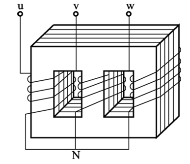
Y形连接 △连接 【学生实践】电动机星形连接和三角形连接 【思考】星形连接到三角形连接的转换为什么可以实现降压启动?主要原因? 二、Y-△转换控制线路的设计与分析
图1 三相异步电动机Y/△降压启动控制线路 工作原理分析:
【思考】时间继电器的作用?如果时间继电器的连线改变后电路能否实现Y/△转换? 【强调】自锁、互锁的作用 任务实施 一、 工具、器材准备 二、操作方法【学生安装接线,强调注意事项】 1、首先要把三相异步电动机Y-△转换控制线路工作原理搞清楚,对每一步实现怎样的功能,每一个元器件起到什么样的作用都要知道。 2、根据电气原理图,将导线正确连接到每个元器件上,并注意导线一定要直,拐弯处要成直角。 3、每一根导线都要接牢,防止脱落。 4、时间继电器的接法
【学生实践】 三、调试 ★ 接线完毕后,对控制线路进行不通电错误排查 【主要基于上一任务“电动机正反转控制线路”调试的方法,启发学生自己总结进行错误排查的方法】 ★ 通电调试【学生和教师共同参与,结合实际情况打分】 1、按下启动按钮SB2,电动机Y联结启动,观察时间继电器及各个接触器的工作情况。 2经过一段延时(10秒)时间后,时间继电器动作,电动机按△联结正常运行,观察时间继电器及各个接触器的工作情况。 3按下停止按钮SB1,电动机停止运转。 4、重复操作几遍,理解控制电路的工作原理及时间继电器的作用。 小结: Ø 电机降压启动的概念、作用 Ø “Y-△转换”控制线路的工作原理分析 Ø 自锁、互锁 作业: 1、分析“Y-△转换”控制线路的工作原理 2、电机在正反转过程中都要实现“电机的Y-△转换”,其电路原理图应该如何设计? | |||||
3.教学反思 | |||||
1.经过反复案例训练与课后拓展知识巩固相结合,有助于促进学生强化吸收,理解消化 2.分组协同完成任务能够促进学生之间的团队合作 | |||||















