-
1 课件
-
2 学习要点
-
3 微课
-
4 课件
任务四 直流电动机制动与方案设计
1. 教学分析 | |||||
1.1 授课信息 | |||||
教学内容 | 电动机制动控制电路 | 课程名称 | 电机与电气控制 | ||
授课形式 | 理实一体化 | 专业名称 | 电气自动化技术 | ||
授课对象 | 电气2401 | 授课学时 | 4课时 | ||
1.2 教学目标 | |||||
知识目标 | 能力目标 | 思政目标 | |||
1.了解直流电动机制动的概念和方法. 2.掌握直流电动机常用电气制动方案 3.掌握典型直流电动机电气制动方案工程核算. 4.了解伺服电动机工作原理及其控制. | 1.总结归纳知识完成任务能力 2.直流电动机电气制动方案工程核算能力 | 1.养成严格按照生产实践的标准进行学习的学习习惯 2.培养团结、协作及良性竞争的精神 3.培养获取信息的能力及自学能力 | |||
1.3 教学重点难点 | |||||
教学重点 | 教学难点 | ||||
1. 直流电动机电气制动方案. | 1. 直流电动机电气制动方案工程核算 | ||||
2. 教学过程 | |||||
复习:1.直流电动机起动方法 2.直流电动机调速方法 新课:任务四 直流电动机制动与方案设计 一.制动的目的 1.系统迅速减速停车 2.限制负载的下降速 二.电气制动方法 1.机械制动 2.电气制动 (1)能耗制动 (2)反接制动 (3)回馈制动
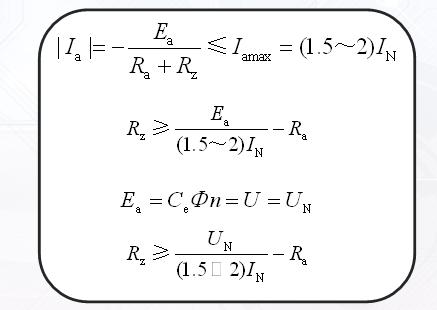
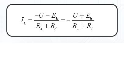
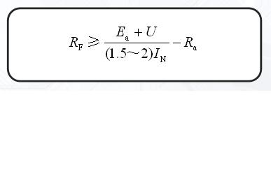
能耗制动 电枢反接制动 回馈制动 三.直流电动机能耗制动参数核算 【学生实践】工程问题:某他励直流电动机,PN =13kW,UN =220V,IN =68.6A,nN =1500r/m,最大允许电流Iamax < 2IN,负载转矩TL = 0.9TN 。试核算: 1.当拖动反抗性负载时,采用能耗制动实现停机,电枢电路中应串入多大制动电阻? 分析拖动反抗性负载时,该能耗制动过程。 2.如拖动位能性负载,采用能耗制动下放重物,要求电动机以n=200r/min恒速下放重物,电枢回路应串入多大制动电阻? 分析拖动位能性负载时,该能耗制动过程。 小结:1.制动方法;2.能耗制动参数核算. 作业:完成E课堂视频观看和知识点学习,根据课堂讲解和E课堂内容完成课堂中未完成任务 | |||||
3.教学反思 | |||||
1.经过反复案例训练与课后拓展知识巩固相结合,有助于促进学生强化吸收,理解消化。 2.分组协同完成任务能够促进学生之间的团队合作,但针对个别基础不够扎实的学生,利用线上与线下混合答疑辅导的方式进行辅导,努力做到一起进步。 | |||||







