第十二节 用极点配置法设计状态观测器
上一节
下一节

用极点配置法设计状态观测器
一 、 状态观测极点配置定理
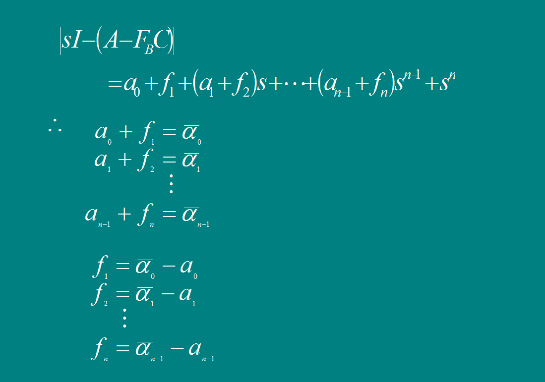
对于图8-11所示系统,只要被观测系统(A,B,C)是完全能观的,则观测系统是可通过FB任意配置。
注:极点配置考虑:
(1)为使估计误差尽快趋于零, 极点离虚轴越远越好。
(2)有噪声存在,频带不宜过宽,极点不要离虚轴太远。
(3) 观测极点配置在控制极点的左侧。










离散控制系统的状态反馈和状态观测器的设计可套用连续系统的设计方法,差异只在极点配置不同. 因为连续系统的稳定域为S的左半平面,而离散系统的稳定域为Z的单位圆。

