第七节 化为标准形的变换
上一节
下一节

化为标准形的变换
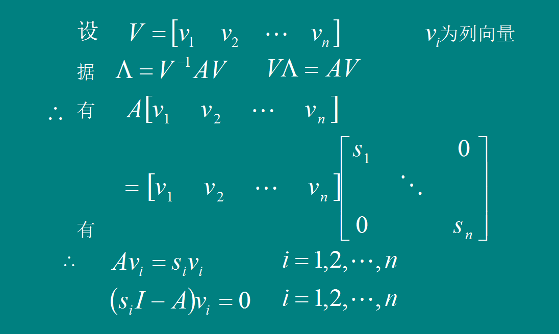
对于一个给定的系统,不同的方法定义状态变量可得到不同的状态空间表达,即不同的A,B,C。标准形状态空间表达具有两个特点:1.形式简单,不为零元素少,固定结构排列。2.不为零元素和系统固有特性参数直接相关,如特征值、特征多项式系数等。因此,为了便于分析,比较和应用,有将任意形状态空间表达式转换为标准形的需要。






