第六节 单变量连续系统状态空间描述的标准形
上一节
下一节

单变量连续系统状态空间描述的标准形
标准形:符合标准化规定的状态空间描述形式,标准形便于分析和处理,便于转换成方框图和传递函数,因为标准形的ABC中元素与系统特征参数直接相关。
四种标准形:
能控标准形 由传递函数直接确定;
能观标准形 与能控标准形对偶;
对角标准形 是完全解耦的系统;
约当标准形 有重极点的系数。
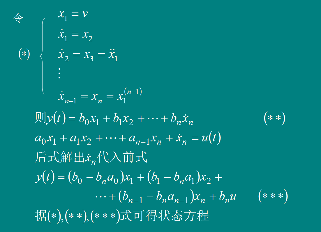
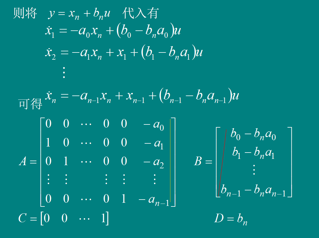
一、能控标准形




二、能观标准形



三、对角标准形和约当标准形












