自动控制原理

徐晓丽

目录

  • 1 第一章   绪论
    • 1.1 第一节  概论
      • 1.1.1 控制的含义
      • 1.1.2 人工控制与自动控制
      • 1.1.3 自动控制学科的特点
      • 1.1.4 控制科学与工程的内涵
      • 1.1.5 自动控制理论的内容
      • 1.1.6 自动控制理论的基本问题
    • 1.2 第二节   反馈控制系统的基本概念
    • 1.3 第三节    自动控制系统的组成及方框图
    • 1.4 第四节 自动控制系统的分类
      • 1.4.1 按控制依据信号性质分类
      • 1.4.2 按给定值变化规律分类
      • 1.4.3 按输入输出变量数分类
      • 1.4.4 按系统特性分类
      • 1.4.5 按变量的时间特性分类
      • 1.4.6 按变量的变化特性分类
      • 1.4.7 按变量的统计特性分类
      • 1.4.8 按控制规律分类
      • 1.4.9 按控制器实现器件分类
    • 1.5 第五节 控制系统性能分析概论
      • 1.5.1 阶跃信号(Step  Function)
      • 1.5.2 斜坡信号(Ramp  Function)
      • 1.5.3 抛物线信号(Parabolic  Function)
      • 1.5.4 脉冲信号(Pulse  Function)
      • 1.5.5 正弦信号(Sine  Function)
      • 1.5.6 动态特性分析
      • 1.5.7 稳态特性分析
    • 1.6 第六节  自动控制系统性能要求
    • 1.7 新建课程目录
  • 2 第二章 自动控制系统的数学模型
    • 2.1 第一节   引言
    • 2.2 第二节   机理分析建模方法
      • 2.2.1 建立模型的步骤
        • 2.2.1.1 建模举例---机械系统
        • 2.2.1.2 建模举例---电气系统
        • 2.2.1.3 建模举例---液力系统
        • 2.2.1.4 建模举例---热力系统
      • 2.2.2 物理系统的相似性
    • 2.3 第三节  传递函数
      • 2.3.1 传递函数
        • 2.3.1.1 传递函数的求取方法
        • 2.3.1.2 传递函数的求取方法
        • 2.3.1.3 传递函数的性质
    • 2.4 第四节  典型环节的动态特性
      • 2.4.1 比例环节
      • 2.4.2 积分环节
      • 2.4.3 微分环节
      • 2.4.4 惯性环节
      • 2.4.5 振荡环节
      • 2.4.6 迟延环节
    • 2.5 第五节  PID控制器
      • 2.5.1 PID控制器的动态特性
    • 2.6 第六节  系统方框图等效变换和信号流图
      • 2.6.1 方框图等效变换
        • 2.6.1.1 等效变换规则(1)
        • 2.6.1.2 等效变换规则(2)
        • 2.6.1.3 等效变换规则(3)
        • 2.6.1.4 等效变换规则(4)
        • 2.6.1.5 应用举例(1)
      • 2.6.2 信号流图
    • 2.7 第七节  状态方程模型
    • 2.8 第八节   实验建模方法
      • 2.8.1 阶跃响应图解法
  • 3 第三章 控制系统的时域分析
    • 3.1 第一节  引言
    • 3.2 第二节   时域性能指标
      • 3.2.1 概论
      • 3.2.2 阶跃响应指标
      • 3.2.3 误差积分指标
      • 3.2.4 误差积分指标的比较
    • 3.3 第三节  一阶系统的时域分析
      • 3.3.1 一阶系统数学模型
      • 3.3.2 单位阶跃响应
      • 3.3.3 单位斜坡响应
      • 3.3.4 单位脉冲响应
    • 3.4 第四节   二阶系统的时域分析
      • 3.4.1 二阶系统的分类
      • 3.4.2 二阶系统的 特征根及对应的单位阶跃响应
      • 3.4.3 二阶系统的单位阶跃响应
      • 3.4.4 二阶系统的单位脉冲响应
      • 3.4.5 欠阻尼标准二阶系统 的动态性能指标计算
      • 3.4.6 过阻尼标准二阶系统的 动态性能指标计算
      • 3.4.7 有零点的二阶系统的动态响应分析
    • 3.5 第五节      零极点分布对系统 动态响应的影响
    • 3.6 第六节   高阶系统    的动态响应及简化分析
    • 3.7 第七节   控制系统 的稳定性与代数判据
    • 3.8 第八节  控制系统的 稳态误差分析及误差系数
    • 3.9 第九节  李亚普诺夫稳定性分析
  • 4 第四章 控制系统设计导论
    • 4.1 第四章 控制系统设计导论
    • 4.2 第二节  系统结构设计
    • 4.3 第三节  控制规律选择
    • 4.4 第四节  控制器参数整定
    • 4.5 第五节  串级控制系统
    • 4.6 第六节   多闭环控制系统
    • 4.7 第七节  比值控制系统
    • 4.8 第八节  前馈控制系统
    • 4.9 第九节  解耦控制系统
    • 4.10 第十节  迟延补偿控制系统
    • 4.11 第十一节  其它控制系统
  • 5 第五章   控制系统根轨迹法
    • 5.1 第一节 引言
    • 5.2 第二节  根轨迹的基本概念
    • 5.3 第三节 根轨迹的绘制规则和方法
    • 5.4 第四节  开环零极点对根轨迹的影响
    • 5.5 第五节  控制系统根轨迹分析与设计
    • 5.6 第六节  参变量根轨迹族
    • 5.7 第七节  零度根轨迹
  • 6 第六章   控制系统的频域分析
    • 6.1 第一节     引言
    • 6.2 第二节     频率特性的基本概念
    • 6.3 第三节     频率特性的极坐标图
    • 6.4 第四节     频率特性的对数极坐标图
    • 6.5 第五节     控制系统的奈氏图分析
    • 6.6 第六节     控制系统的伯德图分析
    • 6.7 第七节     闭环系统频率特性分析
    • 6.8 第八节     控制系统的频率特性分析与设计
    • 6.9 章节测验
  • 7 第七章   离散控制系统
    • 7.1 第一节  概述
    • 7.2 第二节  连续信号的采样和复现
    • 7.3 第三节  离散控制系统的数学模型
    • 7.4 第四节  离散控制系统的性能分析
    • 7.5 第五节  离散控制系统的设计
  • 8 第八章   控制系统的状态空间分析
    • 8.1 第一节  概述
    • 8.2 第二节  连续状态方程的解
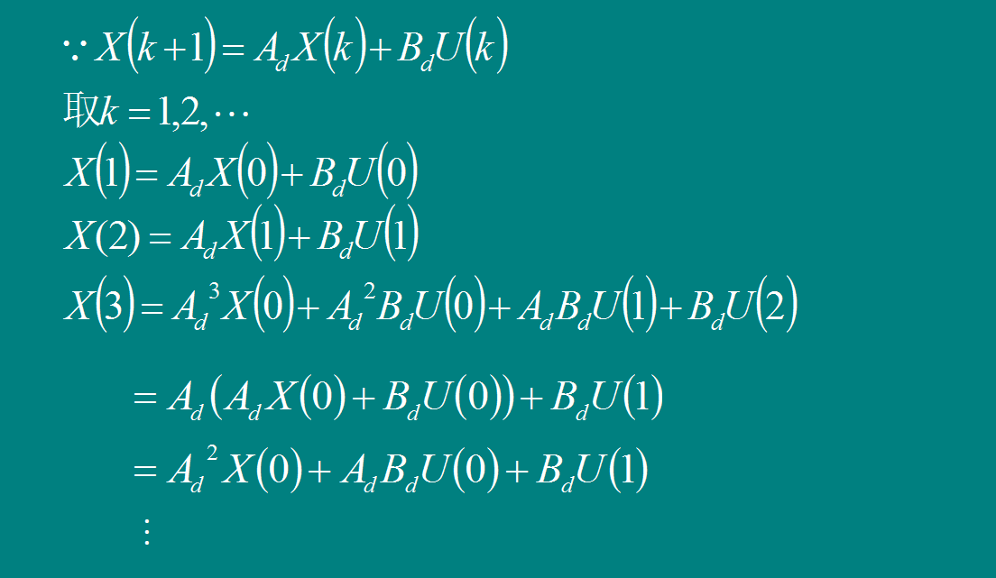
    • 8.3 第三节  离散状态方程的解
    • 8.4 第四节  连续状态方程与离散状态方程的转换
    • 8.5 第五节  状态转移矩阵的计算
    • 8.6 第六节  单变量连续系统状态空间描述的标准形
    • 8.7 第七节  化为标准形的变换
    • 8.8 第八节 系统的稳定性、能控性和能观性分析
    • 8.9 第九节  线性定常系统的结构分解
    • 8.10 第十节  闭环控制系统的状态空间分析
    • 8.11 第十一节  用极点配置法设计状态控制器
    • 8.12 第十二节  用极点配置法设计状态观测器
    • 8.13 第十三节   最优控制概论
  • 9 系统的结构图如图所示
    • 9.1 第一节   非线性系统概述
    • 9.2 第二节   描述函数法
    • 9.3 第三节   相平面法
第三节  离散状态方程的解

          离散状态方程的解