第八节 控制系统的频率特性分析与设计
上一节
下一节

控制系统的频率特性分析与设计
当系统的性能指标用相位裕量和增益裕量等频域指标表示时,用频率特性法设计控制器更方便。


设计方法:
一)典型超前控制器的频率特性法设计
二)典型滞后控制器的频率特性法设计
三)典型滞后—超前控制器的频率特性法设计
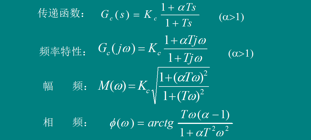
一、典型串联校正型控制器特性
1. 超前控制器特性:



































