第三节 频率特性的极坐标图
上一节
下一节

频率特性的极坐标图
一.基本概念
频率特性分析法—图解法—方便迅速求出近似解两种图示法: 极坐标图示法和对数极坐标图示法。







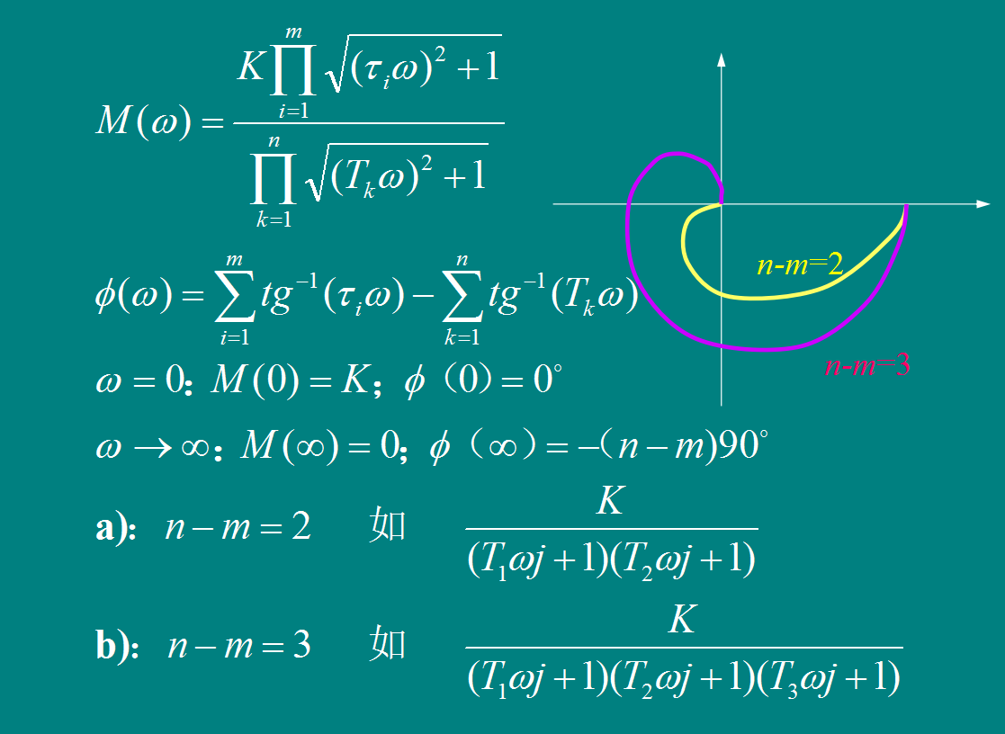
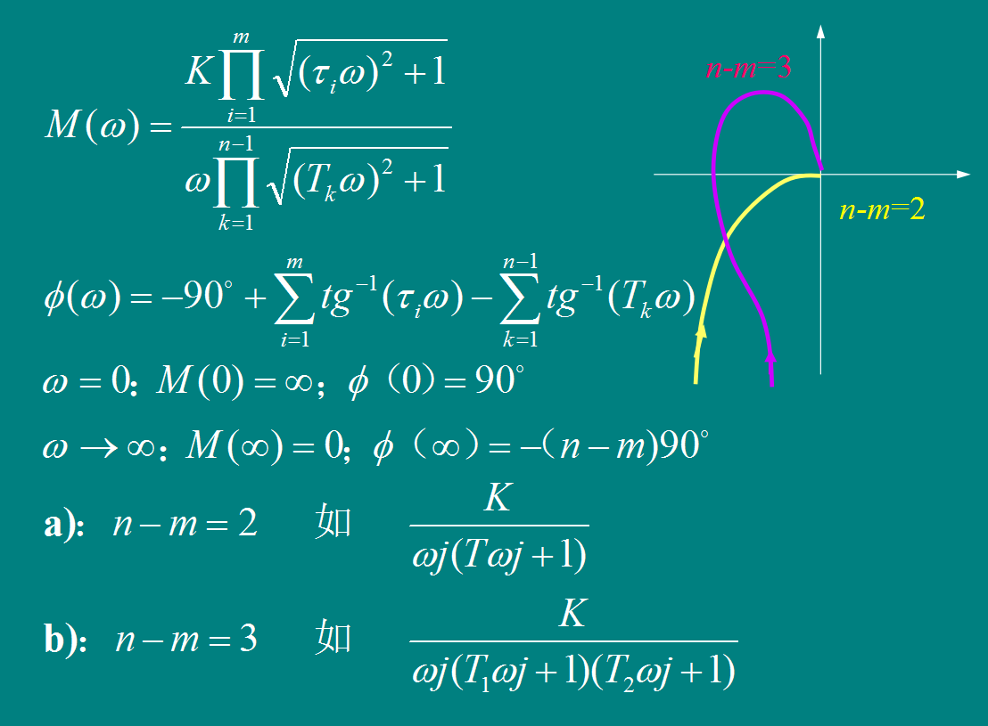
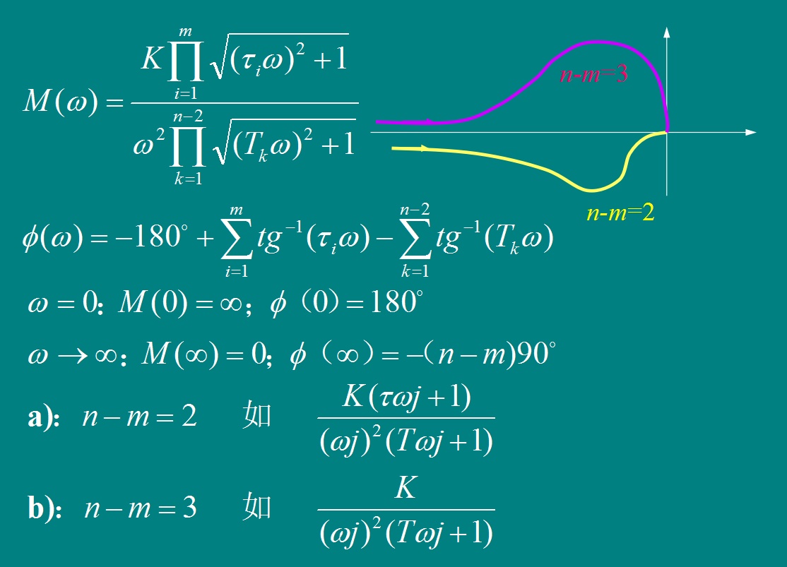
三.开环系统频率特性极坐标图(奈氏图)
奈氏图非常有用,它是用开环频率特性分析闭环控制系统性能 主要是稳定性。



用MATLAB画奈氏图


四.典型系统奈氏图








