第三节 根轨迹的绘制规则和方法
上一节
下一节

根轨迹绘制规则和方法
[规则1] 根轨迹与实轴对称
证:特征根要么实根,要么为共轭复根,所以必与实轴对称。
方法:画一半即可
[规则2]:根轨迹起于开环极点,终于开环零点或无穷远点,且终于无穷点的分支数为n-m。

方法:从开环极点画起

[规则3] 根轨迹分支数=n
证:n阶特征方程有n个根,K从0→∞时,n个根随之变化,故有n
条根轨迹。
方法:n阶系统有n条根轨迹
[规则4] 如果实轴上某一段右边的开环零点和开环极点总数为奇 数。则这一段就是根轨迹段(证明略)。

[规则5]有n-m条根轨迹分支沿渐近线趋于无穷远,其渐近线与正实轴的夹角为:








[规则6] 参见图4-18 起始(出射)角与终止(入射)角计算公式
限制条件:重零点或重极点,两点间零距离

起始(出射)角为
180度 + 至所有零点角和 - 至其他极点的角和
终止(入射)角为
180度 + 至所有极点角和 - 至其他零点的角和














根轨迹绘制规则和方法总结
[规则1] 与实轴对称
[规则2] 源于开环极点,终于开环零点,终于无穷远开环零点的 分支数为n-m。
[规则3] 分支数=n
[规则4] 如果实轴上某一段右边的开环零点和开环极点总数为奇 数。则这一段就是根轨迹段。
[规则5] 有n-m条根轨迹分支沿渐近线趋于无穷远,其渐近线与正实轴的夹角为

[规则6]
起始角与终止角计算公式

[规则7]
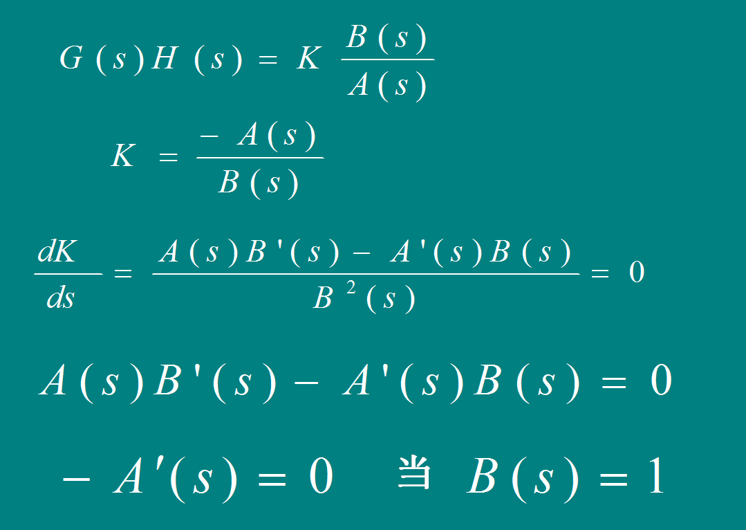
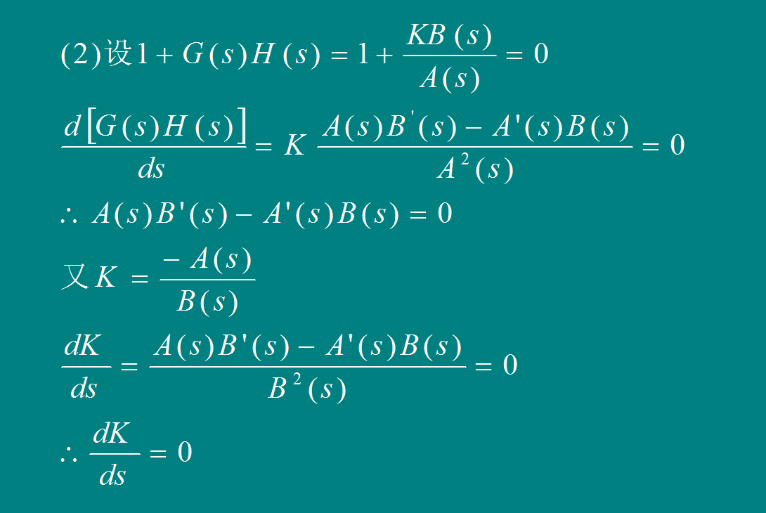
分离或会合角 的计算公式:















