第九节 解耦控制系统
上一节
下一节

解耦控制系统
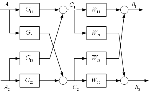
对于具有多个输入和多个输出的受控过程,受控过程的某个输入将会影响受控过程的多个输出。这种现象称为变量间的耦合作用。例如,电站锅炉的一个输入量——燃料量增加时,将会使多个输出量变化;汽压升高;汽温升高;汽包水位下降。因此,多变量系统控制的关键是解决耦合问题。如果能将某控制量与某被控量之间的关系解除,那么控制系统的设计就简化为多个独立回路的单变量控制系统的设计了。事实上,实现完全地解除变量间的耦合是十分困难的,常用的解耦器只能实现部分地解除耦合或减弱耦合作用。常见解耦器有:静态耦合器,单向耦合器和近似耦合器等。
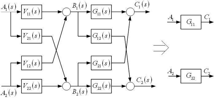
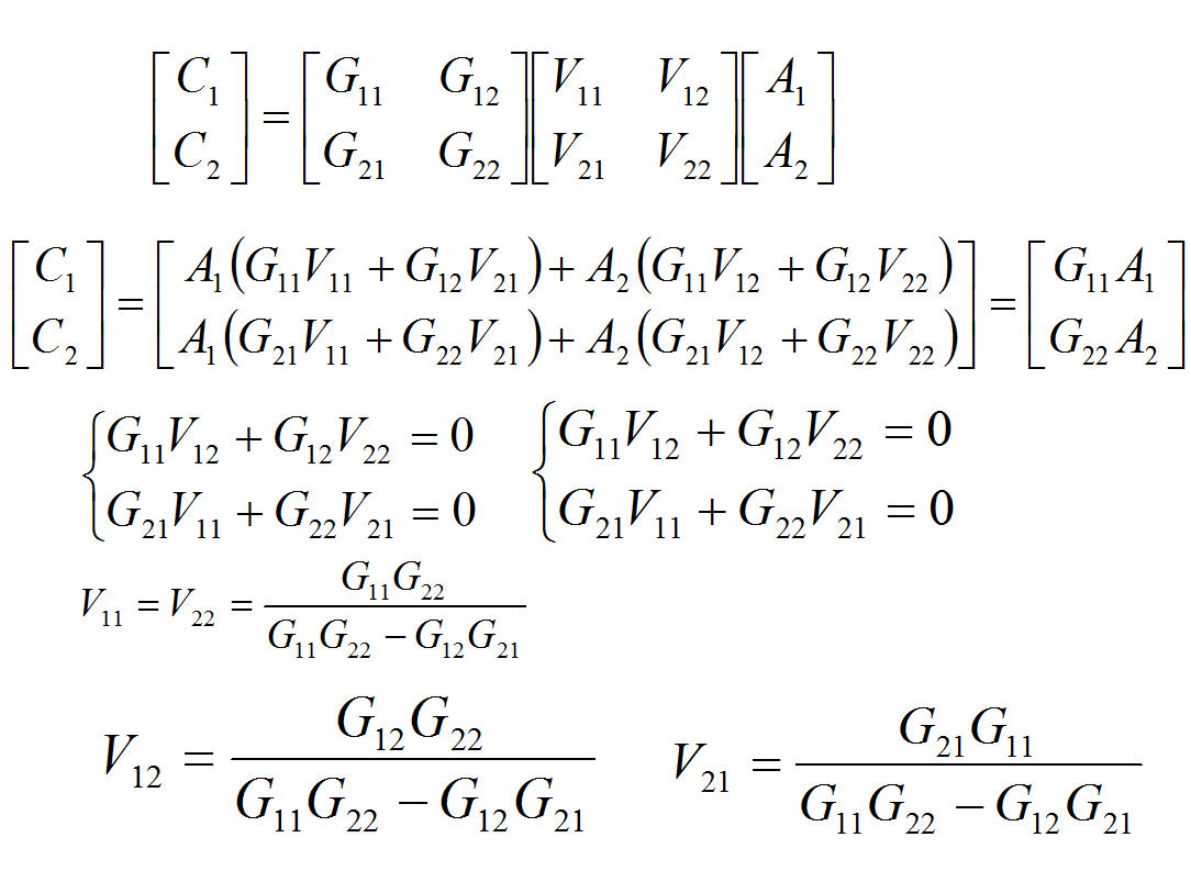
一. 串接解耦器的设计
1. 完全解耦
设串接解耦器 使受控过程的双入对双出间的相互耦合作用完全解除,即达到完全解耦效果。

可知以下关系成立





