第九节 李亚普诺夫稳定性分析
上一节
下一节

李亚普诺夫稳定性分析
一. 李亚普诺夫稳定性定义
线性系统的稳定性取决于系统的结构和参数,与系统的初始条件及扰动的大小无关,而非线性系统的稳定性则与初始条件及扰动的大小都有关系。
李亚普诺夫稳定性分析方法则是一种普遍性方法,它给出了对于线性系统和非线性系统都适用的稳定性定义。

(一)状态向量的平衡状态及球域

状态向量的范数
n维状态空间中的球域 稳定性定义 图示




二、李亚普诺夫稳定性理论(能量理论) :
如果一个系统储存的能量是逐渐衰减的,则这个系统就是稳定的,反之,如果系统不断的从外界吸收能量,系统的能量越来越大,这个系统就是不稳定的。

复杂的系统往往不能直观地找到能量函数!
通常选用状态变量的二次型函数
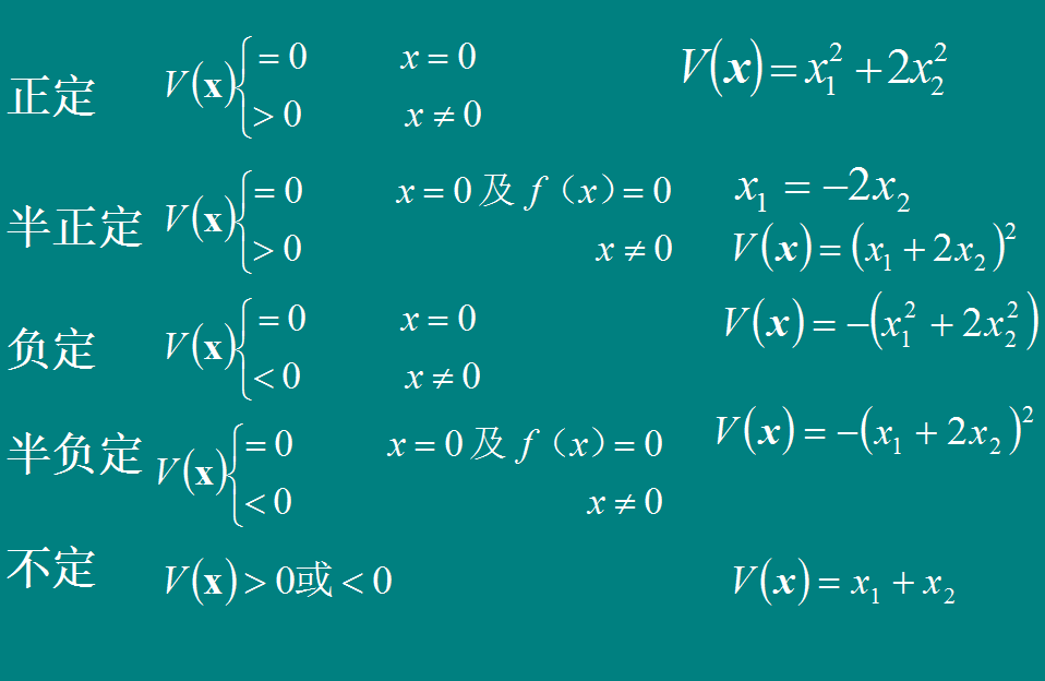
李氏函数v(x)的正定、半正定、负定、半负定和不定性
二次型标量函数的正定性

李亚普诺夫稳定性定理



本例说明,李亚普诺夫函数的选取不是唯一的,如果选取不当,会导致不能判别系统的稳定性正确地选定李亚普诺夫函数是应用李亚普诺夫直接法的主要问题。



三、线性定常系统的李亚普诺夫稳定性分析
李亚普诺夫直接法是分析线性系统和非线性系统的有效方法,它对线性连续系统、线性离散系统均能给出相应的稳定判据。
关于非线性系统的李亚普诺夫稳定性分析,可参阅其他参考文献。








