第六节 高阶系统 的动态响应及简化分析
上一节
下一节

高阶系统的动态响应及简化分析
① 高阶系统定义-----n>2的系统

② 分析高阶系统
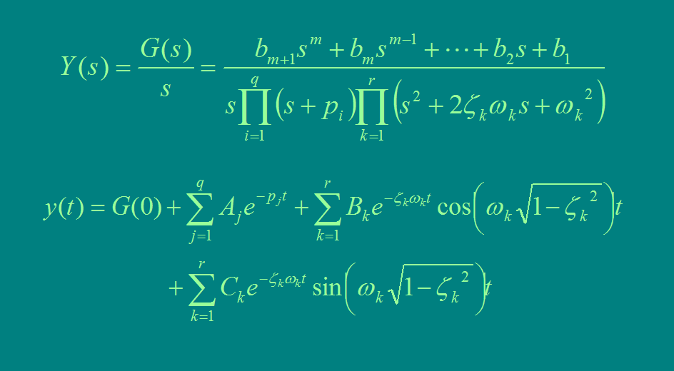
求有s左半平面互异极点时的单位阶跃响应高阶系统=若干惯性环节+若干振荡环节

③ 简化分析
* 远离虚轴的极点影响可忽略
* 若有主导极点存在,则简化为只有主导极点的系统。主导 极点为实极点则简化为一阶系统;主导极点为共轭复极点 则简化为二阶系统。
* 主导极点定义: 实部绝对值小于其它的五分之一, 且附 近无零点。

