第七节 状态方程模型
上一节
下一节

状态方程模型
状态:状况,形态,变量值大小,系统状态 。
例:质点做直线运动,运动状态为位置和速度
状态变量:确定系统状态的最少数目的一组变量。好 比线性代数中的线性无关。变量定义可不 相同,所以具有非唯一性。


点:状态 点随时间的运动---轨迹
状态方程:输入变量与状态变量的关系式
状态空间表达式:状态方程+输出方程
状态空间分析:稳定性 能观性 能控性
状态反馈:以状态变量为反馈变量
状态观测:以状态变量为观测变量
状态估计:以状态变量为估计变量



一、连续系统的状态空间描述



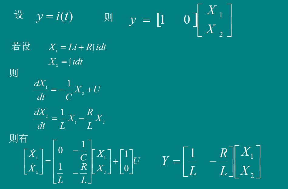
例 RLS 电路的状态空间表达式


同一物理系统可有两种状态方程描述说明?



二、 离散系统的状态空间描述


