尺寸标注与标高
上一节
下一节
1.5 尺寸标注与标高
尺寸是构成图样的一个重要组成部分,是工程施工的重要依据,因此尺寸标注要准确、完整、清晰。图样上标注的尺寸由尺寸线、尺寸界线、尺寸起止符号、尺寸数字等组成,称为尺寸的四要素。
1.尺寸线为被注长度的度量线,表示尺寸的方向。尺寸线采用细实线绘制;尺寸线不宜超出尺寸界线;中心线、尺寸界线以及其他任何图线都不得用作尺寸线;线性尺寸的尺寸线必须与被标注的长度方向平行。
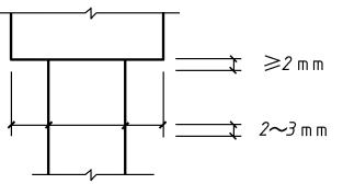
2.尺寸界线应用细实线绘制,一般与被注长度垂直,其一端离开图样轮廓线不小于2mm,另一端超出尺寸线2-3mm。当连续标注尺寸时,中间的尺寸界线可以画的较短;图形的轮廓线以及中心线都允许用作尺寸界线。
3.尺寸起止符号一般为中粗斜短线绘制,长度2-3mm,与尺寸界线成顺时针45°。半径、直径、角度与弧长的尺寸起止符号,宜采用箭头表示。

4.工程图上标注的尺寸数字,是物体的实际尺寸,它与绘图所用的比例无关。建筑工程图上标注的尺寸数字,除标高及总平面图以m为单位外,其余都以mm为单位,因此,建筑工程图上的尺寸数字无需注写单位。

