信度指标常用相关系数表示,也称信度系数,表示实得分数的变异数中有多少比例是由真分数的变异决定的。例如:信度系数为0.9意指变异的90%来自真分数的差异。
一、稳定性系数(再测信度、重测信度)(test-retest reliability)
跨时间的一致性。是用同一量表对相同被试者在不同时间测验两次的实得分数的相关系数。
计算稳定性系数可使用重测法,这种方法是把同一种量表以一定的时间间隔,对相同的应试者先后施测两次,然后根据两次测验的实得分数计算出信度系数。
优点在于能提供有关测验是否随时间而变异的资料,可作为被试将来行为表现的依据。缺点在于易受练习和记忆的影响。
重测法的模式是:测验A1适 当 时 距 测验A2
皮尔逊积差相关公式:

例:假设有一份主观幸福感调查表,先后两次施测于10名学生,时间间隔为半年,结果如表所示,求该测验的重测信度。
计算再测信度应满足以下几个假设:(1)所测得的特质必须是稳定的。(2)遗忘与练习的效果相同。(3)两次施测期间被试的学习效果没有差别。
在使用重测法计算稳定性系数时,要注意下列问题:
(1)两次测验之间的时间间隔要适当。时间间隔过短易夸大稳定性,时间间隔过长,易降低稳定性。重测信度两次测量最适宜的时距随测验的目的、性质和被试特点而异,一般是两周到四周较宜,间隔时间最好不超过六个月。
(2)重测法适用于速度测验而不适用于难度测验。
(3)应注意提高被试者的积极性。
思考题:如何进行再测信度检验并获得相应的相关系数?
二、等值性系数(复本信度)(alternate-form reliability )
跨形式的一致性。是以两个等值(题型、题数、难度、区分度相等),但具体内容不同的量表,在最短时距内,对相同的应试者先后施测两次测验所获得的两组对应分数的相关系数。等值性系数的大小主要反映着两个复本测验题目差别所带来的变异情况。
优点是能够避免重测信度的一些问题,如记忆效果、学习效度等。局限性:其一,如果测量的行为易受练习的影响,则复本信度只能减少而不能完全消除这种影响;其二,由于第二个测验只改变了题目的内容,已掌握的阶梯原则,可以很容易地迁移到同类问题。最后,对于许多测验来说,建立复本是十分困难的。
计算等值性系数可采用复份法,其模式是测验A1 最 短 时 距 测验B1。这种方法是编制两份等值的量表(复份),先用第一种量表对被试者测验一次(A1),接着(时距可短到两次测验接着进行)再用第二种量表对原被试者再测验一次(B1),计算两者的相关。
皮尔逊积差相关公式:

(1)要构造出两份或两份以上真正平行的测验。
复本测验之间必须在题目内容、数量、形式、难度、区分度、指导语、时限以及所用的例题、公式和测验等其他方面都相同或相似。平行测验就是那种用不同测验题目测量同样的内容而且其测验结果的平均值和标准差都相同的两个测验。
(2)被试要有条件接受两个测验。
使用复份法计算等值性系数要注意下列几点:
(1)复份法的关键在于两个量表必须等值。即要求第二种测验与原测验的量表应有相同的难度、区分度、长度和题型。
(2)两次测验的时距宜尽可能短促,以避免知识积累、练习效应等因素的影响。
(3)由于量表的两个复份在许多方面近似,所以信度系数有稍微偏高的倾向。如果两个测验紧接,应注意应试者易于厌倦。
(4)标准化测验一般均有复份,若没有说明等值信度,或等值性系数较低,则使用复本应持慎重态度。
例:假设用A、B两型创造力复本测验对初中一年级10个学生施测。
思考题:如何进行复本信度检验并获得相应的相关系数?
三、等值稳定性系数
跨时间跨形式的一致性。是合估等值性与稳定性而得到的信度系数。
既能反映由于试题变异(复份)引起的测验成绩变化的程度,又能反映由于应试者的变异(在两次测验的间隔中,由学习、练习、成熟等引起的应试者的变化)而产生的测验成绩的变化的程度。
计算等值稳定性系数基本上采用复份法,但要求一个适当长的时距。
等值稳定性系数的模式如下:测验A1适 当 时 距 测验B1
皮尔逊积差相关公式

四、内部一致性系数(同质性信度)(homogeneity reliability)
跨项目的一致性。主要反映的是题目之间的关系,表示测验能够测量相同内容或特质的程度。内部一致性系数是用同一测验量表的两个部分得分的相关系数。
同质性信度指测验内部所有题目间的一致性。题目的一致性有两层含义:其一是指所有题目都测的是同一种心理特质;其二是指所有题目之间都具有较高的正相关。总之,同质性信度就是一个测验所测内容或特质的相同程度。
计算内部一致性系数的方法有以下两种:
1、分半法
这种方法是把一个量表按题目序号分为两半,一般奇数题,一般偶数题,计算时先把每个人的奇数题、偶数题得分相加,得一个奇数题总分,一个偶数题总分,然后求所有应试者奇数题总分与偶数题总分的相关系数。最后用斯皮尔曼—布朗公式校正,求整个测验的信度系数。
皮尔逊积差相关公式

斯皮尔曼-布朗校正公式
rxx=2rhh/(1+rhh)
rhh为两半分数的相关系数
rxx为测验在原长度时的信度估计。
例:有一个由100题构成的量表施测于10个高三学生。测验一次后,应试者即毕业离校。现在怎样评介测验结果的信度?
思考题:如何进行分半信度检验并获得相应的相关系数?
斯皮尔曼-布朗通用校正公式:
![]()
K为新测验的长度(题数)与原测验长度(题数)之比;
rXX为原测验信度系数;
rkk为测验增长成原来的K倍时的信度估计值
缺陷:该公式假设两半测验分数的变异相等,如不等值时可采用下两个公式:
(1)弗郎那根(Flanagan)公式
![]()
Sa2和Sb2分别为两半测验分数的变异数
Sx2为测验总分的变异数
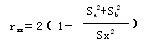
(2)卢伦(Lulon)公式

Sd2为两半测验分数之差的变异数,Sx2为整个测验分数的变异数。
2、基于项目协方差的方法
(1) 库得尔—理查森公式法
适用于二重记分的测验,即每题只有通过或未通过两种分数。用这种方法只需要测验一次,然后以各个问题的正确反应为基础,或根据各人总分的平均数和标准差,计算信度系数。
①KR20的用法:这个公式以每题能正确回答的人数占总人数的百分数为基础计算(每题只有通过或未通过两种分数)。

其中,rkk为整个测验结果的信度系数;K为题目数;pi为通过第i个题目的人数占总人数的百分数;qi为未通过第i个题目的人数占总人数的百分数(qi=1-pi);Sx2 为测验总分的变异数。
注:适用答对一题得一分,答错无分的测验。
②KR21 用法:这个公式以各应试者总分的平均数和方差为基础计算,无需各题难度的信息。

其中,k是题目数:pi为题目的平均通过率;qi为1-pi;X为测验总分的平均数;Sx2 为测验总分的变异数。
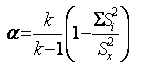
(2)克龙巴赫α系数公式
适用于多重记分的测验。
论文式测验的评分,没有严格的评分标准,以致同样一个题目,不同的应试者的回答和得分都不一样,所以无法用库得尔——理查森公式,而要用克龙巴赫所创的α系数公式。
克龙巴赫α系数公式:

α=(K/(K-1))(1-∑Si2/ Sx2 )
其中,α为信度系数;k为题目数;Si2为每题各应试者得分的方差;∑Si2为每题各应试者得分的方差之和; Sx2为每个被试者所得总分的方差。
计算内部一致性系数,需注意下列问题:
(1)若用分半法时,以按奇数题和偶数题分为两半为宜。若把整个测验分为前后两半,一方面前半部试题与后半部试题未必等值,另方面被试者在完成后半部试题时,可能因疲劳,厌倦等原因而影响回答质量,以至前后反应不一致,影响信度。
(2)若速率是测验的重要因素,则不宜用分半法。因为速度测验中试题的难度低,被试者得分的多少,在很大程度上是因为答题的多少,分半法易使得分相同,从而会夸大分半法的信度。
(3)如果答案只有正确和错误两种,得分也有两种,可用库得尔——理查森公式法计算信度系数;若答案多种多样,得分也多种多样时(如论文式考试),则可用克龙巴赫α系数公式。
五、阅卷者评分的信度系数
跨评分者的一致性
(一)2人评N份试卷或一人先后两次评N份试卷
计算每份试卷两个分数的相关系数。
1、皮尔逊积差相关公式

2、斯皮尔曼等级相关公式
![]()
其中, rR为等级相关系数(也有用P表示的);D为两位评分者对同一试卷所评的等级之差;N为被评分的试卷数。
(二)适合于k个评价者对N个被评价事物进行等级评价的资料
肯德尔和谐系数(W)

在计算肯德尔和谐系数时,若阅卷者对于不同试卷评了相同等级时,求W的公式应改为:
n为相同等级的个数。
例:甲乙两位教师评阅10份试卷,他们对每一试卷各自所评的分数列入下表,问这两位教师评分的一致性如何?
例:假设有三位专家给六篇论文评等级,结果如表所示,试计算此次评分者的评分者信度。
例:六位教师各自评阅相同的五篇作文,每位教师给每一篇作文都评了等级(共五等),并列入下表。求六位老师所评等级的一致性程度。
例:三位教师评阅四份试卷,所评等级列入下表5-8。他们所评的等级的一致性程度怎样?
一般要求在成对的受过训练的评分者之间平均一致性达0.90以上,才认为是客观的。
六、目标参照测验的信度系数
(一)方法一:
举行一次测验,确定一个决断分数,假定测验成绩超过决断分数的学生已具备学习下一阶段教材的条件,那么达到目标的可能性较大。经过下一阶段的学习和训练后,举行第二次测验,若上次测验成绩超过决断分数的应试者在第二次测验中的成绩确已达到所规定的目标,则说明上一次测验的信度高;反之,若上次测验成绩超过决断分数的许多人在第二次测验中成绩低下,并未达到预期目标,则说明上次测验的信度低。
(二)方法二:
采用复本法,以等值的两个量表测验相同的应试者,但不计算各应试者两次得分的相关系数,而是根据两次测验都在决断分数(假定这个分数是应试者是否达到目标的临界分)以上和以下的人数的百分比,来判断测验结果的信度。
七、速度测验的信度系数
计算速度测验的信度测验方法,也可采用重测验法和复本法。
分半法的依据必须是时间而非试题。有两种方法:
(1)把测验时间分为两半,要求应试者在一半的时间内完成奇数试题,另一半时间完成偶数试题,奇数试题偶数试题事先分开印刷。仍用分半法的公式计算信度系数,并用斯皮尔曼——布朗公式校正。
(2)把全部测验时间分为四段,每段占1/4。测验后算出每一段的得分或答对的题数,然后把从测验开始算起的第一阶段和第四段时间的得分相加,把第二段和第三段时间的得分相加,获得两半测验的得分,再用分半法的公式计算信度系数,并用斯皮尔曼——布朗公式校正。这种方法的好处是可以消除练习、疲劳积累、答题积极性的变化等因素的影响。
各种信度系数相应误差变异的来源
信度系数类型 | 误差变异来源 |
再测信度 | 时间取样 |
复本信度(连续施测) | 内容取样 |
复本信度(间隔施测) | 时间内容取样 |
分半信度 | 内容取样 |
同质信度 | 内容异质性 |
评分者信度 | 评分者间差异 |

