测量误差的基本概念及其表示方法
测量误差是指测得值与被测量真值在数值上相差的程度
测量误差有绝对误差、相对误差和极限误差。
1.绝对误差Δ
绝对误差用测量结果减去被测量的真值之代数差来表示。
若用X表示测量结果,X 0表示被测量真值,Δ表示绝对误差,则:Δ= X-X 0
Δ是代数值,可能是正值或负值,其绝对值的大小可反应测量结果与被测量真值之间的一致程度。
2.相对误差ε
测量的绝对误差与被测量的真值之比的绝对值称为相对误差,通常用百分数表示。

3.极限误差Δlim
绝对误差的变化范围即为极限误差。即在一定置信概率下,所求真值X0位于测得值X附近的最小范围。
X-Δlim≤X0≤X+Δlim
测量误差的来源
几何量测量过程中,有很多因素都会引起测量误差。但主要与下列因素有关:
1.基准件误差
任何基准件都不可避免地存在误差,其误差必然会带入测量结果中。
在选择基准件时,一般都希望基准件的准确度高一些。但是,基准件的准确度太高也不经济,在生产实践中,一般取基准件的误差占总测量误差的1/5~1/3。
2.计量器具的误差
计量器具的误差是指测量器具内在因素引起的误差。
它包括计量器具在设计、制造和装配调整中的各项误差。
在计量器具的设计中,为简化结构,经常采用近似机构代替理论上所要求的运动机构,或者设计的计量器具不符合阿贝原则等,都会产生测量误差。
所谓阿贝原则,就是在设计计量器具或测量长度时应将标准量与被测长度安置在同一直线上的原则。
计量器具的零件制造、装配和调整误差都会产生仪器误差,也就导致了测量误差。
可用多次重复测量取平均值的方法减小其随机误差。
3.测量方法误差
测量方法误差指测量时选用的测量方法不完善引起的误差。
4.环境条件引起的误差
环境误差是指测量时环境条件不符合标准的测量条件所引起的误差。
测量的环境条件包括温度、湿度、气压、振动以及灰尘等,其中温度是主要因素。
例如,测量时,由于被测零件与标准件的温度偏离标准温度(20℃)而引起的测量误差可按下式进行计算:

式中 Δ——测量误差;
L——被测长度;
α0、α——分别为基准件和被测件的线膨胀系数;
Δt0、Δt——分别为基准件和被测件对标准温度的偏离量。
5.人员误差
人员误差是指测量人员人为引起的测量误差。
在分析误差时,应找出产生误差的主要因素,采取措施减少误差的影响,以保证测量精度。
测量误差的分类及其处理方法
测量误差的分类
根据误差出现的规律,可以将误差分成三种基本类型:系统误差、随机误差和粗大误差。
系统误差 指在相同条件下,对同一被测量进行无限多次测量时,误差的绝对值与符号保持恒定,或在条件改变时,按某一确定的规律发生变化的误差。
系统误差又分为定值系统误差和变值系统误差两种。
随机误差 指在相同条件下,对同一被测量进行无限多次测量时,误差的绝对值与符号均不定。
粗大误差 是指由于测量不准确等原因引起的大大超过规定条件下预计误差限的那种误差。
对系统误差应设法消除或减小其对测量结果的影响;对随机误差需经计算确定其对测量结果的影响;对粗大误差应剔除。
系统误差与随机误差的区别可用打靶说明,如图3-3所示
图3-3 系统误差与随机误差的区别
随机误差的处理
对随机误差的处理原则是:设法减小它对测量结果的影响,并运用概率论和数理统计的方法,在足够大的置信程度下估算出随机误差的分布范围。
1.随机误差的分布规律及其特性
设用立式测长仪对同一零件的某一部位用同一方法进行150次重复测量,然后将150个测得值按尺寸大小分组列入表3-3中。

表 3-3 测得值的分布
将这些数据画成图表,横坐标表示测得值Xi,纵坐标表示出现的频率ni/N,得到图3-4所示的图形,称频率直方图。连接每个小方图的上部中点得到一折线,称为实际分布曲线。

图3-4频率直方图
如果测量次数足够多且分组足够细,则会得到一条光滑曲线,即正态分布曲线。如图3-5所示。

图3-5 正态分布曲线
随机误差通常服从正态分布规律,具有如下四个基本特性:
2.随机误差的评定指标
正态分布曲线可用其分布密度进行描述,即:

式中 y——随机误差的概率分布密度;
x——随机变量;
x0——数学期望(作为真值);
δ——随机误差;
σ——标准偏差;
e——自然对数的底(e=2.71828)。
算术平均值 在同一条件下,对同一个量进行多次
(n)重复测量,由于测量误差的影响,将得到
一系列不同的测得值x1、x2、……xn,这些量的
算术平均值为:

标准偏差σ 它是评定随机误差的尺度。
在δ=0时,正态分布的概率密度最大。

标准偏差σ的大小可说明测量结果的分散性。
图3-6表示三种不同标准偏差的正态分布曲线,即σ1<σ2<σ3。

图3-6 标准偏差对随机误差分布特性的影响
由概率论可知,标准偏差为各随机误差平方和的算术平均值的平方根,即按下式计算:

式中 n——测量次数;
δi——为随机误差,即各次测得值与其真值之差。
3. 随机误差的分布界限
从随机误差的单峰性和有界性可知,随机误差越大,则出现的概率越小,反之则出现的概率越大。
随机误差是有界的。
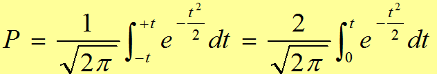
若把整个误差曲线下包围的面积看作是所有随机误差出现的概率之和P,便可得到下式:

在计量工作实践中,要研究的是随机误差出现在±δ范围内的概率P,于是便有:

将上式进行变量置换,设t=δ/σ,则有:

将其代入上式可得:

又写成如下形式:

Φ(t)称为拉普拉斯函数,也称概率积分。

表3-4 四个不同t值对应的概率
从表3-4中误差估计的置信系数 t与概率的数值关系上可以发现:超出±3σ的概率只有0.27%。可以近似地认为超出±3σ的可能性为零。
测量极限误差为:
![]()
需要指出,在确定误差界限的做法上各国是不尽相同的,有的采用±2σ,也有的采用±σ。
系统误差的处理
系统误差是指在重复性测量条件下,对同一被测量进行无限多次测量所得的结果的平均值与被测量的真值之差。
这就是说系统误差是测量误差中去除了随机误差的那一部分误差分量。
1.误差修正法
误差修正法在高准确度测量中,应用比较广泛。
2.误差抵偿法
3.误差分离法
误差分离法常用在形状误差测量中。
粗大误差的处理
粗大误差是指超出在规定条件下预计的测量误差值的测量误差,它明显地歪曲了测量结果。
对粗大误差的处理原则是:按一定规则予以剔除。
测量精度的概念及其分类
测量精度是指测得值与其真值的接近程度。
测量误差越大,则测量精度就越低;反之,测量精度就越高。
1.正确度
在规定的条件下测量结果与真值的符合程度。
表示测量结果中系统误差大小对测量结果的影响程度。
2.精密度
在一定条件下进行多次测量时,各测得值彼此之间的一致性程度。
表示随机误差的大小对测量结果的影响程度。
3.准确度(精确度)
表示测量结果与真值的一致程度。
是系统误差和随机误差综合影响的程度。
一般说来,精密度高而正确度不一定高,但精确度高,则精密度和正确度都高。 
从图中可以看出:A的测量结果准确度和精密度均好,结果可靠;B的数据分散,精密度很差,平均值虽然接近真值,但这是由于大的正负误差相互抵消的结果,如果只取其中部分测定结果来求平均值,就会与真值相差很大,因此这个结果是不可取的;C的分析结果精密度虽然很高,但准确度较差,结果存在系统偏向,若将各值均用一相同校正值进行校正,则均值就会与真值接近,这一情况应考虑为可能存在系统误差;D的精密度和准确度都很差,结果不可靠。
三条随机误差正态分布曲线如图所示。

(1)比较三条曲线对应的标准偏差的
大小关系及测量精密度高低。

