目录

  • 1 课程学习指导
    • 1.1 课程思政
      • 1.1.1 爱国是一种情怀,一种信仰,一种责任
      • 1.1.2 青年强则祖国强
      • 1.1.3 坚持文化自信,做数学文化的传承者
      • 1.1.4 重视数学基础研究
      • 1.1.5 学好数学研究数学需要有坐冷板凳的精神
    • 1.2 课程简介
    • 1.3 重点与难点
    • 1.4 有用链接
    • 1.5 预备知识
  • 2 多项式
    • 2.1 数域
    • 2.2 一元多项式
    • 2.3 整除的概念
    • 2.4 最大公因式
    • 2.5 因式分解定理
    • 2.6 重因式
    • 2.7 多项式函数
    • 2.8 复系数与实系数多项式的因式分解
    • 2.9 有理系数多项式
    • 2.10 章节测试
  • 3 行列式
    • 3.1 二阶和三阶行列式
    • 3.2 排列
    • 3.3 n阶行列式
    • 3.4 n阶行列式的性质
    • 3.5 行列式按一行(列)展开
    • 3.6 n阶行列式的计算
    • 3.7 克拉默(Cramer)法则
    • 3.8 章节测试
  • 4 线性方程组
    • 4.1 矩阵的初等变换
    • 4.2 消元法
    • 4.3 n维向量空间
    • 4.4 线性相关性
    • 4.5 矩阵的秩
    • 4.6 线性方程组有解判断定理
    • 4.7 线性方程组解的结构
    • 4.8 章节测试
    • 4.9 消元法的中国元素
  • 5 矩阵
    • 5.1 矩阵的定义
    • 5.2 矩阵的运算
    • 5.3 矩阵乘积的行列式
    • 5.4 矩阵的逆
    • 5.5 矩阵的分块
    • 5.6 初等矩阵
    • 5.7 分块矩阵的初等变换及应用举例
    • 5.8 章节测试
  • 6 知识拓展
    • 6.1 一元多项式
      • 6.1.1 多项式的根及相关问题
      • 6.1.2 有理系数多项式的不可约性
    • 6.2 行列式
    • 6.3 线性方程组
    • 6.4 矩阵
  • 7 考研专栏
    • 7.1 考研真题
      • 7.1.1 2023年考研真题
      • 7.1.2 2024年考研真题
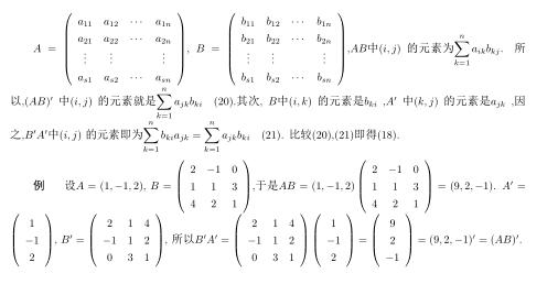
矩阵的运算
  • 1 知识点
  • 2 讲义
  • 3 学习目标
  • 4 练习
  • 5 例题讲解