暂无搜索结果
-
1 课程学习指导
-
1.1 课程思政
-
1.1.1 爱国是一种情怀,一种信仰,一种责任
-
1.1.2 青年强则祖国强
-
1.1.3 坚持文化自信,做数学文化的传承者
-
1.1.4 重视数学基础研究
-
1.1.5 学好数学研究数学需要有坐冷板凳的精神
-
1.2 课程简介
-
1.3 重点与难点
-
1.4 有用链接
-
1.5 预备知识
-
2 多项式
-
2.1 数域
-
2.2 一元多项式
-
2.3 整除的概念
-
2.4 最大公因式
-
2.5 因式分解定理
-
2.6 重因式
-
2.7 多项式函数
-
2.8 复系数与实系数多项式的因式分解
-
2.9 有理系数多项式
-
2.10 章节测试
-
3 行列式
-
3.1 二阶和三阶行列式
-
3.2 排列
-
3.3 n阶行列式
-
3.4 n阶行列式的性质
-
3.5 行列式按一行(列)展开
-
3.6 n阶行列式的计算
-
3.7 克拉默(Cramer)法则
-
3.8 章节测试
-
4 线性方程组
-
4.1 矩阵的初等变换
-
4.2 消元法
-
4.3 n维向量空间
-
4.4 线性相关性
-
4.5 矩阵的秩
-
4.6 线性方程组有解判断定理
-
4.7 线性方程组解的结构
-
4.8 章节测试
-
4.9 消元法的中国元素
-
5 矩阵
-
5.1 矩阵的定义
-
5.2 矩阵的运算
-
5.3 矩阵乘积的行列式
-
5.4 矩阵的逆
-
5.5 矩阵的分块
-
5.6 初等矩阵
-
5.7 分块矩阵的初等变换及应用举例
-
5.8 章节测试
-
6 知识拓展
-
6.1 一元多项式
-
6.1.1 多项式的根及相关问题
-
6.1.2 有理系数多项式的不可约性
-
6.2 行列式
-
6.3 线性方程组
-
6.4 矩阵
-
7 考研专栏
-
7.1 考研真题
-
7.1.1 2023年考研真题
-
7.1.2 2024年考研真题
-
1
知识点
-
2
学习目标
-
3
讲义
-
4
例题讲解
-
5
练习
计算下列矩阵的秩.

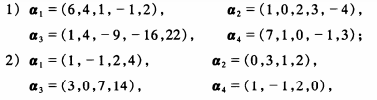
用消元法求下列向量组的极大线性无关组与秩.


选择班级