饼图、高低图、箱图、误差条图
上一节
下一节
5.5 饼图、高低图、箱图、误差条图
(1)饼图
饼图是用来表示各个部分与总体的构成关系,它以整个圆的面积表示总体,各组成部分的大小对应其所占的构成比大小。


(2)高低图
高低图是用多个垂直线段来表示数值区域的统计图,如一组测定值的范围(最大值-最小值)、95%置信区间(下限-上限)和股票、货币市场长期及短期数据波动。
例:在每天的固定时间点上连续监测某化工厂宿舍区空气中PM2.5的浓度一周,获得该点每天PM2.5浓度的最高值、最低值和平均值,数据见下表,请绘制高低图。

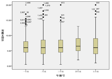
(3)箱图
箱图可直观描述连续型变量的分布及离散状态,箱图可显示数据的5个特征值,分别是最小值、下四分位数(P25)、中位数(P50)、上四分位数(P75)和最大值。P25和P75构成箱图的“箱体”部分,去除异常值以外的最小值和P25、去除异常值以外的最大值和P75之间分别构成“箱子”的上下两条端线,异常值指的是大于1.5倍四分位数间距的数值,在箱图中用小圆圈“○”表示,大于3倍四分位数间距的数值称为极端值,在图中用星号“*”表示。

图1. 箱图各要素含义

图2. 不同年级大学生客观支持分的箱图
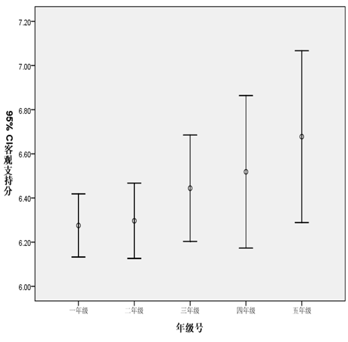
(4)误差条图
误差条图可用来显示数据的离散程度,使用均数和置信区间、均数和标准差、均数和标准误描述数据变量。

图3. 不同年级大学生客观支持分的误差条图

