药物分析

张宜凡

目录

  • 1 课程导学
    • 1.1 课程介绍
      • 1.1.1 学习要求
      • 1.1.2 考核要求
      • 1.1.3 参考教材
      • 1.1.4 教学日历
      • 1.1.5 电子教材
      • 1.1.6 课程答疑
  • 2 绪论
    • 2.1 药物分析的性质与任务
    • 2.2 药品质量标准
    • 2.3 《中国药典》概述
    • 2.4 药物分析基本程序
    • 2.5 上课课件
    • 2.6 思考与练习
    • 2.7 章节测验
  • 3 药物的鉴别
    • 3.1 药物的物理常数测定
      • 3.1.1 药物旋光度测定法
      • 3.1.2 药物熔点测定法
    • 3.2 药物鉴别基础知识
    • 3.3 化学鉴别法
    • 3.4 光谱鉴别法
    • 3.5 色谱鉴别法
    • 3.6 药物的鉴别实验
    • 3.7 药物的一般鉴别实验
    • 3.8 药物的专属性鉴别实验
    • 3.9 上课课件
    • 3.10 思考与练习
    • 3.11 章节测验
  • 4 药物的杂质检查
    • 4.1 药物的杂质与限量
    • 4.2 杂质的检查方法
    • 4.3 药物中一般杂质的检查
    • 4.4 特殊杂质的检查
    • 4.5 上课课件
    • 4.6 思考与练习
    • 4.7 章节测验
  • 5 药物的含量测定
    • 5.1 容量分析法概述
    • 5.2 酸碱滴定法与非水溶液滴定法
    • 5.3 紫外-可见分光光度法
    • 5.4 HPLC和GC法
    • 5.5 分析方法验证
    • 5.6 上课课件
    • 5.7 思考与练习
  • 6 体内药物分析
    • 6.1 体内药物分析概述
    • 6.2 常用体内样品的制备与贮藏
    • 6.3 体内样品预处理--蛋白沉淀法和液液萃取法
    • 6.4 上课课件
  • 7 芳酸类非甾体抗炎药物的分析
    • 7.1 鉴别与检查
    • 7.2 含量测定
    • 7.3 典型代表药阿司匹林及其制剂分析
  • 8 苯乙胺类拟肾上腺素类药物分析
    • 8.1 苯乙胺类药物分析
    • 8.2 小组讨论
    • 8.3 思考与讨论
  • 9 对氨基苯甲酸酯类酰苯胺类局麻药物分析
    • 9.1 上课课件
    • 9.2 药物分析云教材
    • 9.3 思考与讨论
  • 10 苯并二氮杂卓类镇静催眠类药物分析
    • 10.1 上课课件
    • 10.2 思考与讨论
  • 11 吩噻嗪类药物分析
    • 11.1 上课课件
    • 11.2 思考与讨论
    • 11.3 练习题
  • 12 莨菪烷类抗胆碱药物的分析
    • 12.1 上课课件
    • 12.2 思考与讨论
  • 13 维生素类药物的分析
    • 13.1 上课课件
    • 13.2 思考与讨论
    • 13.3 练习题
  • 14 甾体激素类药物的分析
    • 14.1 上课课件
    • 14.2 新建课程目录
  • 15 抗生素类药物的分析
    • 15.1 上课课件
    • 15.2 思考与讨论
  • 16 核苷类抗病毒药物的分析
    • 16.1 上课课件
    • 16.2 思考与讨论
  • 17 药物制剂的分析
    • 17.1 上课课件
  • 18 中药制剂分析
    • 18.1 上课课件
  • 19 药物分析新技术概述
    • 19.1 上课课件
  • 20 复习
    • 20.1 复习
典型代表药阿司匹林及其制剂分析
  • 1 讲稿
  • 2 课件与视频
  • 3 知识点扩展
  • 4 作业
  • 5 参考资料


阿司匹林及其制剂的分析

 阿司匹林为水杨酸与醋酸所成的酯,在水中微溶,在乙醇中易溶,遇湿气即缓缓水解。阿司匹林有羧基,具有酸性,可以采用酸碱滴定法测定含量,其酯键易水解成水杨酸和醋酸。

            

一、阿司匹林的分析

(一)鉴别

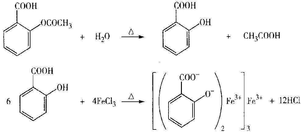
  1.三氯化铁反应  取供试品约0.1g,加水10ml,煮沸,放冷,加三氯化铁试液1滴,即显紫堇色。

  

 阿司匹林分子结构中无游离的酚羟基,不能直接与三氯化铁试液反应,酯键受热水解后生成水杨酸。水杨酸含有游离酚羟基,可在中性或弱酸性(pH值为4~6)条件下,与三氯化铁试液反应,生成紫堇色配位化合物。

 2.水解反应  取供试品约0.5g,加碳酸钠试液10ml,煮沸2分钟后,放冷,加过量的稀硫酸,即析出白色沉淀,并发生醋酸的臭气。


  阿司匹林在碱性溶液中加热,水解生成水杨酸钠及醋酸钠,加稀硫酸后生成水杨酸和醋酸,水杨酸不溶于水而析出白色沉淀,醋酸具有特臭。

   3.红外光谱法  阿司匹林分子中含有羧基、酯基及邻位取代苯环,它们都可在红外光谱中产生特征吸收峰,峰的归属如下:


(二)杂质检查

阿司匹林的合成工艺如下:


 合成反应中可能引入未反应完全的苯酚(原料)及水杨酸(中间体),同时生成副产物醋酸苯酯、水杨酸苯酯及乙酰水杨酸苯酯等。其中,水杨酸也是阿司匹林的水解产物,可能在贮藏过程中水解而产生。

 除“炽灼残渣”和“重金属”等一般杂质的检查项目外,阿司匹林还有以下杂质的检查项目。

 1.溶液的澄清度  检查方法:取供试品0.50g,加温热至约45℃的碳酸钠试液10ml溶解后,溶液应澄清。

 该项检查系控制阿司匹林原料药中无羧基的特殊杂质的量。其原理是基于阿司匹林分子结构中含羧基,可溶于碳酸钠试液;而苯酚、醋酸苯酯、水杨酸苯酯及乙酰水杨酸苯酯等杂质不溶的特性。

 2.游离水杨酸  水杨酸对人体有毒性,其分子中所含的酚羟基易被氧化,在空气中生成有色的醌型化合物而使成品变色,因而需加以控制。

《中国药典》采用高效液相色谱法检查阿司匹林中的游离水杨酸。方法:临用新制。取本品约0.lg,精密称定,置10ml量瓶中,加1%冰醋酸的甲醇溶液适量,振摇使溶解,并稀释至刻度,摇匀,作为供试品溶液;取水杨酸对照品约10mg,精密称定,置100ml量瓶中,加1% 冰醋酸的甲醇溶液适量使溶解并稀释至刻度,摇匀,精密量取5ml,置50ml量瓶中,用1%冰醋酸的甲醇溶液稀释至刻度,摇匀,作为对照品溶液。照高效液相色谱法试验。用十八烷基硅烷键合硅胶为填充剂;以乙腈-四氢呋喃-冰醋酸-水(20: 5: 5:70)为流动相;检测波长为303nm。理论板数按水杨酸峰计算不低于5000,阿司匹林峰与水杨酸峰的分离度应符合要求,立即精密量取对照品溶液与供试品溶液各10µl分别注入液相色谱仪,记录色谱图。供试品溶液色谱图中如有与水杨酸峰保留时间一致的色谱峰,按外标法以峰面积计算,不得过 0.1% 。

 3.易炭化物  易炭化物系指药物中遇硫酸易炭化或氧化而呈色的微量有机杂质。阿司匹林中易炭化物检查的方法是:取供试品0.5g,加入5ml硫酸中,振摇使溶解,静置15分钟后,如显色,与对照液(取比色用氯化钻液0.25ml、比色用重铬酸钾液0.25ml、比色用硫酸铜液0.40ml,加水使成5ml)比较,不得更深。

 4. 有关物质  取本品约0.1g,置10ml量瓶中,加1% 冰醋酸的甲醇溶液适量,振摇使溶解并稀释至刻度,摇匀,作为供试品溶液;精密量取1ml,置200ml量瓶中,用1% 冰醋酸的甲醇溶液稀释至刻度,摇匀,作为对照溶液;精密量取对照溶液lml,置10ml量瓶中,用1%冰醋酸的甲醇溶液稀释至刻度,摇匀,作为灵敏度溶液。照高效液相色谱法试验。用十八烷基硅烷键合硅胶为填充剂;以乙腈-四氢呋喃-冰醋酸-水(20 : 5 : 5 : 70)为流动相A ,乙腈为流动相B,按下表进行梯度洗脱;检测波长为276nm。阿司匹林峰的保留时间约为8分钟,阿司匹林峰与水杨酸峰的分离度应符合要求。分别精密量取供试品溶液、对照溶液、灵敏度溶液与游离水杨酸检查项下的水杨酸对照品溶液各10µl ,注入液相色谱仪,记录色谱图。供试品溶液色谱图中如有杂质峰,除水杨酸峰外,其他各杂质峰面积的和不得大于对照溶液主峰面积(0.5% )。供试品溶液色谱图中小于灵敏度溶液主峰面积的色谱峰忽略不计。


(三)含量测定

《中国药典》采用酸碱滴定法测定阿司匹林含量。

1.原理  利用阿司匹林分子结构中的游离羧基具有一定的酸性,可与碱成盐的性质,用氢氧化钠滴定液直接滴定。反应式如下:


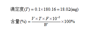
2.方法  取供试品约0.4g,精密称定,加中性乙醇(对酚酞指示液显中性)20ml溶解后,加酚酞指示液3滴,用氢氧化钠滴定液(0.1mol/L)滴定,每1ml氢氧化钠滴定液(0.1mol/L)相当于18.02mg的阿司匹林(C9H8O4)。

 阿司匹林为有机酸,显弱酸性,用氢氧化钠滴定时,化学计量点偏碱性,故指示剂选用在碱性区变色的酚酞。同时为防止阿司匹林在测定过程中由于酯键的水解而使结果偏高,采用乙醇溶解样品,因乙醇对酚酞(指示剂)显微酸性,故将乙醇用氢氧化钠中和后使用。

 由于1mol的氢氧化钠相当于1mol的阿司匹林,阿司匹林的分子量为180.16,所以滴定度(T)为:

          

  式中,V为滴定液的消耗体积(ml);T为滴定度;W为供试品的称样量(g);10-3为质量换算因数(1mg等于10-3g);F为滴定液的浓度校正因数。

               

二、阿司匹林片和阿司匹林肠溶片的分析

 (一)游离水杨酸的检查

制剂一般不再检查原料药项下的有关杂质,但由于阿司匹林在制剂的制备过程中易水解生成水杨酸,所以《中国药典》规定,阿司匹林片和阿司匹林肠溶片也采用与原料药类似的方法控制游离水杨酸,其限量分别为0.3%和1.5%。

 (二)溶出度测定

1.阿司匹林片溶出度的测定:取阿司匹林片,照《中国药典》“溶出度测定法”(第一法),以稀盐酸24ml加水至1000ml为溶出介质,转速为每分钟100转,依法操作,经30分钟时,取溶液10ml滤过,取续滤液作为供试品溶液;另取阿司匹林对照品,精密称定,加1%冰醋酸的甲醇溶液溶解并稀释制成每lm l中含 0.08mg(50mg、0.lg 规格)、0. 24mg(0.3g 规格)或 0.4mg(0.5 g规格)的溶液,作为阿司匹林对照品溶液;取水杨酸对照品,精密称定,加1% 冰醋酸的甲醇溶液溶解并稀释制成每lml 中含 0.01mg(50mg、0.lg 规格)、0.03mg(0.3g规格)或0.05mg(0.5g规格)的溶液,作为水杨酸对照品溶液。照含量测定项下的色谱条件,精密量取供试品溶液、阿司匹林对照品溶液与水杨酸对照品溶液各l0µl,分别注入液相色谱仪,记录色谱图。按外标法以峰面积分别计算每片中阿司匹林与水杨酸含量,将水杨酸含量乘以1.304后,与阿司匹林含量相加即得每片溶出量。限度为标示量的80%,应符合规定。

2.阿司匹林肠溶片溶出度的测定

酸中溶出量:取本品,照溶出度与释放度测定法(通则0931第一法方法1),以0. lmol /L的盐酸溶液600ml(25mg、40mg、50mg 规格)或 750ml(100mg、300mg 规格)为溶出介质,转速为每分钟100转,依法操作,经2 小时时,取溶液10ml,滤过,取续滤液作为供试品溶液;取阿司匹林对照品,精密称定,加1%冰醋酸的甲醇溶液溶解并稀释制成每lml中含4. 25µg(25mg 规格)、7µg(40mg 规格)、8.25µg(50mg 规格)、13µg(100mg规格),40µg(300mg规格)的溶液,作为对照品溶液。照含量测定项下的方法测定。计算每片中阿司匹林的溶出量,限度应小于阿司匹林标示量的10% 。

缓冲液中溶出量:在酸中溶出量检查项下的溶液中继续加入37°C 的0.2mol/L 磷酸钠溶液 200ml(25mg、40mg、50mg规格)或250ml(l00mg、300mg规格),混匀,用2mol/L盐酸溶液或2mol/L氢氧化钠溶液调节溶液的pH值至6.8±0.05,继续溶出45分钟,取溶液10ml,滤过,取续滤液作为供试品溶液;另精密称取阿司匹林对照品适量,精密称定,加1% 冰醋酸的甲醇溶液溶解并稀释制成每lml中含22µg(25mg规格)、35µg(40mg 规格)、44µg(50mg规格)、72µg(l00mg 规格)、0.2mg (300m g规格)的溶液,作为阿司匹林对照品溶液;另取水杨酸对照品,精密称定,加1% 冰醋酸的甲醇溶液溶解并稀释制成每lml中含1.7 µg (25mg规格)、2.6µg (40mg规格)、3.4µg(50mg规格)、5.5µg(100mg规格)、16µg(300mg规格)的溶液,作为水杨酸对照品溶液。照含量测定项下的色谱条件,精密量取供试品溶液、阿司匹林对照品溶液与水杨酸对照品溶液各l0µl,分别注入液相色谱仪,记录色谱图。按外标法计算每片中阿司匹林和水杨酸的含量,将水杨酸含量乘以1.304后,与阿司匹林含量相加即得每片缓冲液中释放量。限度为标示量的70%,应符合规定。

(三)含量测定

由于阿司匹林片剂中加入了少量的酒石酸或枸橼酸(作为稳定剂)以及制剂工艺中可能产生的水杨酸、醋酸均可消耗碱滴定液,使测定结果偏高,因此《中国药典》2015年版采用高效液相色谱法测定阿司匹林片和阿司匹林肠溶片的含量。

色谱条件与系统适用性试验用十八烷基硅烷键合硅胶为填充剂;以乙腈-四氢呋喃-冰醋酸-水(20 : 5 : 5 : 70)为流动相;检测波长为276nm。理论板数按阿司匹林峰计算不低于3000,阿司匹林峰与水杨酸峰的分离度应符合要求。

测定法取本品20片,精密称定,充分研细,精密称取细粉适量(约相当于阿司匹林l0mg),置100ml量瓶中,用1% 冰醋酸的甲醇溶液强烈振摇使阿司匹林溶解,并用1% 冰醋酸的甲醇溶液稀释至刻度,摇匀,滤膜滤过,取续滤液作为供试品溶液,精密量取l0µl注入液相色谱仪,记录色谱图;另取阿司匹林对照品,精密称定,加1% 冰醋酸的甲醇溶液振摇使溶解并定量稀释制成每lml中约含0.lm g的溶液,同法测定。按外标法以峰面积计算,即得。