一. 选择填空题(可多选)。
一、填空:
(1) 电压放大电路主要研究的指标是( A )、( B )、( C )等;功率放大电路主要研究的指标是( D )、( E )、( F )等。
A. 电压放大倍数 B.输入电阻 C.输出电阻 D. 输出功率
E. 电源提供的功率 F.效率
(2) 乙类互补功率放大电路的效率较高,在理想情况下可达( A )。
A. 78.5% B.75% C. 72.5%
(3) 乙类互补功率放大电路会产生( C )失真。
A. 饱和 B.截止 C.交越失真 D. 饱和和截止
(4) 为了消除交越失真应使功率管工作在( C )状态。
A. 甲类 B.乙类 C.甲乙类
(5) 输出功率为200W的扩音电路采用甲乙类功放,则应选择PV≥( D )的功放管。
A. 200W B.100W C.50W D. 40W
(6) 同样输出功率的OCL与OTL功放电路的最大区别在于( A )。
A. 双电源和单电源供电 B.输出端是否有耦合电容
C. 三极管的要求不同
(7) OTL电路输出耦合电容的作用是( AB )。
A. 隔直耦合 B.相当于提供负电源
C. 交流时对地旁路
二. 判断下列说法是否正确(在括号中打“√”或“×”)。
(1) 功率放大电路的主要作用是向负载提供足够大的功率信号。 ( √ )
(2) 顾名思义,功率放大电路有功率放大作用,电压放大电路只有电压放大作用而无功率放大作用。 ( × )
(3) 由于功率放大电路中的晶体管处于大信号工作状态,所以微变等效电路方法已不再用。 ( √ )
(4) 在功率放大电路中,输出功率最大时,功放管的功率损耗也是最大。 ( × )
(5) 乙类功放电路在输出功率最大时,管子消耗的功率最大。 ( × )
(6) 在输出电压为零时,单电源甲乙类推挽功放电路中的电源所消耗的功率是两个管子的静态电流与电源电压的乘积。 ( × )
3. 与甲类功率放大电路相比,乙类互补对称功率放大电路的主要优点是什么?
解:乙类互补对称功率放大电路的效率高。
4. 在图4.10所示电路中,用二极管VD1和VD2的管压降为VT1和VT2提供适当的偏置,而二极管具有单向导电的特性,那么,此时输入的交流信号能否通过此二极管,从而也为VT1和VT2供给交流信号?并说明理由。
解:二极管的交流等效电阻很小,交流通路可视为短路,输入的交流信号直接送往VT1和VT2的基极输入端。
5. 设放大电路的输入信号为正弦波,问在什么情况下,电路的输出会出现饱和及截止失真?在什么情况下会出现交越失真?用波形示意图说明这两种失真的区别。
解:若放大电路为共射放大电路,输入信号为正弦波,输出正弦波的底部被削平为饱和失真,顶部削平为截止失真。交越失真出现在互补对称功放输出波形的过零点附近被削平。
三、计算题
图4-20 图4-21
在图4.20所示电路中,设BJT的b=100,UBE=0.7V,UCES=0
,ICEO=0,电容C对交流可视为短路。输入信号ui为正弦波。
(1) 计算电路可能达到的最大不失真输出功率Pom。
(2) 此时RB应调节到什么阻值?
(3) 此时电路的效率h为多少?试与工作在乙类的互补对称电路比较。
2、双电源互补对称电路如图4.21所示,已VCC=12V,RL=16W
,ui为正弦波。
(1) 求在BJT的饱和压降UCES可以忽略不计的条件下,负载上可能得到的最大输出功率Pom。
(2) 每个管子允许的管耗PCM至少应为多少?
(3) 每个管子的耐压½UBR, CEO½应大于多少?
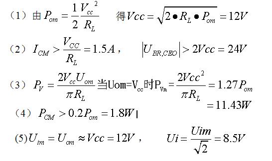
3、如图4.21所示,设ui为正弦波,RL=8W,要求最大输出功率Pom =9W。BJT的饱和压降UCES可以忽略不计,求:
(1) 正、负电源VCC的最小值。
(2) 根据所求VCC最小值,计算相应的最小值ICM、½U(BR)CEO½。
(3) 输出功率最大(Pom=9W)时,电源供给的功率PV。
(4) 每个管子允许的管耗PCM的最小值。
(5) 当输出功率最大(Pom=9W)时所要求的输入电压有效值

