乙类功率放大器
一、教学设计
表1、乙类功率放大电路性能与测试
| 教师姓名 | 李军科、崔玫、陈立文、房曙光、曹钟林、程军武、童建华、冒莉 | 备注 |
| 章节名称 | 项目四 音频功率放大电路 任务4-2乙类功率放大器 | |
| 教学任务 | 乙类功率放大器的电路结构和工作原理;乙类功率放大器的放大倍数、输入电阻和输出电阻;测试乙类功率放大器静和动态性能指标。 | |
| 教学目标 | 1、 掌握乙类功率放大器电路的电路结构和工作原理; 2、 分析计算乙类功率放大器的输出功率与输出效率; | |
| 教学策略 | 以教师为主导,学生为主体开展教学。教师演示课程PPT,并借助于multisim11电路仿真软件对乙类互补对称功率放大器电路多媒体演示。 | |
教学过程 | 教师活动: 实例导入—提出问题(家用电器中乙类功率放大器)—multisim11平台小信号运乙类互补对称电路功率放大器演示 ——学生仿真过程指导——板书讲解 | |
学生活动: 在教师新课导入基础上回答问题—课堂听讲——完成小信号乙类功率放大器电路multisim11平台电路仿真。 | ||
| 资源准备:multisim11软件、PC电脑、投影、PPT课件、USB接口数字示波器、万用表、面包电路板 | ||
教学评价 | 1、知识与技能:乙类功率放大器符号、分类、分析方法、芯片选型。 | |
2、过程与方法:课堂理论讲解与实际操作、仿真演示。 | ||
| 3、教学态度评价: | ||
| 说明:教学评价安排在课堂快要结束时候,以学生评价为主,讲师评价为辅 | ||
| 课程总结 | 乙类互补对称电路是重要的功率放大电路。但交越失真则是其缺点。需要对电路改进处理。 |
二、教学内容
2.1 乙类互补对称电路
图1、乙类互补对称电路
由两个对称的工作在乙类状态的射极输出器组合而成。T1(NPN型)和T2(PNP型)是两个特性一致的互补晶体管;电路采用双电源供电,负载直接接到T1,T2 的发射极上。因电路没有输出电容和变压器,故称为无输出电容电路,简称OCL电路。
设ui 为正弦波,当ui 处于正半周时,T1导通,T2截止,输出电流iL = iC1流过RL,形成输出正弦波的正半周。当ui 处于负半周时,T1截止,T2导通,输出电流iL = - iC2流过RL,其方向与 iC1 相反,形成输出正弦波的负半周。因此,在信号的一个周期内,输出电流基本上是正弦波电流。由此可见,该电路实现了在静态时管子无电流通过,而有信号时,T1、T2轮流导通,组成所谓推挽电路。由于电路结构和两管特性对称,工作时两管互相补充,故称"互补对称"电路。
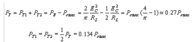
乙类互补对称电路效率=Pomax/Pe=pi/4=78.5% ;输出功率最大情况下,两管管耗
2.2 交越失真
三、教学视频

