直流电源变压器特性与测试
一、教学设计
表1、电源变压器特性与测试
| 教师姓名 | 李军科、崔玫、陈立文、房曙光、曹钟林、程军武、童建华、冒莉 | 备注 |
| 章节名称 | 项目五 直流稳压电源 任务4-3电源变压器特性与测试 | |
| 教学任务 | 电源变压器的电路结构和工作原理; 变压器的分类及应用场合、变压器特性参数 | |
| 教学目标 |
1、 掌握直流稳压电源变压器结构和工作原理; 2、 根据技术参数对变压器选型并接线 | |
| 教学策略 | 以教师为主导,学生为主体开展教学。教师演示课程PPT,并借助于电子设计大赛作品对变压器内容讲解。 | |
教学过程 | 教师活动: 实例导入—提出问题(现场演示)—变压器制作视频播放—指导连接变压器并测试输入输出 | |
学生活动: 在教师新课导入基础上回答问题—课堂听讲—完成220V交流输入12*1.414=19V交流输出变压器电路连接 | ||
资源准备:multisim11软件、PC电脑、投影、PPT课件、USB接口数字示波器、万用表、面包电路板 | ||
教学评价 | 1、知识与技能:直流稳压电源变压器选型与线路连接与测试 | |
2、过程与方法:课堂理论。讲解与实际操作、仿真演示。 | ||
3、教学态度评价: | ||
说明:教学评价安排在课堂快要结束时候,以学生评价为主,讲师评价为辅 | ||
| 课程总结 | 变压器的使用相对比较简单,教学过程中重点加强变压器工作原理原理讲解,另外,可以部分尝试自己手工绕制变压器。 |
二、教学内容
2.1 变压器
变压器是变换交流电压、电流和阻抗的器件,当初级线圈中通有交流电流时,铁芯(或磁芯)中便产生交流磁通,使次级线圈中感应出电压(或电流)。变压器由铁芯(或磁芯)和线圈组成,线圈有两个或两个以上的绕组,其中接电源的绕组叫初级线圈,其余的绕组叫次级线圈。
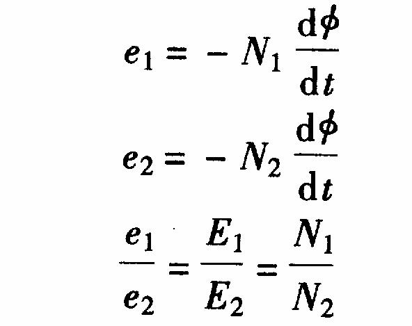
二次绕组(也称副绕组或次级绕组):接负载,其匝数为N2一次绕组(也称原绕组或初级绕组):接交流电源,其匝数为Nl;一、二次绕组中其感应电动势瞬时值分别为
在发电机中,不管是线圈运动通过磁场或磁场运动通过固定线圈,均能在线圈中感应电势,此两种情况,磁通的值均不变,但与线圈相交链的磁通数量却有变动,这是互感应的原理。变压器就是一种利用电磁互感应,变换电压,电流和阻抗的器件。
2.2 分类
按冷却方式分类:干式(自冷)变压器、油浸(自冷)变压器、氟化物(蒸发冷却)变压器。按防潮方式分类:开放式变压器、灌封式变压器、密封式变压器。
按铁芯或线圈结构分类:芯式变压器(插片铁芯、C型铁芯、铁氧体铁芯)、壳式变压器(插片铁芯、C型铁芯、铁氧体铁芯)、环型变压器、金属箔变压器。
按电源相数分类:单相变压器、三相变压器、多相变压器。
按用途分类:电源变压器、调压变压器、音频变压器、中频变压器、高频变压器、脉冲变压器。
2.2 电源变压器的特性参数
工作频率:变压器铁芯损耗与频率关系很大,故应根据使用频率来设计和使用,这种频率称工作频率。
额定功率:在规定的频率和电压下,变压器能长期工作,而不超过规定温升的输出功率。
额定电压:指在变压器的线圈上所允许施加的电压,工作时不得大于规定值。
电压比:指变压器初级电压和次级电压的比值,有空载电压比和负载电压比的区别。
空载电流:变压器次级开路时,初级仍有一定的电流,这部分电流称为空载电流。空载电流由磁化电流(产生磁通)和铁损电流(由铁芯损耗引起)组成。对于50Hz电源变压器而言,空载电流基本上等于磁化电流。
空载损耗指:变压器次级开路时,在初级测得功率损耗。主要损耗是铁芯损耗,其次是空载电流在初级线圈铜阻上产生的损耗(铜损),这部分损耗很小。
效率:指次级功率P2与初级功率P1比值的百分比。通常变压器的额定功率愈大,效率就愈高。
绝缘电阻:表示变压器各线圈之间、各线圈与铁芯之间的绝缘性能。绝缘电阻的高低与所使用的绝缘材料的性能、温度高低和潮湿程度有关。
三、教学课件
四 教学视频

