定轴转动刚体的轴承动反力
上一节
下一节
教学视频
注意:本教学视频及内容仅供教学使用
本节主要内容
定轴转动刚体的轴承动反力
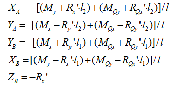
1.刚体的轴承动反力

2.轴承动反力的组成
轴承约束反力由两部分组成,一部分由主动力引起的,不能消除,称为静反力;一部分是由于惯性力系的不平衡引起的,称为附加动反力,它可以通过调整加以消除。
3.附加动反力为零的条件
当刚体转轴为中心惯性主轴时,轴承的附加动反力为零。
4.静平衡与动平衡的概念
静平衡:刚体转轴过质心,则刚体在仅受重力而不受其它主动
力时,不论位置如何,总能平衡。
动平衡:转动为中心惯性主轴时,转动时不产生附加动反力。
5.典型例题
[例1] 质量不计的刚轴以角速度w匀速转动,其上固结着两个质量均为m的小球A和B。指出在图示各种情况下,哪些是静平衡的?哪些是动平衡的?

拓展阅读

