刚体惯性力系的简化
上一节
下一节
教学视频
注意:本教学视频及内容仅供教学使用
本节主要内容
刚体惯性力系的简化
1.刚体惯性力系的简化
无论刚体作什么运动,惯性力系主矢都等于刚体质量与质心加速度的乘积,方向与质心加速度方向相反。
(1)刚体作平动(回顾)
只有选取矩中心为质心时,平移刚体的惯性力系才可以简化为通过质心的合力,其大小等于刚体的质量与加速度的乘积,合力的方向与加速度方向反向。
(2)定轴转动刚体

讨论:(三种特殊情况)
①刚体作匀速转动,转轴不通过质点C 。
②转轴过质点C,但角加速度不为零。
③刚体作匀速转动,且转轴过质心。
(3)刚体作平面运动
作用于质心
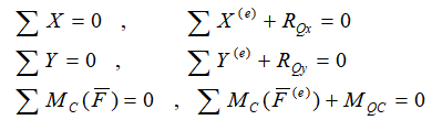
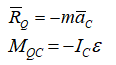
2. 给出平面运动刚体的动静法基本方程


