质点系的达朗贝尔原理
上一节
下一节
教学视频
注意:本教学视频及内容仅供教学使用
本节主要内容
质点系的达朗贝尔原理
1.质点系的达朗贝尔原理
质点的达朗贝尔原理可以直接推广到质点系。
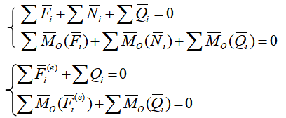
对整个质点系,主动力系、约束反力系、惯性力系形式上构成平衡力系。这就是质点系的达朗伯原理。
在任意瞬时,作用于质点系的主动力、约束力和该点的惯性力所构成力系的主矢等于零,该力系对任一点O的主矩也等于零。

2.刚体惯性力系的简化
无论刚体作什么运动,惯性力系主矢都等于刚体质量与质心加速度的乘积,方向与质心加速度方向相反。
(1)刚体作平动
只有选取矩中心为质心时,平移刚体的惯性力系才可以简化为通过质心的合力,其大小等于刚体的质量与加速度的乘积,合力的方向与加速度方向反向.


