教学视频
注意:本教学视频及内容仅供教学使用
本节主要内容
动能定理典型例题
势能与机械能守恒定律
一.势力场
1.力场——物体在某空间内都受到一个大小和方向完全由所在位置确定的力作用,这部分空间称为力场。
2.有势力—力的功只决定于作用点的始末位置,而与运动路径无关的力统称为有势力(或保守力)。
3.势力场(或保守力场)——有势力形成的力场称为势力场。
重力场、万有引力场、弹性力场都是势力场。
二.势能
在势力场中, 质点从位置M 运动到任选位置M0, 有势力所作的功称为质点在位置M 相对于位置M0的势能,用V 表示。

在一般情况下,质点的势能可以表示成质点位置坐标x,y,z的单值连续函数,即V = V (x , y , z)
可以证明质点系在重力场中的势能为
![]()
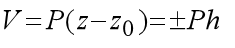
1.重力势能
质点:

质点系:

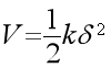
2. 弹性力势能:取弹簧的自然位置为零势能点

3. 万有引力势能:取与引力中心相距无穷远处为零势能位置

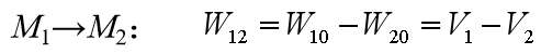
三.有势力的功
![]()
有势力的功等于质点系在运动的始末位置的势能之差。
四.机械能守恒定律
如质点系只在有势力作用下运动,则其动能与势能之和保持不变。动能与势能之和称为机械(总)能。
当作功的力都是有势力时,质点系的机械(总)能保持不变。这一结论称为机械能守恒定律。
![]()



