动能定理
上一节
下一节
教学视频
注意:本教学视频及内容仅供教学使用
本节主要内容
动能定理
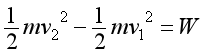
1.质点的动能定理

质点动能的微分等于作用于质点上的力的元功,这就是质点动能定理的微分形式。

质点动能在某一路程中的改变量,等于作用于质点的各力在该路程中所做的功。这就是质点动能定理的积分形式。
2.质点系的动能定理

质点系动能的微分等于作用于质点系各力的元功的代数和,这就是质点系动能定理的微分形式。

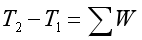
在理想约束的条件下,质点系的动能定理可写成以下的形式

式中 T1 , T2 分别代表某一运动过程中开始和终了时质点系的动能。上式表明质点系的动能在某一路程中的改变量,等于作用于质点系的各力在该路程中的功的代数和。这就是质点系动能定理的积分形式。

