功率与动能
上一节
下一节
教学视频
注意:本教学视频及内容仅供教学使用
本节主要内容
功率和功率方程
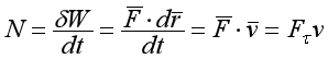
(一)功率:力在单位时间内所作的功。它是衡量机器工作能力的一个重要指标。功率是代数量,并有瞬时性。

作用力的功率:

力矩的功率:

功率的单位:瓦特(W),千瓦(kW),1W=1J/s 。
(二)功率方程:

机器稳定运行时,

机械效率

η是评定机器质量优劣的重要指标之一。一般情况下η<1。
动能
物体的动能是由于物体运动而具有的能量,是机械运动强弱的又一种度量。
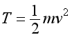
一.质点的动能

动能是瞬时量,与速度方向无关的正标量,具有与功相同的量纲,单位也是J。
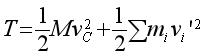
二.质点系的动能:等于系统内所有质点动能的总和。

对于任一质点系:
(柯尼希定理)
为第i个质点相对质心的速度
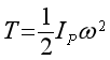
三.刚体的动能
1.平动刚体

2.定轴转动刚体

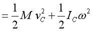
3.平面运动刚体


平面运动刚体的动能,等于它以质心速度作平动时的动能与相对于质心轴转动时的动能之和。

