力的功
上一节
下一节
教学视频
注意:本教学视频及内容仅供教学使用
本节主要内容
与动量定理和动量矩定理用矢量法研究不同,动能定理用能量法研究动力学问题。能量法不仅在机械运动的研究中有重要的应用,而且是沟通机械运动和其它形式运动的桥梁。动能定理建立了与运动有关的物理量—动能和作用力的物理量—功之间的联系,这是一种能量传递的规律。
力的功与功率
一、力的功
力的功是力沿路程累积效应的度量。
(一)常力的功


(二)变力的功




(三)合力的功

在任一路程上,合力的功等于各分力功的代数和。
(四)常见力的功
1.重力的功


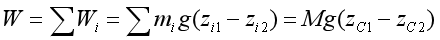
质点系:

质点系重力的功,等于质点系的重量与其在始末位置重心的高度差的乘积,而与各质点的路径无关。
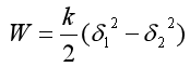
2.弹性力的功


3.万有引力的功


