刚体定轴转动微分方程
上一节
下一节
教学视频
注意:本教学视频及内容仅供教学使用
本节主要内容
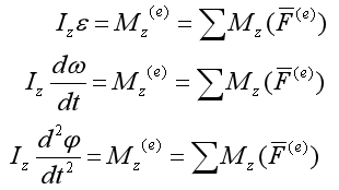
刚体定轴转动微分方程

即,定轴转动刚体对转轴的转动惯量与角速度的乘积,等于作用于刚体的外力对转轴的主矩。这就是刚体定轴转动微分方程。
解决两类问题:
1 已知作用在刚体的外力矩,求刚体的转动规律。
2 已知刚体的转动规律,求作用于刚体的外力(矩)。但不能求出轴承处的约束反力,需用质心运动定理求解。
刚体的转动惯量Iz是刚体转动惯性的度量。


