理论力学

尹力

目录

  • 1 学前必读
    • 1.1 修读建议
  • 2 绪论
    • 2.1 学习任务单(含学习目标)
    • 2.2 研究对象、地位和方法
    • 2.3 发展史
    • 2.4 本章测验
    • 2.5 课件
    • 2.6 课程思政活动设计
    • 2.7 课程思政教学建议
  • 3 第一章 静力学公理与受力分析
    • 3.1 学习任务单(含学习目标)
    • 3.2 静力学基本概念
    • 3.3 静力学公理
    • 3.4 约束与约束反力
    • 3.5 物体的受力分析与受力图
    • 3.6 受力分析注意事项
    • 3.7 典型例题
    • 3.8 本章测验
    • 3.9 课件
    • 3.10 课程思政活动设计
    • 3.11 课程思政教学建议
  • 4 第二章 平面特殊力系
    • 4.1 学习任务单(含学习目标)
    • 4.2 平面汇交力系合成和平衡的几何法
    • 4.3 平面汇交力系合成和平衡的解析法
    • 4.4 典型例题
    • 4.5 几何法与解析法的选用
    • 4.6 力对点的矩与合力矩定理
    • 4.7 平面力偶理论
    • 4.8 平面力偶系的平衡问题
    • 4.9 平面平行力系
    • 4.10 本章测验
    • 4.11 课件
    • 4.12 课程思政活动设计
    • 4.13 课程思政教学建议
  • 5 第三章 平面一般力系
    • 5.1 学习任务单(含学习目标)
    • 5.2 力线平移定理
    • 5.3 平面一般力系向一点的简化
    • 5.4 平面一般力系的简化结果与平衡方程
    • 5.5 物体系统的平衡
    • 5.6 静定与静不定问题的概念
    • 5.7 平面简单桁架的内力分析
    • 5.8 本章测验
    • 5.9 课件
    • 5.10 课程思政活动设计
    • 5.11 课程思政教学建议
  • 6 第四章 摩擦
    • 6.1 学习任务单(含学习目标)
    • 6.2 滑动摩擦
    • 6.3 摩擦角与自锁
    • 6.4 考虑摩擦时的平衡问题
    • 6.5 滚动摩阻的概念与典型例题
    • 6.6 本章测验
    • 6.7 课件
    • 6.8 课程思政活动设计
    • 6.9 课程思政教学建议
  • 7 第五章 空间力系
    • 7.1 学习任务单(含学习目标)
    • 7.2 空间汇交力系
    • 7.3 空间力偶系
    • 7.4 力对点的矩与力对轴的矩
    • 7.5 空间一般力系向一点的简化
    • 7.6 空间一般力系简化结果的讨论
    • 7.7 空间一般力系的平衡方程
    • 7.8 平行力系的中心和物体的重心
    • 7.9 典型例题
    • 7.10 本章测验
    • 7.11 课件
    • 7.12 课程思政活动设计
    • 7.13 课程思政教学建议
  • 8 第六章 点的运动学
    • 8.1 学习任务单(含学习目标)
    • 8.2 点的运动的矢量分析法
    • 8.3 点的运动的直角坐标法
    • 8.4 点的运动的自然坐标法
    • 8.5 本章测验
    • 8.6 课件
    • 8.7 课程思政活动设计
    • 8.8 课程思政教学建议
  • 9 第七章 刚体基本运动
    • 9.1 学习任务单(含学习目标)
    • 9.2 刚体的平行移动
    • 9.3 刚体的定轴转动、转动刚体内各点的速度和加速度1
    • 9.4 转动刚体内各点的速度和加速度2、绕定轴转动刚体的传动问题
    • 9.5 角速度和角加速度的矢量表示、点的速度和加速度的矢量表示
    • 9.6 本章测验
    • 9.7 课件
    • 9.8 课程思政活动设计
    • 9.9 课程思政教学建议
  • 10 第八章 点的合成运动
    • 10.1 学习任务单(含学习目标)
    • 10.2 点的合成运动的概念
    • 10.3 动点动系的选取
    • 10.4 点的速度合成定理
    • 10.5 典型例题1
    • 10.6 牵连运动为平动时的加速度合成定理
    • 10.7 典型例题2
    • 10.8 牵连运动为转动时的加速度合成定理
    • 10.9 典型例题3
    • 10.10 本章测验
    • 10.11 课件
    • 10.12 课程思政活动设计
    • 10.13 课程思政教学建议
  • 11 第九章 刚体平面运动
    • 11.1 学习任务单(含学习目标)
    • 11.2 刚体平面运动的概述
    • 11.3 平面运动的分解与刚体平面运动方程
    • 11.4 平面图形内各点的速度
    • 11.5 典型例题-求速度方法比较
    • 11.6 典型例题-求速度方法选用
    • 11.7 平面图形内各点的加速度
    • 11.8 典型例题1
    • 11.9 典型例题2
    • 11.10 本章测验
    • 11.11 课件
    • 11.12 课程思政活动设计
    • 11.13 课程思政教学建议
  • 12 第十章 刚体一般运动(自学)
    • 12.1 课件
  • 13 第十一章 质点运动微分方程
    • 13.1 学习任务单(含学习目标)
    • 13.2 质点运动微分方程形式
    • 13.3 第一类动力学问题
    • 13.4 第二类动力学问题
    • 13.5 本章测验
    • 13.6 课件
    • 13.7 课程思政活动设计
    • 13.8 课程思政教学建议
  • 14 第十二章 动量定理
    • 14.1 学习任务单(含学习目标)
    • 14.2 质点系的质心.内力与外力.动量
    • 14.3 冲量
    • 14.4 动量定理
    • 14.5 典型例题1
    • 14.6 质心运动定理
    • 14.7 典型例题2
    • 14.8 动量定理综合应用
    • 14.9 本章测验
    • 14.10 课件
    • 14.11 课程思政活动设计
    • 14.12 课程思政教学建议
  • 15 第十三章 动量矩定理
    • 15.1 学习任务单(含学习目标)
    • 15.2 刚体对轴的转动惯量
    • 15.3 平行移轴定理.质点和质点系的动量矩
    • 15.4 刚体系统的动量矩
    • 15.5 动量矩定理
    • 15.6 典型例题1
    • 15.7 刚体定轴转动微分方程
    • 15.8 质点系相对于质心的动量矩定理与刚体平面运动微分方程
    • 15.9 典型例题2
    • 15.10 本章小结
    • 15.11 本章测验
    • 15.12 课件
    • 15.13 课程思政活动设计
    • 15.14 课程思政教学建议
  • 16 第十四章 动能定理
    • 16.1 学习任务单(含学习目标)
    • 16.2 力的功
    • 16.3 常见力的功
    • 16.4 功率与动能
    • 16.5 动能定理
    • 16.6 典型例题1
    • 16.7 势能与机械能守恒定律
    • 16.8 典型例题2
    • 16.9 动力学普遍定理及其综合应用
    • 16.10 典型例题3
    • 16.11 典型例题4
    • 16.12 本章测验
    • 16.13 课件
    • 16.14 课程思政活动设计
    • 16.15 课程思政教学建议
  • 17 第十五章 达朗贝尔原理
    • 17.1 学习任务单(含学习目标)
    • 17.2 惯性力
    • 17.3 质点的达朗贝尔原理
    • 17.4 质点系的达朗贝尔原理
    • 17.5 刚体惯性力系的简化
    • 17.6 典型例题
    • 17.7 定轴转动刚体的轴承动反力
    • 17.8 达朗贝尔原理的应用
    • 17.9 本章测验
    • 17.10 课件
    • 17.11 课程思政活动设计
    • 17.12 课程思政教学建议
  • 18 第十六章 虚位移原理
    • 18.1 学习任务单(含学习目标)
    • 18.2 约束及其分类
    • 18.3 虚位移与虚功.广义坐标与自由度
    • 18.4 理想约束与虚位移原理
    • 18.5 本章测验
    • 18.6 课件
    • 18.7 课程思政活动设计
    • 18.8 课程思政教学建议
  • 19 课程评价
    • 19.1 评价方式
  • 20 教材
    • 20.1 教材
    • 20.2 参考教材
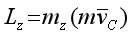
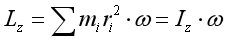
刚体系统的动量矩

教学视频


注意:本教学视频及内容仅供教学使用

本节主要内容

三.  刚体动量矩计算:

       1.平动刚体



       2.定轴转动刚体


       3.平面运动刚体