质心运动定理
上一节
下一节
教学视频
注意:本教学视频及内容仅供教学使用
本节主要内容
质心运动定理
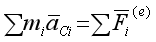
若质点系质量不变,则
或 
质点系的质量与加速度的乘积,等于作用于质点系上所有外力的矢量和(外力系的主矢)。
1.投影形式


2. 刚体系统
或

3. 质心运动定理是动量定理的另一种表现形式,与质点运动微分方程形式相似。
对于任意一个质点系, 无论它作什么形式的运动, 质点系质心的运动可以看成为一个质点的运动, 并设想把整个质点系的质量都集中在质心这个点上, 所有外力也集中作用在质心这个点上。
4.质心运动守恒

5.质心运动定理可求解两类动力学问题:
(1) 已知质点系质心的运动, 求作用于质点系的外力(包括约束反力)。
(2) 已知作用于质点系的外力,求质心的运动规律。
典型例题


拓展阅读
太空拔河胜负再分析

