动量定理
上一节
下一节
教学视频
注意:本教学视频及内容仅供教学使用
本节主要内容
动量定理
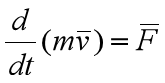
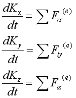
一.质点的动量定理

质点的动量对时间的导数等于作用于质点的力。
1 微分形式:
![]()
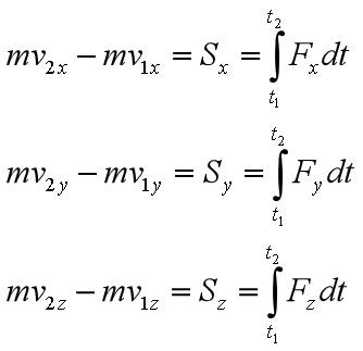
2 积分形式:

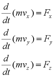
3 投影形式:


4 质点的动量守恒

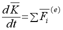
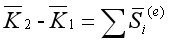
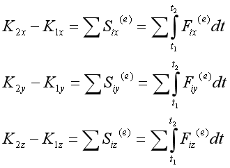
二.质点系的动量定理

质点系动量对时间的导数等于作用在质点系上所有外力的矢量和。
1.微分形式

2.积分形式

3.投影形式:


4.质点系的动量守恒

拓展阅读

