冲量
上一节
下一节
教学视频
注意:本教学视频及内容仅供教学使用
本节主要内容
动量典型例题


二.冲量
力与其作用时间的乘积称为力的冲量,冲量表示力在其作用时间内对物体作用的累积效应的度量。例如,推动车子时,较大的力作用较短的时间,与较小的力作用较长的时间,可得到同样的总效应。
1. 常力的冲量: 常力F与作用时间t 的乘积 F·t 称为常力的冲量, 并用 S 表示。

冲量是矢量,方向与力相同。
2. 变力的冲量(包括大小和方向的变化)
元冲量——力F在微小时间段dt 内的冲量称为力 F 的元冲量。

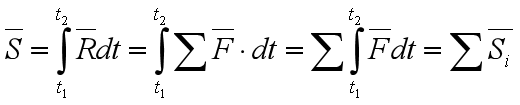
变力F在t时间间隔内的冲量为:


变力F 的冲量又可表示为:

3.合力的冲量:等于各分力冲量的矢量和.

4. 冲量的单位:与动量单位同.



