牵连运动为转动时的加速度合成定理
上一节
下一节
教学视频
注意:本教学视频及内容仅供教学使用
本节主要内容
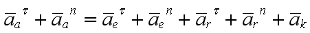
牵连运动为转动时点的加速度合成定理

当牵连运动为转动时,动点的绝对加速度等于它的牵连加速度,相对加速度和科氏加速度三者的矢量和。
一般式

一般情况下,科氏加速度的计算可以用矢积表示


拓展阅读
目录
注意:本教学视频及内容仅供教学使用
牵连运动为转动时点的加速度合成定理

当牵连运动为转动时,动点的绝对加速度等于它的牵连加速度,相对加速度和科氏加速度三者的矢量和。
一般式

一般情况下,科氏加速度的计算可以用矢积表示


拓展阅读