牵连运动为平动时的加速度合成定理
上一节
下一节
教学视频
注意:本教学视频及内容仅供教学使用
本节主要内容
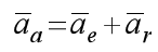
牵连运动为平动时点的加速度合成定理
![]()
即当牵连运动为平动时,动点的绝对加速度等于牵连加速度
与相对加速度的矢量和。
典型例题


目录
注意:本教学视频及内容仅供教学使用
牵连运动为平动时点的加速度合成定理
![]()
即当牵连运动为平动时,动点的绝对加速度等于牵连加速度
与相对加速度的矢量和。
典型例题

