转动刚体内各点的速度和加速度2、绕定轴转动刚体的传动问题
上一节
下一节
教学视频
注意:本教学视频及内容仅供教学使用
本节主要内容
转动刚体内各点的速度和加速度2


结论:
① v方向与w 相同时为正 , ^R ,与 R 成正比。
②各点的全加速度方向与各点转动半径夹角q 都一致, 且小于90o 。



绕定轴转动刚体的传动问题
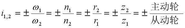
一.齿轮传动
1.内啮合



2.外啮合



二.皮带轮系传动

三.链轮系
设有: A,B,C,D,E,F,G,H 轮系,
则总传动比为:

其中m代表外啮合的个数;负号表示最后一个轮转向与第一个轮转向相反。

