平行力系的中心和物体的重心
上一节
下一节
教学视频
注意:本教学视频及内容仅供教学使用
本节主要内容
平行力系的中心和物体的重心
重心在力学及工程技术中具有重要的意义。本小节以平行力系中心为基础,引出重心概念及其计算公式。
1.平行力系中心
先以两个平行力为例,说明平行力系中心的概念
不管平行力方向如何,合力作用线总过C点,此点称为两平行力中心。
2.重心
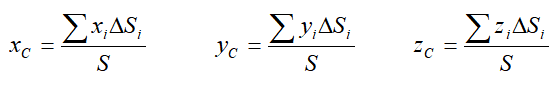
作用在一物体各质点上的重力可近似地看成是一平行力系,此平行力系中心就称为物体的重心。
若物体是均质的,则比重对于整体物体是恒量,此时重心位置与比重无关,仅决定于物体的几何形状和尺寸,故又称为物体的形心;或者说均质物体的重心与形心是重合的。

若物体是均质的等厚薄板,则公式为

3.求重心的几种方法
(1) 积分法(简单形体的形心可查表);
(2) 组合法(分割法);
(3) 负面积法(负体积法);
(4) 实验法:悬挂法、称重法。
在工程实际中,研究物体的重心有重要意义。例如工程上,转动的机械,特别是高速转子,如果重心不在其转动轴线上,将会引起强烈震动,甚至超过材料的允许强度而遭到破坏。又如船舶和高速飞行物,如重心位置设计不好,就可能引起轮船的倾覆和影响飞行物的稳定飞行等。另外起重机、水坝、挡土墙的倾覆稳定性都与各自的重心位置有关。因此在土建、机械设计中常需要计算物体中心的位置。

