中国所有146家化学发光厂家及仪器型号清单
https://mp.weixin.qq.com/s/6EgtGmA3e7Gu_hUpDksGDw
《IVD仪器地图》系列,根据NMPA,统计有效期注册证。本篇文章将重点介绍,注册证关键词中的一项:化学发光免疫分析仪。主要内容:(一)仪器概况,分类目录、概念和定义、优秀国产产品目录、注册省份分布、注册年份分布、国产进口比例;(二)厂家和产品,仪器介绍、常见检测项目、仪器发展简史、相关产品视频、厂家地域分布和名录、产品型号清单、未来发展趋势等内容。
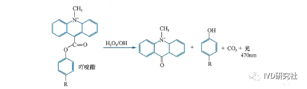
化学发光免疫分析仪,按照NMPA《医疗器械分类目录(2017年第104号)》文件,属于免疫分析设备二级分类,注册编号为:2204。而化学发光分析仪,属于2204-02。其余还有,酶联免疫分析仪器、荧光免疫分析仪器、免疫层析分析仪器、免疫印迹仪器、免疫散射浊度分析仪器、免疫分析一体机、间接免疫荧光分析仪器、生化免疫分析仪器,共9个三级分类。 化学发光免疫分析仪,是将化学发光技术与免疫反应结合,用以测定各种抗原、抗体、激素、酶、脂肪酸等标志物含量的临床检验仪器。化学发光,是化学反应中,抗原抗体结合形成的化合物,本身发光,不需要外部光源激发。而免疫反应,则是抗原和抗体的特异性结合。 化学发光,主要有以下4种分类方式。 具体地说,4种化学发光反应原理,一般经过如下反应流程。 (1)直接化学发光:吖啶酯、异鲁米诺衍生物ABEI (2)酶促化学发光:辣根过氧化物酶(HRP)、碱性磷酸酶(ALP) (3)电化学发光 (4)光激化学发光原理 免疫反应有3种方式:竞争法、夹心法、间接法。 (1)竞争法:常用于小分子检测 (2)夹心法:常用于大分子检测 (3)间接法:主要检测人体液中的抗体 那具体的发光流程,是怎样的? 是利用化学发光物质,经催化剂的催化和氧化剂的氧化,形成一个激发态的中间体,从激发态回到稳定的基态时,释放光子,发光物质发光后,由单光子检测并传输至放大器,加高压电流放大,放大器将模拟电流转化为数字电流,利用单光子计数法测量光子产量。下方两图均为单光子计数器工作原理图,能更直观理解光电信号转化的逻辑。 从宏观上,来看看化学发光免疫分析仪的系统构成。一般由6个子系统:进样系统、反应系统、信号检测系统、数据处理与输出系统、温育系统和清洗分离系统。 我们来看几张,真实的系统局部图。这些图,来自不同厂家的仪器。 (1)平面图 (2)移液系统 (3)信号测量系统 (4)温育系统 (5)清洗系统 那化学发光分析仪,常用于哪些检测项目? 据小编统计,截至2022年12月底,国内有效期内化学发光分析仪注册证,共计305张,来自146个厂家,包括进口。国产278张,占91.15%;进口27张,占8.85%。小编从几个角度,为大家揭示:地域分布、获批时间、管理类别、产品国别、代表性产品视频等。 到2022年底,国内已获批化学发光分析仪,共146个厂家(包含进口厂家9个),分布于18个省份、53个地市。化学发光分析仪企业版图以及厂家名录,见下图。化学发光龙头,按区域分布,共有3极。华南区:迈瑞、新产业、亚辉龙、普门,华中区:安图,西南区:迈克。那是否会有第4极,化学发光龙头上市公司诞生?北京或上海? 德勤报告显示,2021年国内IVD市场,按销售额计算,化学发光赛道(含试剂、仪器)规模400亿左右,市场格局如下:罗氏36%,雅培20%,贝克曼9%,西门子8%,迈瑞7%,安图5%,新产业4%,迈克2%,亚辉龙2%,其他7%。 我们来看一看,这化学发光9大家的代表性产品视频。小编向来喜欢看,上市公司的产品宣传片,把反应原理、工作流程、一些技术细节,展示得很清楚,有些还很具科幻片的感觉。再加上一些文字描述,很容易就能理解这一类产品。我们综合以下化学发光仪头部厂家视频,也能从中找到一些可供参考和学习的地方。8个视频,建议连续刷上几遍,精彩不容错过。 NO.1:罗氏 Cobas e801 NO.2:雅培 Alinity No.3:贝克曼 DXI800 (未找到视频) No.4:西门子 Atellica No.5:迈瑞 CL8000i No.6:新产业 MAGLUMI X8 No.7:安图 AutoLumo A6000 No.8:迈克 i3000 以下是目前国内市场,所有化学发光分析仪厂家和型号清单。 本文整理了化学发光分析仪、所有厂家及其型号清单。深度上,有待挖掘。下一步,在上述清单基础上,深挖一下各家仪器的技术原理、发光体系、产品优劣势等信息,或许会更有价值。化学发光赛道,不管是400亿还是500亿,到2025年市场格局是否会发生较大转变?这146家仪器厂家中,有哪些可能会被兼并?或者多家联合重组,构建一个更大的发光上市公司,形成一个新的龙头?未来有时值得期待的地方,在于很多事情的发展,会出乎我们想象。未来3~5年,化学发光这个赛道,会是个怎样的格局,让我们拭目以待。也欢迎留言探讨。 参考资料: [1] 本文核心数据:国家药监局数据查询中心,https://www.nmpa.gov.cn/datasearch/home-index.html#category=hzp [2] 中国体外诊断产业蓝皮书,2015~2020年卷 [3] 临床检验装备大全:仪器与设备 [4] 化学发光券商研报、相关上市公司招股书、年度报告等 [5] 体外诊断产业技术

