第六章 时空的扭量观点
罗杰·彭罗斯
让我首先对史蒂芬上回讲演做点评论。
·猫的经典性。史蒂芬论证道,由于时空的一定区域不能触及,我们被迫使用密度矩阵的描述。然而,这不足以解释在我们区域观察的经典性质。对应于找到或者一只活猫|活>或者一只死猫|死>的密度矩阵和描述以下两种叠加的混合的密度矩阵相同

这样,密度矩阵本身不能说,我们不是看到活猫便是死猫,或者是这两种叠加之一种。正如我试图在上一次讲演末尾所论证的,我们需要更多的。
·外尔曲率假设(WCH)。从我对史蒂芬立场的理解,我认为在这一点上我们的争议不太大。对于初始奇性外尔曲率近似为零,而终结奇性具有大的外尔曲率。史蒂芬争论道,在初始状态必须有小的量子起伏,并因此指出初始外尔曲率准确为零的假设不合理。我认为这不是真正的异议。在初始奇性的外尔曲率为零的说法是经典的,而在假设的精密叙述上肯定有商榷的余地。从我的观点,小起伏是可以接受的,在量子范畴肯定是这样的。人们还预料在早期宇宙的里奇张量(由于物质引起的)热起伏,而且它可能最终导致通过金斯不稳定性形成106太阳质量的黑洞。在这些黑洞的奇性邻近具有大的外尔曲率,但这些是终极形态而非初始形态的奇性,这些和WCH相一致。
我同意史蒂芬说的,WCH是“植物的”,也就是唯象的而不是解释的。它需要一个根本理论去解释之。哈特尔和霍金的“无边界假设”(NBP)也许是初始态结构的好的候选者。然而,我觉得我们需要某种非常不同的东西去对付终结态。特别是,一个解释奇性结构的理论必须违反T, PT, CT以及CPT,才能产生某些具有WCH性质的东西。时间失称可能是相当微妙的;它必须隐含在超越量子力学的理论的规则之中。史蒂芬论断,按照量子场论的著名定理,人们应预料理论是CPT不变的。然而,这个定理的证明中假定QFT的通常规则行得通,而且背景空间是平坦的。我认为,史蒂芬和我都同意,第二个条件不成立,而且我还相信第一个假设失败。
我还觉得,史蒂芬提出的无边界假设的观点并不能排除白洞的存在。如果我正确地理解史蒂芬的观点,那么无边界假设意味着基本上存在两种解:解(A)中从奇性出来的微扰增大,以及解(B)中微扰衰减消失。(A)基本上对应于大爆炸,而(B)描写黑洞奇性和大挤压。确定热力学第二定律的时间箭头从解(A)过渡到解(B)。然而,我看不出这个无边界假设的解释何以排除(B)类型的白洞。我担心的另一个分开的问题是“欧几里得化过程”。史蒂芬的论证依赖如下事实,即人们可以把一个欧氏解和一个洛氏解粘在一起。然而,只有对非常少数的空间人们才可以这么做,因为它们必须不但有欧氏的而且有洛氏的截面。而一般情形肯定离此很远。
扭量和扭量空间
量子场论中使用欧几里得化的真正根源在何处呢?量子场论需要把场论分解成正频和负频部分。前者沿时间前进方向传播,而后者向后传播。为了得到理论的传播子,人们需要一种把正频率(也就是正能)部分挑出来的办法。扭量理论是完成这种分解的一个不同的框架——事实上,这种分解正是扭量的一个重要的原始动机(见彭罗斯1986)。
为了仔细地解释,让我们首先考虑作为量子理论基础的复数,我们将会发现复数结构也是时空结构的基础。这些就是z=x+iy形式的数,这儿x, y为实数,而i满足i2=-1,把这种数的集合表为C。人们可以在一个平面(复平面)上把这些数表达出来,或者如果加上无限远的一点,则可在一个球面(黎曼球)上表达出来。这个球面在数学的许多领域,例如分析和几何中,是非常有用的概念,在物理学中也是如此。该球面可被投影到一个平面(和在无限远的一点)上。取一个通过球面赤道的平面,并把球面上的任意点和南极相连。这根线和平面的交点E是它在平面上的对应点。注意:在这个映射下北极跑到原点,南极跑到无限远,而实轴被映射到通过南北二极的一个垂直的圆周。我们可以旋转球面使实轴对应于赤道,我在此刻便采用这样的习惯(见图6.1)。
图6.1 黎曼球代表所有复数以及∞。
假定我们有一个实变量x的复值函数f(x)。从上面得知,我们可以把f认为是一个在赤道上定义的函数。这种观点的一个优点是,存在一个决定f为正频还是负频的自然判据:如果f(x)可在北半球上被解析开拓,则它是一个正频函数,而它若可在南半球上被开拓,则是一个负频函数。一个一般函数可分解成正负频部分。扭量理论的观念是以全局的方式把这个技术用到时空本身上去。在闵可夫斯基时空上给出一个场,我们要把它类似地分解成正负频部分。我们将要建立扭量空间,作为理解这个分解的途径(见彭罗斯和林德勒1986以及休格特和托德1985,以对扭量有更多了解)。
让我们在讨论细节之前,考虑黎曼球在物理学中的两个重要作用。
1.具有自旋
的粒子的波函数可以是“上”和“下”的一个线性叠加:
w|↑>+z|↓>。
在黎曼球上这一状态可由点z/w来代表,而且这一点对应于自旋的从中心出发和球面相交的正轴(首先归功于马约拉纳,还可参阅彭罗斯1994,他们还用黎曼球上更复杂的结构来代表更高的自旋)。这就把量子力学的复数幅度和时空结构相联系(图6.2)。
图6.2 自旋

粒子的自旋方向的空间是比z/w的黎曼球,此处w和z
分别代表向上和向下的自旋的幅度。
2.想象位于时空一点的观察者,向着太空观星。假定她在一个球面画出这些恒星的角位置。现在,如果第二个观察者同时穿过同一点,但和第一观察者之间有一相对速度,那么由于光行差效应,他会在球面上把这恒星在不同的位置画出。令人惊讶的是,球面上的点不同位置可由一个称为莫比乌斯变换的特殊变换相关联。这类变换精确地形成了维持黎曼球的复数结构的解。这样,通过一个时空点的光线空间,在一种自然意义上是黎曼球。此外,我发现它非常漂亮,联结具有不同速度观察者物理的基本对称群,也就是(受限制的)洛伦兹群,可以作为最简单的一维(复的)流形,黎曼球的自同构群而实现(见图6.3以及彭罗斯和林德勒1984)。
图6.3 在相对论中一个观察者的天球自然地成为一个黎曼球。
扭量理论的基本观念是试图开发这种在量子力学和时空结构中的联系——正如在黎曼球中所显示的——把这个观念推广到整个时空。我们将要把整个光线当成甚至比时空点更基本的对象。这样,我们把时空认为是从属的概念,而把扭量空间——原先是光线空间——认为是更基本空间。这两种空间由一种对应相关联,时空中的光线在扭量空间中用点来代表。而时空中的点用通过它的光线集合来代表。这样,时空中的一点在扭量空间中变成为一个黎曼球。我们应该把扭量空间当作按照它来描述物理的空间(图6.4)。
直到现在我所介绍的扭量空间有(实的)五维,由于复空间总是(实的)偶数维,所以扭量空间不能是复空间。如果我们把光线认为是光子历史,我们还需要计入光子的能量和螺旋度,螺旋度可以是左手或者右手。这比仅仅一道光线复杂了一些,但是其优点是我们最终可以用复的投影三空间(实的六维)CP3。这就是投影扭量空间(PT)。它具有五维的子空间PN,PN把空间PT分解成两个部分,左手部分PT-和右手部分PT+。
图6.4 在基本的扭量对应中,(闵可夫斯基)时空中的光线用(投影)扭量空间中的点来代表,而时空的点用黎曼球来代表。
现在,时空中的点由四个实数给出,而投影扭量空间以四个复数的比为坐标。如果在扭量空间中由(Z0,Z1,Z2,Z3)代表的一根光线通过时空中的点(r0,r1,r2,r3),那么它们必须满足投射关系

投射关系(6.1)提供了扭量对应的基础。
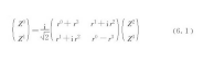
我需要引进某种二旋量记号。这是通常人们开始发生混淆之处,但是为了计算细节,这种记录极其便利。对任何四矢量ra定义量rAA′,其分量矩阵由下式给出

ra为实的条件即是rAA′为厄米的。扭量空间中的一点由如下分量的两个旋量所定义

投射关系(6.1)就变成
ω=i rπ。
应该提到的是,在原点移动之时,亦即
ra→ra-Qa,
我们有
ωA→ωA-iQAA′πA′,
此处πA′保持不变:
πA′→πA′.
扭量代表零质量粒子动量四分量pa(其中三个是独立的)以及角动量六分量Mab(其中四个与这些是独立的)。它们可被表达成

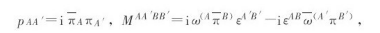
这儿括号表示对称部分,而εAB和εA′B′是斜列维西维塔符号。这些表达式体现了如下事实,即动量pa是零性的而且指向未来,而且泡利鲁班斯基自旋矢量等于螺旋度s乘以四动量。这些量把扭量变量(ωA,πA′)确定至一个整体扭量相因子。螺旋度可表为

这儿扭量Zα=(ωA,πA′)的复共轭为对偶扭量
(注意复共轭把带分号和不带分号的旋量指标相互交换,而且它把扭量和它们的对偶相交换)。这儿,s>0对应于右手粒子,也就是我们当作扭量空间的上半部PT+,而s<0对应于左手粒子,即下半部PT-。正是在s=0情形我们得到实际的光线(因此N也即光线的方程为
,也就是
)。
量子的扭量
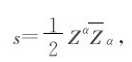
我们希望得到扭量的量子理论,为此我们必需定义扭量波函数,在扭量空间上的复值函数f(Zα)。由于Zα包含有涉及位置变量和所有动量变量的分量,而我们在一个波函数中同时使用所有这一些,所以任意函数f(Zα)不能先验地作为一个波函数。位置和动量不对易。在扭量空间中其对易关系是

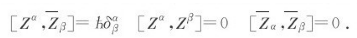
这样Zα和
为共轭变量,而波函数必须是其中的一个而不是两个变量的函数。这表明波函数必须是Zα的解析(或反解析)函数。
现在我们必须检查前述的表达式如何依赖于算符顺序。人们发现动量和角动量的表达式和次序无关,因而是正则地确定的。另一方面,螺旋度的表达式和次序有关,我们必须采用正确定义。为此我们必须取对称的积,也就是

它在Zα空间表象中,可以重新表达成

我们能把波函数分解成s的本征态。这刚好是确定的齐次性的波函数。例如,零自旋并具有零螺旋度粒子是齐次性为-2的扭量波函数。一个左手自旋
粒子具有螺旋度
,因而其扭量波函数具有齐次性-1,而这种粒子的右手版本(螺旋度
)具有齐次性-3的扭量波函数。对于自旋2的右手和左手扭量波函数,其相应的齐次性为-6和+2。
这也许显得有些向一方倾斜,因为广义相对论毕竟是左右对称的。但是自然本身是左右不对称,所以这也不见得有那么坏。此外,在广义相对论中的一个非常强有力的工具,即阿什特卡的“新变量”也是左右不对称的。有趣的是,这些不同的方式都会导致这种左右不对称性。
人们也许认为,我们只要改变
就能恢复对称性,颠倒齐次性的表,然后对一种螺旋度用Zα,另一种用
。然而,正如在通常的量子力学中,我们不能同时混合位置和动量空间表象,类似的,我们不能混合Zα和
表象。我们必须二者择一。究竟哪一个更基本尚未知。
下一步我们要得到f(Z)的时空描述。这可由围道积分来实现

此处积分是沿着投射到r的Z空间的围道进行(记住Z有ω和π两部分),而π或者α/αω的数目依场的自旋(以及手征)而定。这一方程定义了一个时空场φ……(r),它自动满足零质量粒子的场方程。这样,扭量场的解析性限制,至少对于平坦空间中的线性场,或者爱因斯坦场的弱能极限载有所有的零质量粒子的繁琐的场方程的密码。
时空中点r在几何学上是一根扭量空间中的CP1线(它是一个黎曼球)。这根线必须穿过f(Z)定义的区域。一般来说f(Z)不是处处定义的,而且具有奇性的地方(我们正是围绕着这些奇性区域对围道积分求值)。在数学上更精密地讲,一个扭量波函数是一个上同调元。为了理解它,考虑我们感兴趣的扭量空间区域的开邻域的族。扭量函数应在这些开集对的交上被定义。这表明,它是第一束上同调的一个元素。我不想仔细讨论这些,但是“束上同调”听起来怪吓人的。
回想起我们真正需要的,是和量子场论相类似,找出一种从场幅度分离正频和负频的方法。如果一个定义在PN上的扭量函数(作为第一上同调元)延拓到扭量空间的上一半PT+,它就具有正频。如果它开拓到下一半PT-上,它便具有负频。这样,扭量空间就抓住了正频的负频的概念。
这种分解允许我们在扭量空间中开展量子物理。安德鲁·霍奇斯(1982,1985,1990)利用扭量图发展了一种量子场论的手段,该图类似于时空中的费因曼图。利用这些,他得到某种非常不同寻常的使量子场论正规化的方法。这是一些在正常时空方法中人们不想采用的方案,但在扭量表象中则非常自然。另一进展是,原先起源于迈克·辛格的一个新观点(霍奇斯·彭罗斯和辛格1989)也受到共形场论(CFT)的刺激。史蒂芬在他第一次讲演中对弦理论进行了一些非常贬意的评论,但是我认为CFT,作为弦理论在世界片上的场论是非常漂亮的(虽然不全部是物理的)理论。它是被定义在任意的黎曼面上(黎曼球是其中最简单的例子,但是其中包括所有一复数维的诸如圆环和“扭结麻花”的流形)。对于扭量我们需要把CFT推广到具有三复数维的流形,其边界为许多片PN(也就是时空中的光线空间)。这个领域的研究正在进行之中,但是还进展得不快。
弯曲空间的扭量
我们迄今所做的一切只和平坦时空相关,但是我们知道时空是弯曲的;我们需要一种扭量理论,它可适用于弯曲时空,并以自然的方式重新导出爱因斯坦方程。
如果时空流形是共形平坦的(或者换句话说,如果它的外尔张量为零),则用扭量来描写这个空间没有任何问题,因为扭量理论基本上是共形不变的。还存在一些适用于各种共形不平坦时空的扭量观念,譬如准定域质量的定义(彭罗斯1982;参阅托德1990),以及伍德豪斯梅森(1988;还可参见弗莱彻和伍德豪斯1990)对稳态轴对称真空的构造(这是基于沃德1977年的在平坦时空上反自对偶杨-米尔斯场的构造;还可参阅沃德1983);这是应用在可积分系统的非常一般的扭量方法的一部分(参阅即将出版的梅森和伍德豪斯的书1996)。
然而,我们希望能够对付更一般的时空。对于一个具有反自对偶外尔张量(也就是外尔张量的自对偶一半为零)的复化(或欧氏化)的时空M,存在一个构造——所谓的非线性引力子构造——能充分地讨论这个问题(彭罗斯1976)。让我们看这是怎么进行的。取一根线的管状领域,或者类似的某些东西(例如上一半或正频部分PT+)组成的扭量空间的一部分,而且把它切成二个或更多个小块,然后把它们粘在一块,只不过相对之间移动一些。一般来说,在原先空间P中的直线在新空间中p断开。然而我们能寻找新的解析曲线去取代原先(现在断的)直线,假定这些曲线光滑地接在一起。假定从P到p的变形不是太大,用这种办法得到的解析曲线和原先的线——属于同样的拓扑的族——形成一个四维的族。代表这些解析曲线的点的空间是我们反自对偶(复的)“时空”M(图6.5)。现在我们能把爱因斯坦真空方程(里奇平坦性)编码成必须是在投影线CP1上的一个解析纤维化的条件(以及其他一些缓和条件)。只要把p和P变形表达成自由解析函数就可以达到这一切,而在原则上弯曲时空M的所有信息都被编码在这些函数之中(虽然在p上找到所需要的解析曲线可能是很困难的)。
图6.5 非线性引力子构造。
我们真正要解完整的爱因斯坦方程(而上面的构造只解决了减缩的问题,由于外尔张量的一半为零),但是这问题显然是困难的,在过去的20年间许多尝试都失败了。然而,我在前几年尝试一种新的方法(参阅彭罗斯1992)。虽然我还没有解决这个问题,但是看起来是迄今最有希望的方法。人们发现在扭量和爱因斯坦方程之中确有深刻的关系。从下面的两个观察中可以看到这一点:
1.爱因斯坦真空方程Rab=0也是具有螺旋度
的零质量场的和谐条件(当该场按照势给出时)。
2.在平坦时空中
场的荷的空间刚好是扭量空间。大体上可以如下实现这个规划:给定一个里奇平坦时空(也就是Rab=0),人们必须去找在它上面的
的场的荷空间(这不是轻而易举的事情)。这就是该里奇平坦时空的扭量空间。第二步是利用自由解析函数去建造这样的扭量空间,最后,在每种情形下从这个扭量空间重建原先的时空流形。
我们预料到这个扭量空间不是线性的,因为当我们重建时空时,它必须给出弯曲的结构。此外,由于无论是
场的荷还是它的势都是非定域的,所以这种构造必然是以一种微妙的方式高度地非定域的。可以预料到这有助于解释诸如在我上一次讲演(第四章)中讨论的爱因斯坦帕多尔斯基罗逊实验的非定域物理。这些实验表明,在时空中距离遥远的物体可以某种方式相互“纠缠”在一起。
扭量宇宙学
我想对宇宙学和扭量作一些评论以结束这次讲演,虽然它是相当尝试性的。我说过,在过去奇性处外尔曲率张量必须为零,而且时空在那儿必须几乎是共形平坦的。这表明,初始态的扭量描述非常简单。随着时间的推进,这个描述将越来越复杂,而外尔曲率变得越发浓密。这种类型的行为和在宇宙几何中观察到的时间非对称相一致。
从扭量理论的复解析观念出发,更倾向于一个k<0的导致开放宇宙的大爆炸(史蒂芬更倾向于一个闭合的宇宙)。其原因是只有在一个k<0的宇宙中,初始奇性的对称群是一个解析群,也就是刚好是黎曼球CP1的解析自变换的莫比乌斯群(也就是限制的洛伦兹群)。这正是开创扭量理论的同样的群。因此,为了扭量观念的原因,我肯定倾心于k<0。由于这只不过是基于观念之上,倘若将来发现宇宙事实上是闭合的,我当然可能收回这种看法!
问答
问:螺旋度
态有什么物理意义?
答:这个方法的自旋
没有实际的物理场,不如说是为了定义扭量引进的辅助场。我认为它不是人们能够发现的粒子场。另一方面,从超对称的观点看,它是引力子的超伴侣。
问:在扭量观点中,你上次讲的时间非对称的R过程在何处出现?
答:你必须意识到,扭量理论是一种非常保守的理论,它还没有触及到这个问题。我非常希望看到在扭量理论中出现时间非对称,但是在此刻我不知道从何而来。然而,如果人们完全实现这个规划,它肯定会出现,也许以一种和右/左反对称那样类似的模糊方式出现。还有,安德鲁·霍奇斯的正规化方案的方法在技术上引进了时间非对称,但是关于这一点尘埃尚未落定。
问:哪种非线性的量子场论最和扭量理论贴切?
答:迄今(在扭量规划的框架中)主要分析了标准模型。
问:弦理论显明地预言了粒子的谱。这出现在扭量理论的何处?
答:我不知道粒子谱最终如何出现,虽然关于这一点已有一些线索。无论如何,我很高兴获知弦理论“显明地预言了粒子谱”。我的观点是直到我们在扭量框架中理解了广义相对论后,我们才能解决这个问题,因为质量和广义相对论关系紧密。但是,在某种意义上,这也是弦理论的观点。
问:什么是扭量理论关于连续/非连续的观点?
答:扭量理论的另一早期动机是自旋网络的理论,在这种理论中人们努力从分立的组合的量子规则建立起空间。人们也可以从分立的东西建立起扭量理论。然而,这么多年来,潮流已经从组合方法移到解析方法,但是这并不表明分立观点是劣等的。也许在分立概念和解析观念中存在深刻的联系,但是这一点还没有以任何清晰的方式显露出来。