第一章 经典理论
史蒂芬·霍金
罗杰·彭罗斯和我将在这些讲演中发表我们关于时空本性的相关的但是相当不同的观点。我们将交替讲演,每人讲三次,最后是有关我们不同方法的讨论。我应当在此强调,这些讲演是相当技术性的。假定听者具有广义相对论和量子理论的基本知识。
里查德·费因曼写过一篇短文,描述他参加广义相对论会议的经验。我想那是1962年在华沙召开的会议。他对与会者的能力以及文不对题非常瞧不起。此后不久广义相对论的声望扶摇而上,并引起广泛兴趣,这应大大地归功于罗杰的研究贡献。在此之前,广义相对论被表达成在单独坐标系统下的一堆繁复的偏微分方程。人们在找到一种解后即欢欣鼓舞,根本不在乎其是否在物理学上有意义。然而,罗杰引起了诸如旋量和全局方法的现代概念。他首先指出,不必准确地解方程,即能发现一般性质。正是他的第一道奇性定理引导我去研究因果性结构并刺激我有关奇性和黑洞的经典研究的灵感。
我认为罗杰和我在经典工作方面的观点相当一致。然而,我们在量子引力,或者毋宁说量子理论本身的研究上分道扬镳。虽然我因为提出过量子相干性丧失的可能性,而被粒子物理学家们认定为危险的激进主义者,但和罗杰相比,肯定只能算作保守主义者。我采取实证主义的观点,物理理论只不过是一种数学模型,询问它是否和实在相对应是毫无意义的。人们所能寻求的是其预言应与观察的一致。我以为罗杰内心自认为是位柏拉图主义者,这要由他自己承认才算。
虽然有人提出,时空可以有分立结构,我看不出有任何理由应当抛弃连续的理论,因为它曾经是这样的成功。广义相对论是一项漂亮的理论,它和迄今进行的所有观察都符合。它也许在普朗克尺度下需要修正,但是我认为这不会影响由它作出的许多预言。它也许只不过是某种更基本理论的低能近似,比如说弦理论,但是我认为弦理论被过分兜售。首先,人们不清楚,广义相对论和超引力中的其他各种场相结合时,是否能给出有意义的量子理论。关于超引力死亡的报道极尽夸张之能事。第一年所有人都相信超引力是有限的。下一年时尚变更,所有人又都说超引力肯定有发散,虽然迄今没有人真正找到这种发散。我不讨论弦理论的第二种原因是,弦理论没有做过任何可以检验的预言。与此成鲜明对比的是,我将要讲到的,量子理论广义相对论的直接应用已经作出了两项可以检验的预言。其中的一项预言是,在暴涨期的小微扰的发展似乎已为最近观察到的微波背景的起伏所证实。另一项预言,黑洞应当热辐射,在原则上是可以检验的。我们所要做的一切是去发现太初黑洞。可惜的是,周围似乎没有很多。如果有的话,我们就知道如何量子化引力。
甚至如果弦理论真的是自然的终级理论,那么这些预言也没有一个要被改变。但是弦理论,至少在它目前的发展阶段上,除了声称广义相对论为它的低能有效理论外,根本做不出这些预言。我怀疑这种情形将会一成不变,弦理论也许永远做不出广义相对论或者超引力所做不出的预言。如果果真如此,人们就怀疑,弦理论是否为一种真正的科学理论。没有特别的可以在观测上检验的预言,光是数学上的漂亮和完备是否就已经足够了?况且,现阶段弦理论既不漂亮也不完备。
由于这些原因,我将在这些讲演中讨论广义相对论。我将集中于两个领域,在这两个领域引力似乎引起和其他场论完全不同的特点。第一个是引力使时空具有一个开端也许还具有一个终点的观念。第二个是似乎存在不同于粗粒化产生的内禀的引力熵的发现。某些人声称,这些预言不过是半经典近似的人为的产物。他们说,弦理论也就是真正的量子引力论,将会抹平这种奇性并对黑洞辐射引进相干性,因此在粗粒化含义上它只不过是近似热性的。如果情形果真如此,则是相当无趣的。引力就和其他场相类似。但是,我相信,它是显著不同的,因为它自己形成供自己表演的舞台,而不像其他的场一样,只不过是在固定的时空背景中表演。也正因为如此才导致时间具有开端的可能性。它还导致宇宙中观测不到的区域所引出的我们无法度量的引力熵的概念。
我在这次讲演中回顾经典广义相对论中导致这些观念的工作。我在第二次和第三次讲演(第三章和第五章)中将指出,进入量子理论后,它们将如何被改变被推广。我的第二次讲演是关于黑洞的,而第三次是关于量子宇宙学。
罗杰为研究奇性和黑洞引进了关键的技巧,我也助他一臂之力,这就是时空大尺度因果性结构的学问。I+(p)被定义为时空M的纵点p可用未来指向的类时曲线到达所有点的集合(见图1.1)。人们可把I+(p)认为是所有会被在p处发生之事件所影响的事件的集合。另一类似的定义是把加号换成负号,未来换成过去。我把这种定义认为是自明的。
图1.1 点p的时序将来
我们现在考虑一个集合S的未来的边界I+(S)。可以相当容易看出,这个世界不能是类时的。因为在这种情形下,一个恰好在边界之外的点可以是一个恰好在里面的点p的未来。未来的边界也不能是类空的,除了刚好在集S上的除外,因为在那处情形下,从刚好在边界未来出发的每一根过去指向的曲线都会穿越过边界并且离开S的未来,这就和q是在S未来中的事实相冲突(图1.2)。
图1.2 时序将来的边界既不能是类时的也不能是类空的。
所以人们可以得到结论,除了集S本身之外未来边界是零性的。更精确地说,如果q是在该未来的边界但是不在S的闭包上,则存在一根通过q并落在边界上的过去指向的零性测地线段(见图1.3)。也可能存在不止一根通过q的落在边界上的零性测地线段,但是在那种情形下,q将是该线段的未来端点。换句话说,S的未来的边界是由这种零性测地线生成的,这种零性测地线在边界上有未来端点,如果它们和其他的生成元相交的话将要进入未来的内部。另一方面,该测地线只能在S上才有过去端点。然而,存在这样的时空,其中一个集合S的未来的边界的生成元永远不和S相交。这种生成元不能有过去端点。

图1.3 上:点q落在未来边界上,所以在边界上通过q存在一根零性测地线段。下:如果存在不止一根这种线段,则点q将是它们的未来端点。
一个简单的例子是在闵可夫斯基空间中把一根水平线段移走(见图1.4)。如果集S落在这根水平线的过去,该线就会投下一个阴影,并且存在刚好在该线将来的点,这些点不在S的未来。存在S的未来的边界的一根生成元,它返回到该水平线的端点上。然而,因为水平线的端点已从时空中移走,这根边界的生成元就没有过去的终点。这个时空是不完整的,但是人们把在水平线端点附近的度规乘上一个适当的共形因子,就可以挽救它。尽管类似这样的空间是非常人为的,但是,在提醒你在研究因果性结构时必须谨慎方面,这些例子十分重要。事实上,罗杰·彭罗斯在担任我的一位博士论文考官时指出,一个类似我刚才描述的空间,正是我在论文中作的某些断言的反例。
图1.4 由于从闵可夫斯基空间移走了一根线,集S的未来的边界具有一根没有过去端点的生成元。
为了指出未来的边界的生成元具有在该集上的一个过去端点,人们必须在因果性结构上附加某种全局的条件。最强的也是物理上最重要的条件便是全局双曲性。一个开集U如果满足如下条件,便被称为全局双曲的:
1.在U中的任何一对点p和q, p的未来和q的过去的交集具有紧致的闭包。换言之,它是一个有界的金刚石形状的区域(图1.5)。
图1.5 p过去和q未来交集具有紧致的闭包
2.在U上强因果性成立。也就是说,在U中不包含闭合的或者几乎闭合的类时曲线。
可以从以下事实看到全局双曲性的物理意义,对于U存在一族柯西面∑(t)(见图1.6)。U的一个柯西面是和U中的每一根类时曲线相交一次并仅仅一次的类空的或零性的曲面。人们从柯西面上的数据可以预言在U所要发生的事件,而且人们在一个全局双曲的背景下可以表述行为良好的量子场论。人们在一个非全局双曲的背景下能否表述一种有意义的量子场论,这一点尚未清楚。这样全局双曲性也许在物理上是必须的。但是,我的观点是我们不应这么假想,因为这样做也许会排除掉引力要告诉我们的某种东西。我们宁愿从其他物理上合理的假设推导出时空的某些区域是全局双曲的。
图1.6 U的一族柯西面
由下面的论证可以得知全局双曲性对奇性定理的意义。设想U是全局双曲的,p和q为U中的可被类时或零性曲线连接起来的两点。那么,在p和q之间存在一根类时的或零性的测地线,它的长度在所有从p到q的类时或零性曲线中取极大值(图1.7)。证明的方法是指出,所有从p到q的类时或零性曲线的空间在一定的拓扑下是紧致的。然后再指出在这个空间中曲线的长度是上端半连续的函数。所以,它必须到达其极大值,而且其极大长度的曲线将是一根测地线,因为否则的话,一个小变分就会给出更长的曲线。
图1.7 在全局双曲空间中,存在一根测地线,它的长度在所有两点的类时或零性曲线中取极大值。
现在人们可以考虑测地线γ长度的第二阶变分。可以指出,如果存在一根无限邻近的从p出发的测地线,它在p和q之间的一点r处和γ相交,则点r就被称作和p共轭(图1.8)。人们可以用地球表面上的两点p和q来阐述它。人们能不失一般性地把北极当作p点。因为地球具有正定的度规,而非洛伦兹度规,因此存在极小长度的测地线,而非极大长度的测地线。这根极小测地线是从北极跑到点q的一根经线。但是从p到q还存在另一根测地线,它从北极在背后跑到南极再回到q。这根测地线包含有南极这一点作为p的共轭点,所有从北极出发的测地线都在南极相交。在小变分的情形下两根从p到q的测地线都是长度的稳定点。但是在现在正定度规的情形下,一根包含有共轭点的测地线的二阶变分能给出从p到q的更短的曲线。这样,在地球的例子中,我们推导出,从后面下来到南极再返上来的那根测地线,不是从p到q的最短的曲线。这个例子是非常显明的。然而,在时空的情形,人们应指出在某种假定下,应当存在一个全局双曲的区域,在该区域中两点之间的每一根测地线上应当存在共轭点。这就导致一个冲突,它表明被当作非奇性时空定义的测地线完整性的假设是错误的。
图1.8 左:如果在测地线上的p和q之间存在有共轭点r,它就不是具有极小长度的测地线。右:从p到q的非极小测地线在其南极具有共轭点。
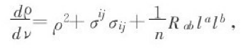
人们在时空中得到共轭点的原因是,引力是吸引力。所以它以这样的方式使时空弯曲,邻近的测地线向相互方向弯折而不是离开。人们从雷乔德符里或纽曼-彭罗斯方程可以看到这一点,我以统一的方式将这方程写在下面
雷乔德符里-纽曼-彭罗斯方程

此处 n=2适用于零性测地线,
n=3适用于类时测地线。
此处ν是沿着一簇测地线的仿射参量,其切矢量la是超面正交的。量ρ是测地线平均收敛率,σ是切变的测度。项Rab lalb是物质对测地线收敛的直接引力效应。
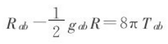
爱因斯坦方程

弱能量条件
Tabνaνb≥0
对任何类时矢量νa成立。
按照爱因斯坦方程,如果物质服从所谓的弱能量条件,则对于任何零性矢量la,这一项将是非负的。这是说,能量密度T00在任何坐标系中都是非负的。任何合理的物质,比如讲标量场或者电磁场或者具有合理状态方程的流体的经典能动量张量都符合弱能量条件。然而,能动量张量的量子力学平均值可能局部地违反这个条件。这会在我的第二次和第三次讲演(第三章和第五章)中涉及。
假设弱能量条件成立,而且从点p出发的零性测地线开始再次收敛,还有ρ在那儿具有正值ρ0,那么,纽曼-彭罗斯方程意味着,收敛率ρ会在仿射参数距离
之内的一点q处变成无穷大,如果零性测地线能延展到那么远的话。
如果在ν=ν0处ρ=ρ0,那么
.这样,在ν=ν0+ρ0-1之前应存在一个共轭点。
从p出发的无限邻近的测地线将在q处相交。这表明沿着连接它们的零性测地线点q和p相共轭。对于在比点q更远的γ上的点,由γ的变分可得到从ρ出发的一根类时曲线。这样在比共轭点q更远处,γ不能落在ρ的未来的边界上,因此作为ρ的未来的边界的一个生成元γ将有一个未来的端点(图1.9)。
类时测地线的情形很类似,除了强能量条件所要求的,对于任何类时矢量la, Rab lalb必须非负。顾名思义,这个条件相当苛刻。然而,在经典理论中,至少在平均的意义上,它仍然在物理上是合理的。如果强能量条件成立,而且从p出发的类时测地线开始重新收敛,则存在一点q和p相共轭。
图1.9 沿着零性测地线点q和p相共轭,所以连接p和q的零性测地线将在q处离开p的未来的边界。
强能量条件

最后,存在一般能量条件。它首先说强能量条件成立。其次,每一根类时或零性测地线都会遭遇到某一点,在该处存在某种曲率,它不和测地线构成特定的配置方向。很多已知的准确解不能满足一般能量条件。人们可以预料,在适当的意义上的“一般的”解满足这个条件。如果一般能量条件成立,每根测地线将会遭遇到引力聚焦的一个区域。这就意味着如果测地线能在每个方向都延伸得足够远,则存在一对共轭点。
一般能量条件
1.强能量条件成立。
2.每根类时或零性测地线包含有一点,在那儿
l[aR b]cd[el f]lcld≠0。
人们通常会把时空奇性当作曲率变成无限大的一个区域。然而,把它当作定义的麻烦在于,人们可以除去奇点,而且声称所余下的流形是时空整体。所以,把时空定义成度规适当光滑的最大的流形更好。然后人们可以由存在不能被延伸到仿射参量无限值的非完整测地线的事实,来认证奇性的发生。
奇性定义
如果一个时空是类时或零性测地不完整而且不能被嵌入到一个更大的时空中,则它是奇性的。
这个定义反映了奇性的最令人讨厌的特点,即存在其历史在有限时间内具有开端或终结的粒子。可以找到在曲率保持有限时发生测地不完整性的例子。但是一般地讲,沿着非完整测地线曲率会发散。如果人们要求助量子效应去解决在经典广义相对论中的奇性引起的问题,这一点是重要的。
彭罗斯和我在1965到1970年间利用我描述的技巧证明了一系列奇性定理。这些定理有三类条件。首先是诸如弱、强或一般能量条件的能量条件。然后是因果性结构上的某种全局条件,比如讲不应该有任何闭合类时曲线。最后,还有某种条件,那就是在某一区域引力是如此强大,以致于没有任何东西可以逃逸。
奇性定理
1.能量条件。
2.全局结构条件。
3.引力强到足以捕获一个区域。
第三个条件可以不同的方式来表达。一种方法是宇宙的空间截面是闭合的,这样就没有可以逃逸出去的外界区域。另一种方法是存在所谓的闭合捕获面。这是一个闭合的二维面,不论是向内的还是向外的与其垂直的零性测地线都是收敛的(图1.10)。通常情况下,如果你在闵可夫斯基空间有一球形的二维面,向内的零性测地线是收敛的,但是向外的则是发散的。但是在恒星的坍缩中,引力场可能强到使光锥都朝里倾斜。这意味着甚至向外的零测地线也是收敛的。
图1.10 在正常闭合面上,从该面出发的向外零性射线发散,而向内射线收敛。在闭合捕获面上,无论是向内还是向外的零性射线都收敛。
各种奇性定理指出,如果这三类条件的不同组合成立,时空必须是类空或零性测地线不完整的。如果人们强化其中两个条件就能弱化第三个条件。我将在描述霍金彭罗斯定理时阐明这一点。它要求一般能量条件,也就是三个能量条件中最强的。其全局条件相当弱,不应该存在闭合的类时曲线。而非逃逸条件是最一般的,即存在一个捕获面或者闭合的类空三维面。
为了简单起见,我只对一个闭合类空三维面S的情形概述其证明。人们可以把未来柯西发展D+(S)定义成点p的区域,从p点出发的每一根过去指向的类时曲线都与S相交(图1.11)。柯西发展便是能从S上的数据预言的时空区域。现在假定未来发展是紧致的。这表明柯西发展具有未来边界H+(S),它称作柯西视界。利用类似于用在一个点的未来的边界的论证,可以得知,柯西视界是由没有过去端点的零性测地线生成的。然而,由于假定柯西发展是紧致的,其柯西视界也应是紧致的。这表明,该零性测地线将在一个紧致集中不断环绕。它们将趋近于一根极限的零性测地线λ,λ在柯西视界中不具有过去或者将来的端点(图1.12)。但是如果λ是测地线完整的,则一般能量条件将意味着它会包含一对共轭点p和q。λ上的在p和q以远的点可由类空曲线来连接。但是这会导致矛盾,因为柯西视界上的任何两点都不能是类时分隔的。所以或者λ不能是测地完整的,也就是定理已被证明,或者S的未来柯西发展不能是紧致的。
图1.11 集S的未来柯西发展以及它的未来边界,柯西视界H+(S)。
图1.12 在柯西视界上存在一根极限零性测地线λ,它在柯西视界上没有过去或未来端点。
可以指出,在后一种情形下,存在一根从S出发的未来指向的类时曲线γ,它永远不会离开S的未来柯西发展。由相当类似的论证可以指出,γ可以向过去的方向延长成永远不会离开过去柯西发展D-(S)的曲线(图1.13)。现在考虑在γ上向过去排列的一串点xn,以及向将来排列的类似一串点yn。对于每一个n,点xn和yn都是类时相隔而且在S的全局双曲柯西发展之中。因此,存在从xn到yn的一根极大长度的类时测地线λn。所有λn都会穿越紧致的类空面S。这意味着,在柯西发展中存在一根类时测地线λ,λ是类时测地线λn的极限(图1.14)。要么λ是非完整的,这种情形下定理即被证明了,要么由于一般能量条件,它包含有共轭点。但是在那种情形,只要n足够大,λn就包含有共轭点。这就导致矛盾,因为λn被假定为具有极大长度的曲线。所以人们可以得出结论,时空是类时或零性测地线不完整的。换句话说,存在有奇性。
图1.13 如果未来(过去)柯西发展不是紧致的,则存在从S出发的未来(过去)指向的类时曲线,它永远不会离开未来(过去)柯西发展。
图1.14 作为γn极限的测地线λ必须是非完整的,因为否则的话它就包含有共轭点。
这些定理在两种情形下预言奇性。第一种是在恒星和其他重质量物体的引力坍缩的未来。这些奇性便是时间的终点,至少对于沿着该不完整测地线上运动的粒子而言是这样的。预言奇性的另一种情形是在过去,在宇宙现在膨胀的开端。过去有些人(主要是俄国人)论断说,过去曾经有过收缩相,它以非奇性的形式反弹到膨胀阶段。在第二种情形所预言的奇性,使这些人放弃了他们的观点。现在几乎人人都相信,宇宙以及时间本身在大爆炸处有一开端。这个发现比发现各种非稳定的粒子重要得多了,但是它还没重要到能赢得诺贝尔奖的青睐。
奇性的预言意味着经典广义相对论不是一个完整的理论。因为奇点必须从时空流形中切割掉,所以人们不能在那儿定义场方程,也不能预料到从一个奇点会冒出什么东西来。鉴于存在过去的这一奇点,对付这一问题的唯一办法似乎是要借助于量子引力。
我将在第三次讲演再回到这上面来(第五章)。但是被预言在未来的奇性似乎具有彭罗斯称之为宇宙监督的性质。那是说,它们很轻易地在一些像在黑洞中躲开外界观察者的地方发生。这样,在这些奇点处可能发生的任何可预见性的失效都不会影响到外界世界所发生的,至少按照经典理论来说是这样的。
宇宙监督
自然憎恶裸奇点。
然而,正如我将在下一次讲演所要指出的,在量子理论中存在不可预见性。这是和引力场具有内禀熵有关,这种熵不是由粗粒化所引起的。引力熵以及时间有一开端,也许还有个终结,是我讲演的两个主题,因为这是引力显著地区别于其他物理场的方式。
引力具有一个和熵行为类似的量的事实是首次在纯粹经典理论中注意到的。它依据于彭罗斯的宇宙监督猜测。这是未被证明的,但是人们相信,对于适度一般的初始数据以及状态方程,它是正确的。我要使用宇宙监督的弱形式。人们把围绕坍缩星的周围区域近似成渐近平坦的。那么,正如彭罗斯指出的,可以把该时空共形地嵌入到一个具有边界
的流形中去(图1.15)。其边界αM将为一个零性面,并且包括两个部分,即称作I+和I-的未来和过去零性无穷。如果两个条件满足的话,则我就说弱宇宙监督成立。首先,假定I-的零性测地线生成元是在一定共形的度规中完整的。这就意味着,远离坍缩的观察者能活得足够老,而不被从坍缩星发出的霹雳奇性所摧毁。其次是假设,I+的过去是全局双曲的。这表明没有从大距离能看到的裸奇性。在彭罗斯的更强的宇宙监督中假设整个时空是全局双曲的,但是弱形式对我的目的已经足够。
弱宇宙监督
1.I+和I-是完整的。
2.I-(I+)是全局双曲的。
如果弱宇宙监督成立的话,则被预言的在引力坍缩中发生的奇性就从I+看不到。这就意味着时空中必须有一区域,它不在I+的过去中。因为光或者任何东西都不能从这个区域逃逸到无穷去,所以它被称为黑洞。黑洞区域的边界被称为事件视界。因为它也是I+的过去的边界,事件视界由零性测地线段所生成,这线段可有过去端点,但是不能有任何未来端点。这样,如果弱能量条件成立的话,视界的生成元就不能收敛。因为如果它们收敛的话,它们将在有限的距离内相交。
图1.15 坍缩星被共形地嵌入到一个具有边界的流形中。
这意味着事件视界的截面积永远不能随时间减小,而且一般地讲会增大。此外,如果两个黑洞碰撞并且合并到一起,最终黑洞的面积会比原先黑洞的面积和更大(图1.16)。这和遵照热力学第二定律的熵的行为非常相似。熵永不减小而且总系统的熵比它组成部分的熵的总和更大。
图1.16 当我们把物质抛入黑洞,或者允许两个黑洞合并时,事件视界的总面积永不减小。
黑洞力学第二定律
δA≥0
热力学第二定律
δS≥0
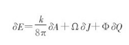
黑洞力学第一定律

热力学第一定律
δE=TδS+PδV
所谓的黑洞力学第一定律和热力学的相似性愈益明显。该定律把黑洞事件视界面积的改变,其角动量和电荷的改变,与它质量的改变联系起来。人们把这些和热力学第一定律相比较,热力学第一定律按照系统熵的改变和外力对它所作的功给出内能的改变。人们看到,如果事件视界的面积类似于熵,则类似于温度的量便是黑洞的所谓的表面引力k。它是在事件水平上引力场强度的测度。所谓的黑洞力学第零定律,和热力学的相似性更加明显:一个与时间无关的黑洞的事件水平的表面引力处处相等。
黑洞力学第零定律
一个与时间无关的黑洞的视界上的k处处相等。
热力学第零定律
一个处于热平衡的系统的T处处相等。
在1972年柏肯斯坦受到这些相似性的鼓励,提出事件视界的某个倍数实际上是黑洞的熵。他提议推广的第二定律:黑洞熵和它外面的物质熵的和永远不减小。
推广的第二定律
δ(S+cA)≥0
然而,这个建议不是协调的。如果黑洞具有与视界面积成正比的熵,则也应有与表面引力成正比的非零温度。考虑一个黑洞,让它和具有比黑洞更低温的热辐射相接触(图1.17)。因为根据经典理论任何东西都不能逃出黑洞,所以黑洞将吸收一些辐射而不能发射出任何东西。这样,人们就发现热量从低温的热辐射向高温的黑洞流动。因为热幅射的熵损失比黑洞的熵增加更大,所以就违反了推广的第二定律。然而,正如我们将在我下次讲演中看到的,当人们发现黑洞发射出完全热性的辐射时,协调性就被恢复了。这个结果实在太漂亮了,它不可能是一种偶合,或者仅仅是一种近似。这样看来,黑洞的的确确具有内禀引力熵。正如我即将指出的,这与黑洞的非平凡拓扑相关。内禀熵意味着引力引进了一种更高水平的不可预见性,它超越于通常和量子理论相关的不确定性之上。这样当爱因斯坦讲“上帝不掷骰子”时,他错了。对黑洞的思索向人们提示,上帝不仅掷骰子,而且有时还把骰子掷到人们看不到的地方去,使人们迷惑不已(图1.18)。
图1.17 黑洞在和热辐射接触时会吸收一些辐射,但是在经典水平上不能发射出任何东西。
图1.18