-
1.1《爱因斯坦文集》序
-
1.2自述
-
1.3自述片断
-
1.4失业的痛苦和探索自然界统一性的乐趣——1901年4月14日给M.格罗斯曼的信
-
1.5生活的一个侧面——1903年1月给贝索的信
-
1.5.1附录一:《爱因斯坦给M.贝索的信选译》选编说明
-
1.5.2附录二:贝索,爱因斯坦最亲密的朋友——《爱因斯坦给M.贝索的信选译》编后记
-
1.61905年春天的四项研究——1905年5月给C.哈比希特的信
-
1.7论我们关于辐射的本质和组成的观点的发展
-
1.8也许量子问题的答案就藏在这里——1909年12月31日给贝索的信
-
1.9关于比热理论——1911年5月13日给贝索的信
-
1.10对第一次索耳未会议的印象——1911年12月26日给贝索的信
-
1.11红外线的吸收及其他——1912年2月4日给贝索的信
-
1.12作为研究者的麦克斯·普朗克
-
1.13相对论的引力论和马赫原理——1913年6月25日给E.马赫的信
-
1.14物理学家对引力论的态度——1913年底给贝索的信
-
1.15我不怀疑引力理论的正确性——1914年3月给贝索的信
-
1.16理论物理学的原理——在普鲁士科学院的就职讲话
-
1.17评H.A.洛伦兹的《相对性原理》
-
1.18科学方面两个好消息——1915年2月12日给贝索的信
-
1.19关于广义相对论——1915年11月28日给A.索末菲的信
-
1.20如今实现了最大胆的梦想——1915年12月10日给贝索的信
-
1.21关于广义相对论——1915年12月21日给贝索的信
-
1.22引力论获得巨大成功——1916年1月3日给贝索的信
-
1.23恩斯特·马赫
-
1.24关于有限宇宙的设想——1916年5月14日给贝索的信
-
1.25悼念卡尔·施瓦兹希耳德
-
1.26关于辐射的量子理论——1916年8月11日给贝索的信
-
1.27续论辐射的量子论——1916年8月24日给贝索的信
-
1.28可以肯定光量子的存在——1916年9月6日给贝索的信
-
1.29空间和时间的客观意义之所在——1916年10月31日给贝索的信
-
1.30为什么要提出闭合空间的假设——1916年12月中旬给贝索的信
-
1.31《狭义与广义相对论浅说》中的一个片断
-
1.31.1几何学命题的物理意义
-
1.32爱因斯坦给德西特的信(1916—1918年)——卡拉·卡恩和弗朗兹·卡恩报道
-
1.33关于宇宙学和其他——1917年3月9日给贝索的信
-
1.34对马赫的看法——1917年5月13日给贝索的信
-
1.34.1附:贝索1917年5月5日给爱因斯坦的信
-
1.35关于辐射量子的实在性和广义相对论的能量原理——1918年7月29日给贝索的信
-
1.36马里安·冯·斯莫卢霍夫斯基
-
1.37探索的动机——在普朗克六十岁生日庆祝会上的讲话
-
1.38康德的《绪论》读后感——1918年6—7月间给M.玻恩的信
-
1.39关于魏耳的理论和宇宙学问题——1918年8月20日给贝索的信
-
1.40理论必须以经验事实为依据——1918年8月28日给贝索的信
-
1.41黎曼几何也有它在地球上的起源——1918年9月8日给贝索的信
-
1.42应当对量子论的成功感到羞愧——1919年6月4日给M.玻恩的信
-
1.43什么是相对论?
-
1.44关于魏耳理论及其他——1919年12月12日给贝索的信
-
1.45不愿意放弃完全的因果性——1920年1月27日给M.玻恩的信
-
1.46理论和实验——《狭义与广义相对论浅说》德文第10版附录
-
1.47相对论的认识论观点以及闭合空间问题——1920年4月24日给M.索洛文的信
-
1.48以太和相对论
-
1.49我对反相对论公司的答复
-
1.50对“反相对论公司”的斗争——1920年9月6日给A.索末菲的信
-
1.50.1附:A.索末菲1920年9月3日给爱因斯坦的信
-
1.51对几种统一场论的评价——1922年6月6日给H.魏耳的信
-
1.52几何学和经验
-
1.53相对论发展简述
-
1.54《相对论的意义》中的两个片断
-
1.54.1相对论以前物理学中的空间和时间
-
1.54.2广义相对论
-
1.55关于相对论
-
1.56评W.泡利的《相对论》
-
1.57对康德哲学和马赫哲学的看法(报道)
-
1.58论理论物理学的现代危机
-
1.59《爱因斯坦全集》日文版序言
-
1.60关于诺贝尔奖——1923年1月11日给N.玻尔的信
-
1.60.1附:N.玻尔1922年11月11日给爱因斯坦的信
-
1.61尼耳斯·玻尔
-
1.62大自然赋予我们的是渴望多于智慧——1923年5月底给H.魏耳的明信片
-
1.63相对论的基本思想和问题
-
1.64评J.温特尼茨的《相对论和认识论》
-
1.65关于场论以及国际联盟——1924年1月5日给贝索的信
-
1.66反对电子有自由意志的想法——1924年4月29日给玻恩夫妇的信
-
1.66.1附:M.玻恩1925年7月15日给爱因斯坦的信
-
1.67在量子问题上我相信自己走的路是正确的——1924年5月24日给贝索的信
-
1.68对玻尔等人否定守恒定律的评论——1924年5月31日给P.埃伦菲斯特的信
-
1.69卢克莱修《物性论》德译本序
-
1.70对恩格斯《自然辩证法》手稿的意见
-
1.71非欧几里得几何和物理学
-
1.72对魏耳、爱丁顿、舒滕工作的评价——1925年6月5日给贝索的信
-
1.73关于仿射场论——1925年7月28日于日内瓦给贝索的信
-
1.74对薛定谔工作和海森伯-玻恩工作的评价——1926年4月26日给E.薛定谔的信
-
1.75关于量子力学的哲学背景问题同海森伯的谈话(报道)
-
1.76对统一场论以及对薛定谔和海森伯-狄拉克工作的评价——1926年8月21日给A.索末菲的信
-
1.77对薛定谔工作和对爱丁顿工作的评论——1926年11月28日给A.索末菲的信
-
1.78我深信上帝不是在掷骰子——1926年12月4日给M.玻恩的信
-
1.79对贝索的评价——1926年12月21日给H.仓格尔的信
-
1.80对米勒实验和量子力学的看法——1925年12月25日给贝索的信
-
1.81牛顿力学及其对理论物理学发展的影响
-
1.82对于量子理论的意见——在第五次索耳未会议上的发言
-
1.83量子力学的真理性同古典光学差不多——1927年11月9日给A.索末菲的信
-
1.84物理学的基本概念及其最近的变化
-
1.85测不准关系和海森伯-玻尔的绥靖哲学——1928年5月31日给E.薛定谔的信
-
1.86评M.E.梅耶松的《相对论的演绎法》
-
1.87统一场论的重大发展——1929年1月5日给贝索的信
-
1.88感谢斯托多拉
-
1.89关于科学的真理
-
1.90我信仰斯宾诺莎的上帝
-
1.91空间-时间
-
1.92物理学中的空间、以太和场的问题
-
1.93关于实在的本性问题同泰戈尔的谈话
-
1.94马赫同相对论的关系——1930年9月18日给A.魏纳的信
-
1.95约翰内斯·开普勒
-
1.96宗教和科学
-
1.97科学的宗教精神
-
1.98论科学
-
1.99牛顿的《光学》序
-
1.100量子力学中过去和未来的知识 同R.C.托耳曼和B.波多耳斯基合写
-
1.101关于螺旋星云红移的发现——1931年3月1日给贝索的信
-
1.102关于统一场论和经济问题的讨论——1931年10月30日给贝索的信
-
1.103麦克斯韦对物理实在观念发展的影响
-
1.104关于测不准关系(报道)
-
1.105在哥伦比亚大学的讲话
-
1.106关于因果性和自由意志问题同J.墨菲的谈话
-
1.107祝贺阿诺耳德·柏林内尔七十岁生日
-
1.108评理论物理学中问题的提法上的变化
-
1.109关于理论物理学的方法
-
1.110广义相对论的来源
-
1.111保耳·埃伦菲斯特的工作及其为人
-
1.112能认为量子力学对物理实在的描述是完备的吗?——同B.波多耳斯基和N.罗森合著
-
1.113生活和工作的感受——1935年夏给妹妹的信
-
1.114关于量子力学描述的完备性问题——1935年9月11日给K.R.波普的信
-
1.115悼念玛丽·居里
-
1.116物理学和实在
-
1.116.1一 关于科学方法的一般考查
-
1.116.2二 力学以及把力学作为全部物理学基础的企图
-
1.116.3三 场的概念
-
1.116.4四 相对论
-
1.116.5五 量子论和物理学的基础
-
1.116.6六 相对论和微粒
-
1.116.7总 结
-
1.117悼念马尔塞耳·格罗斯曼——1936年给格罗斯曼夫人的信
-
1.118《物理学的进化》的两个片断——同L.英费耳德合著
-
1.118.1哲学背景
-
1.118.2物理学和实在
-
1.119我还是以昔日的喜悦努力钻研问题——1937年6月9日给贝索的信
-
1.120引力问题使我从怀疑的经验论转向信仰唯理论——1938年1月24日给C.兰佐斯的信
-
1.121关于实证论的统治及其他——1938年4月10日给M.索洛文的信
-
1.122关于完备的描述和实在的问题——1939年8月9日给E.薛定谔的信
-
1.123关于理论物理学基础的考查
-
1.124科学的共同语言
-
1.125伐耳特·能斯特的工作及其为人
-
1.126统一场论方面的一个新尝试——1942年8月给贝索的信
-
1.127爱萨克·牛顿
-
1.128论伯特兰·罗素的认识论
-
1.128.1附:罗素的答复
-
1.129客观世界的完备定律及其他——1944年9月7日给M.玻恩的信
-
1.130关于数学领域的创造心理——给J.阿达马的信
-
1.131关于哲学和科学问题的谈话(报道)——1945年1月同A.施特恩的谈话
-
1.132关于宇宙学问题的评注——《相对论的意义》第二版(1945年)的附录
-
1.133以广义相对论为根据的空间结构——《狭义与广义相对论浅说》英译本第14版(1946年)的附录
-
1.134质能相当性的初浅推导
-
1.135E=mc^2:我们时代最迫切的问题
-
1.136R.凯泽尔的《斯宾诺莎》序
-
1.137悼念保耳·朗之万
-
1.138物理学应当阐明时间和空间中的实在——1947年3月3日给M.玻恩的信
-
1.139对马赫的评价及其他——1948年1月6日给贝索的信
-
1.140对玻恩《关于因果和机遇的自然哲学》书稿的意见——1948年3月18日给M.玻恩的信及其附件
-
1.140.1附件:对《关于因果和机遇的自然哲学》的最后一章《形而上学的结论》的批注
-
1.141悼念麦克斯·普朗克
-
1.142量子力学和实在
-
1.143为《量子力学和实在》一文给M.玻恩的信
-
1.144关于托勒玫、亚里士多德、广义相对论场论及其他——1948年11月25日给M.索洛文的信
-
1.145相对性:相对论的本质
-
1.146对批评的回答 对汇集在论文集《阿耳伯特·爱因斯坦:哲学家-科学家》中各篇论文的意见
-
1.147七十岁生日时的心情——1949年3月28日给M.索洛文的信
-
1.148《伽利略在狱中》读后感——1949年7月4日给麦克斯·布罗德的信
-
1.149对量子力学的看法——1949年7月24日给贝索的信
-
1.150关于统一场论——1949年8月16日给贝索的信
-
1.151要接近事物的本质是万分困难的——1950年4月15日给贝索的信
-
1.152《约翰内斯·开普勒的生平和书信》序
-
1.153关于迈克耳孙实验、相对论起源等问题的谈话(报道)——1950年2月4日同R.S.香克兰的谈话
-
1.154关于广义引力论
-
1.155关于统计论同决定论的对立问题——1950年6月12日给M.索洛文的信
-
1.156关于描述完备性的争论——1950年9月15日给M.玻恩的信
-
1.157关于“实在”问题的讨论——1950年10月13日给H.L.塞缪耳的信
-
1.158实在和完备的描述——1950年12月22日给E.薛定谔的信
-
1.159物理学、哲学和科学进步
-
1.160对实在的理性本质的信赖及其他——1951年1月1日给M.索洛文的信
-
1.161D.D.汝内斯编《斯宾诺莎词典》序
-
1.162五十年思考还不能回答光量子是什么——1951年12月12日给贝索的信
-
1.163关于相对论和量子论问题的谈话(报道)——1952年2月2日同R.S.香克兰的谈话
-
1.164青年时代二三事——1952年3月6日给贝索的信
-
1.165关于相对论诞生的年份——1952年3月11日给C.塞利希的信
-
1.166特殊和一般,直觉和逻辑——1952年3月20日给贝索的信
-
1.167客观世界的规律性和“奇迹”——1952年3月30日给M.索洛文的信
-
1.168关于广义引力论的实验问题——答《通俗科学月刊》——读者的信
-
1.169关于一些基本概念的绪论——祝贺德·布罗意六十岁生日的赠文
-
1.170关于思维同经验的联系问题——1952年5月7日给M.索洛文的信
-
1.171相对论和空间问题
-
1.172《狭义与广义相对论浅说》英译本第15版说明
-
1.173相对论发展的三个阶段——1952年6月给C.塞利希的信
-
1.174生命有个了结,是好事——1952年7月17日给贝索的信
-
1.175否认“实在状态”就落到贝克莱的境地——1952年9月10日给贝索的信
-
1.176要大胆思辨,不要经验堆积——1952年10月8日给贝索的信
-
1.177关于迈克耳孙以及其他问题的谈话(报道)——1952年10月24日同R.S.香克兰的谈话
-
1.178关于迈克耳孙实验对探索相对论的影响问题——纪念迈克耳孙诞辰一百周年的贺信
-
1.17974岁生日答客问(报道)
-
1.180“奥林比亚科学院”颂词——1953年4月3日给C.哈比希特和M.索洛文的回信
-
1.181西方科学的基础与古代中国无缘——1953年4月23日给J.S.斯威策的信
-
1.182关于广义引力论及其他——1953年5月28日给M.索洛文的信
-
1.183创造者H.A.洛伦兹及其为人
-
1.184时间箭头、基本概念的危机及其他——1953年7月29日给贝索的信
-
1.185伽利略《关于托勒玫和哥白尼的两大世界体系的对话》英译本序
-
1.186广义引力论的困难所在——1953年9月22日给贝索的信
-
1.187反对实证论及其他(报道)——1952—1953年间同R.卡尔那普的谈话
-
1.188M.雅梅的《空间概念》序
-
1.189关于量子力学基础的解释的基本见解——纪念M.玻恩退休的赠文
-
1.190“不掷骰子的上帝”及其他——1953年10月12日给M.玻恩的信
-
1.191在哥白尼逝世410周年纪念会上的讲话
-
1.192给玻恩的赠文所引起的争论(一)——1953年12月3日给M.玻恩的信
-
1.192.1附:M.玻恩1953年11月26日给爱因斯坦的信
-
1.193给玻恩的赠文所引起的争论(二)——1954年1月1日给M.玻恩的信
-
1.194给玻恩的赠文所引起的争论(三)——1954年1月12日给M.玻恩的信
-
1.194.1附件:对M.玻恩的回答
-
1.194.2附:W.泡利给M.玻恩的信(1954年3月31日)
-
1.195迈克耳孙实验同相对论的关系——1954年2月9日给F.G.达文波特的信
-
1.196关于相对论的发展——1954年8月10日给贝索的信
-
1.196.1附:贝索1954年10月1—4日给爱因斯坦的信
-
1.197悼念贝索——1955年3月21日给M.贝索的儿子和妹妹的信
-
1.198关于科学史和科学家的谈话(报道)——1955年4月3日同I.B.科恩的谈话
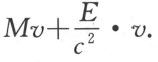
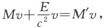
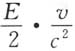
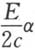
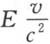
的辐射S和S′分别沿着正的和负的x0方向在运动着,最后都被B吸收了。由于这种吸收,B的能量增加了E。因为对称的缘故,物体B对于K0仍然是静止的。


,此处c是光速。从K0来看,我们知道B在吸收S和S′时,速度ν保持不变。
,因此,由麦克斯韦理论的一个著名结论,它具有动量
。严格地说来,这是相对于K0的S的动量。但是,当ν比起c来是很小的时候,相对于K的动量,除了一个第二数量级的量(
)以外,该是同一数值。这个动量的z分量是
,或者说
也已够精确了(除了一些数量级较高的量),那就是
。由此,S和S′合起来共有一个在z方向上的动量
,所以在吸收之前,这体系的总动量是



联系在一起。按照通常的定义,既然能量还留下一个附加常数未定,我们就可以适当选取这个附加常数,使