【习题及实训】参考答案
【绪论】
一、填空题
1.组成、结构、性质、变化。
2.工艺化学时期、近代化学时期、现代化学时期。
3.28、常量、微量。
4.能源、结构、调节。
5.水、矿物质、蛋白质、脂肪、糖、维生素和膳食纤维。
6.工业废水、生活污水。
7.臭氧层、酸雨、温室。
8.无机化学、分析化学。
二、判断题
1—5 ×√××√
三、选择题
1—5 DBABC
四、简答题
1.答:菠菜中有草酸,豆腐中有石膏(CaSO4)和卤水(MgCl2),草酸与CaSO4和MgCl2发生反应生成不溶入水的草酸镁或草酸钙,沉积血管壁,影响血液循环。
2.答:无机及分析化学包含无机化学和分析化学两部分,无机化学的主要任务是对元素及其化合物的性质和反应进行实验研究和理论解释。分析化学包括定性分析、定量分析和结构分析三大内容。定性分析的任务是鉴定物质的化学组成,定量分析的任务是测定物质中有关组分的含量,结构分析的任务是确定物质的化学结构。
【第1章】
一、填空题
1.2;8;18;18;2n2。
2.锰(或Mn)。
3.[Xe]5d10 4f14 6s2,6,ⅡB,Hg。
4.21,Sc,1s2 2s2 2p6 3s2 3p6 3d1 4s2。
5.Cl。
二、选择题
1-5 ABBCD 6—10 ACBAC 11—12 AC
三、简答题
1.答:由于氢原子是单电子原子,E2s=E2p,所以将氢原子核外电子从基态激发到2s或2p轨道,所需要的能量相同。氦原子是多电子原子,两个电子间存在斥力E2s≠E2p,所以将氦原子核外电子从基态激发到2s或2p轨道,所需要的能量不相同。
2.答:①不正确。改为:s轨道的角度分布图为一个以原子核为球心的球面。p原子轨道的角度分布图为两个在原点相切的球面。②不正确。改为:主量子数n为1时只有一条轨道,可容纳自旋相反的两个电子。③正确。④不正确。改为:主量子数n为3时,有3s,3p,3d 3个亚层,共有9条轨道。
3.答:该元素的核外电子排布式为3d6 4s2。该元素位于第4周期,ⅧB族,d区,中文名称是铁。
4.答:A为钒(V)电子排布式为:1s2 2s2 2p6 3s2 3p6 3d3 4s2;
B为硒(Se)电子排布式为:1s2 2s2 2p6 3s23p6 3d10 4s2 4p4。
【第2章】
一、填空题
1.分散质,分散剂,粗分散体系,胶体分散体系,分子分散体系。
2.酸性、中性、碱性、电解质、非电解质、饱和、不饱和。
3.溶质、物质的量、mol/L。
4.水、熔融、强电解质、弱电解质、MgCl2
Mg2++2Cl-。
5.电解质(2)(4)(7)(8)(11)(12),非电解质(1)(3)(5)(6)(9)(10)。
6.H+、Fe2+、
、Fe+2H+
Fe2++H2。
7.<、酸、酸性、>、碱、碱性。
8.5.0×10-8mol/L、5.0×10-18mol/L。
9.cNH4+>cCl->cOH->cH+。
10.≤、≥、2∶1、20∶1。
11.溶液的蒸汽压下降,沸点升高,凝固点降低,溶液的渗透压力。
12.小于。
13.测定溶质的相对分子质量、凝固点降低、渗透压力。
14.胶粒带电、水化膜;加入少量电解质、胶粒带相反电荷的溶胶,把溶胶加热。
15.黏度和稳定性。
16.0.3。
17.盐析。
18.反、大。
19.负、电泳。
二、判断题
1—5 ×√×√× 6—10 ×√×√× 11—15 √××√×
16—18 √√×
三、选择题
1—5 BBCCB 6—10 DADBC 11—15 DDDBD 16—20 CDCDA
21—22 BC
四、(略)
五、(略)
六、(略)
七、简答题
1.答:在一支试管中取少量酒精,加入少量无水硫酸铜的白色粉末,如果变成蓝色,说明酒精中含有水分,如果不变颜色,说明为无水酒精。
2.答:在一定温度下,两杯NaCl溶液的密度不同,就是因为浓度不同造成的,溶液中NaCl的含量越多,浓度越大,其密度也随之增大。
3.答:量取液体时,首先必须把量筒放平稳,观察量筒中液体的体积数,必须使视线与量筒内液体的凹液面最低处保持水平,再读出所取液体的体积数才是正确的。
4.答:取两支洁净的试管,各取等体积两种酸溶液用蒸馏水分别稀释100倍。然后用pH试纸分别测其pH值,pH值变化大的那瓶是盐酸。)
5.答:a.计算;b.称量;c.溶解(稀释);d.移液;e.定容;f.摇匀。仪器:天平(含称量纸)、药匙、容量瓶、烧杯、玻璃棒、胶头滴管。
6.答:在水中加入葡萄糖后,凝固点将比纯水低。因为葡萄糖溶液的蒸汽压比水的蒸汽压低,在水的凝固点时葡萄糖溶液的蒸汽压小于冰的蒸汽压,两者不平衡,只有降低温度,才能使溶液和冰平衡共存。
7.答:盐类(或肥料)在土壤中的浓度大于在植物中的浓度时,水分通过植物细胞膜从植物向土壤反渗透,致使植物枯萎甚至“烧死”。
8.答:生渗透现象必须具备两个条件:一是有半透膜存在;二是半透膜两侧溶液的浓度不相等。
9.答:在溶胶中加入足量的高分子溶液,可显著提高溶胶的稳定性,使其不易聚沉,这种现象称为高分子溶液对溶胶的保护作用。足够量的高分子化合物对溶胶有保护作用。高分子化合物吸附在胶粒表面,增加了胶粒和介质间的亲和力,使溶胶稳定。带有高分子吸附层的胶粒相互接近时.吸附层的重叠会产生斥力,阻止胶粒聚集。如果核吸附的高分子化合物本身带有电荷,将增加胶粒间的静电斥力而使溶胶稳定。高分子溶液所具有的较大黏度,也是使溶胶稳定的一个因素。
八、计算题
1.59.34mL、961g。
2.19%;2.19mol/L;2.39mol/kg;0.04、0.96。
3.3.7。
4.1。
【第3章】
一、填空题
1.(1)不变;(2)增大,增大;(3)不变,不变;(4)减小,减小。
2.(1)2~3min,因该反应是放热反应,此时温度高。4~5min,因为此时H+浓度小;
(2)υHCl=0.1mol/(L·min);(3)A、B。
3.t1-t2:反应放热,使温度升高,速率加快;t2-t3:随反应的进行,H+浓度降低,速率减慢。
4.0.1 amol/(L·min),0.3 amol/(L·min),0.2 amol/(L·min),1∶3∶2。
5.(1)增大cN2或cH2;(2)适当升高温度;(3)增大压强;(4)使用催化剂。
二、选择题
1—5 BCDDC 6—10 DAADC 11—15 DBBBC 16—20 CDDAB
21—22 AD
三、计算题
1.1∶3∶2。
2.v(H2)=1.2mol/(L·s)。
【第4章】
一、名词解释(略)
二、填空题
1.(1)固;(2)固或液;气;(3)n>2或n≥3;(4)放。
2.(1)0.2mol(2)SO2、NO2(3)1.9。
3.(1)K=
;(2)增大;不变。(3)t1<t2;(4)防止催化剂中毒。
4.7.35~7.45;酸中毒;碱中毒。
5.(1)可逆反应;(2)正逆反应速率相等;(3)物质的量不变;(4)平衡移动。
6.AgI;AgCl;4.1×10-14mol/L。
7.(1)H3[AlF6];(2)[Ni(en)3]Cl2;(3)[Ni(H2O)4Cl2]Cl;(4)(NH4)4[Fe(CN)6]。
8.CO;C;4;四羰基合镍(Ⅳ)。
9.C2O4;C;3;三草酸合铝(Ⅲ)酸钾。
三、判断题
1—5 ××××√ 6—10 √√××√ 11—12 ×√
四、选择题
1—5 BBCAD 6—10 CCDBD 11—16 BCAAAC
五、简述题
1.答:缓冲溶液能起缓冲作用与它的组成有关。例如由HAc和NaAc组成的缓冲溶液中含有大量的HAc和Ac-离子,当向这种缓冲溶液中加入少量的酸(H+)时,溶液中含有的大量的Ac-离子可以结合这些H+形成HAc分子;溶液的pH值几乎不会改变。反之,当向这种缓冲溶液中加入少量的碱(OH-)时,OH-将与溶液中HAc结合形成水和Ac-,溶液的pH值也不会发生大的变化,这就是缓冲作用。
2.答:pH是指溶液中氢离子浓度的负对数用pH=-lg cH+表示;pOH是指溶液中氢氧根离子浓度的负对数用pOH=-lg cOH-表示;p Kw是指水的离子积常数的负对数。三者之间的关系是:pH+pOH=-lg(cH+·cOH-)=-lg Kw;所以pH+pOH=14=p Kw。
3.答:影响盐类水解的因素4方面即盐的本性,盐浓度,温度及酸碱度。用纯碱去油污,通常用热水,实际上是升高温度,增大盐类的水解作用。实验室配制氯化铁溶液要加盐酸,主要是抑制盐类水解,防止溶液浑浊。
4.答:(1)硫酸铵:酸性(强酸弱碱盐)
+H2O
NH3·H2O+H+;(2)硫化钾:碱性(强碱弱酸盐)S2-+H2O
HS-+OH-;(3)氯化钾:中性(强酸强碱盐、不水解);(4)碳酸氢钠:碱性(强碱弱酸盐)HCO3-+H2O
H2CO3+OH-。
5.答:不对。HAc是弱电解质,在溶液中存在电离平衡,稀释HAc的离解度增加,平衡向右移动是正确的,但溶液中H+离子浓度不会增加。
6.答:锅炉水垢的主要成分为CaCO3、CaSO4、Mg(OH)2,在处理水垢时,通常先加入饱和Na2CO3溶液浸泡,浸泡后锅炉水垢的主要成分变为CaCO3、Mg(OH)2,因为CaSO4会转变成更难溶的CaCO3。CaSO4+Na2CO3
CaCO3+Na2SO4。
向处理后的水垢中加入NH4Cl溶液,NH4Cl溶液的作用是消除水垢,因为NH4Cl水解呈酸性,所以水解出的氢离子可以消除水垢(以CaCO3为主要成分,还有Mg(OH)2)。
7.答:BaSO4不溶于水也不溶于酸,身体不能吸收,因此服用BaSO4不会中毒。而BaCO3进入人体后会和胃酸中的盐酸发生反应:BaCO3+2HCl
BaCl2+H2O+CO2,而BaCl2能溶于水,会被人体吸收而导致中毒。Ba是重金属,离子状态有毒。
8.答:按照质子理论,能够给出质子的是酸,能够结合质子的是碱。以NaAc为例:在水中Ac-是碱,H2O是酸并提供质子,Ac-可以获得质子,形成质子传递的平衡:Ac-+H2O
HAc+OH-即NaAc的水解方程式。水解反应实质是:盐电离出的离子与水电离出的H+或OH-生成难电离的物质,促使水的电离平衡发生移动。
9.答:酸:H2S、HCl,碱:
、NH3、Ac-、OH-,既是酸又是碱的是:HS-、H2
、H2O。
10.答:按照酸碱质子理论,酸性是指给出质子的能力,而碱性是指接受质子的能力,一个酸若酸性越强,即它给出质子的能力越强,相应的它的共轭碱结合质子的能力越差,故碱性较差;一个酸若酸性越弱,即它给出质子的能力越弱,相应的它的共轭碱结合质子的能力越差,故碱性越强。共轭酸碱对的Ka·Kb=Kw。
六、计算题
1.0.44mol/L。
2.0.129mol/L。
3.1.25×10-5。
4.(1)2;(2)3.65;(3)12;(4)10.63。
5.0.10mol。
6.VHCl=68mL,VNaOH=32mL。
7.(1)11.35;(2)1.8。
8.65.1mL,26.8g。
9.AgCl先沉淀,5.2×10-6mol/L。
10.(1)有,8.8×10-8mol/L。
【第5章】
一、填空题
1.+3;+7;+1;+1。
2.化学;电。
3.盐桥;KCl饱和溶液的凝胶。
4.电极电势;浓度。
5.增强;减弱;减弱;增强。
6.Cu❘CuSO4;Zn❘ZnSO4;深蓝色;减小;增大。
7.Ni(OH)3(s)+e-આઆNi(OH)2(s)+OH-(aq)
Cd(s)+2OH-(aq)આઆCdO(s)+H2O(l)+2e-。
8.(-)Cu(s)|Cu2+(aq)‖Cl-(aq)|Cl2(g)|Pt(+)。
二、判断题
1—5 √√××√
三、问答题
1.什么是氧化还原反应?它的实质是什么?
答:氧化还原反应,是指在反应过程中,反应物之间有电子转移的化学反应;氧化还原反应的实质是电子的转移或偏移,因而引起元素氧化数的变化。
2.什么是标准电极电势?它有哪些重要作用?
答:在标准状态下,即溶质的有效浓度为1mol/L,气体压强为100 kPa,温度一般为298 K,测得电极的电极电势,称为标准电极电势。用标准电极电势可以定量比较标准状态下,氧化剂和还原剂的强弱,判断标准状态下氧化还原反应的方向。
3.能斯特方程式在计算过程中有哪些注意事项?
①(氧化态)和(还原态)分别表示电对中氧化态和还原态物质,它既包括有氧化数发生变化的物质,也包括一些氧化剂、还原剂以外的物质参加电极反应而氧化数没有变化的其他物质。在公式中表示时,应该把这些物质的浓度乘以相应的方次。
②若参加电极反应的物质有气体,应以该气体的分压代替浓度。
③若电极反应中有固态或液态物质时,它们的浓度可以认为不变,皆为常数,不写入能斯特方程式中。
四、计算题
1.(1)2,5,6;2,2,8,5;(2)2,1;3,3;(3)1,2;1,1,2。
2.负极:2HAc+2e-
H2+2Ac-;正极:Hg2Cl2+2e-
2Hg+2Cl-
电池反应:Hg2Cl2+H2+2Ac-
2HAc+2Hg+2Cl-
3.Pb(s),PbSO4(s)│
(1.0mol/dm3)‖Pb2+(0.100mol/dm3)│Pb(s)
电池反应:Pb2++
આઆPbSO4
E=φ(+)-φ(-)=(-0.126+(0.059 1/2)·lg 0.100-(-0.359)=0.203(V)
4.(1)能氧化Fe2+和H2O2:

(2)应选择H2O2在碱性介质中作氧化剂:

(3)不能,因为φΘ(Cr2
/Cr3+)<φΘ(Cl2/Cl-):

因此,反应可进行。
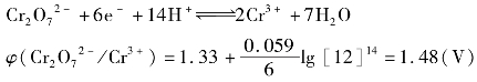
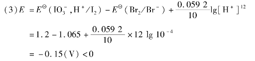
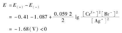
5.(1)EΘ(
,H+/I2)>EΘ(Br2/Br-)
因此,电池反应为:
+10Br-+12H+
I2+5Br2+6H2O

因此,反应逆向进行。

因此,反应逆向进行。

因此,反应逆向自发进行。
(2)(-)Pt|Br2(l),Br-(0.1mol/L)||Cr3+(0.01mol/L),Cr2+(1mol/L)|Pt(+)

因此,反应逆向自发进行。
【第6章】
一、填空题
1.I2+5Cl2+12OH-
+10Cl-+6H2O;I2+5H2O2આઆ2HIO3+4H2O
2.HI;H2S。
3.(1)ⅢA族:B——非金属,Al至Tl——金属;ⅣA族:C、Si——非金属,Ge、Sn、Pb——金属;
(2)B,Al,C,Si。
4.2P+3Br2+6H2O
6HBr+2H3PO3;2P+3I2+6H2O
6HI+2H3PO3。
5.(1)氨,氯化氢;(2)氨气和盐酸蒸汽反应产生了NH4Cl之故。
6.H3BO3<H5B3O7<H6B4O9<H2B4O7。
7.分别取样放入稀硝酸中,能溶解的是黄铜,无反应的是黄金。
8.铜和铁相比,铜的化学性质比较稳定,不易被腐蚀,铜的熔点比较低,容易冶炼成型。
9.C、D、E
10.(1)Fe2O3;(2)步骤及化学方程式:①用铁锤敲碎红砖,取小块磨成粉末;②将红砖粉末放入烧杯,加入适量稀盐酸,搅拌:Fe2O3+6HCl
2FeCl3+3H2O;③将混合液倒入过滤器过滤;④在滤液中滴入KSCN溶液:FeCl3+3KSCN
Fe(SCN)3+3KCl,分析及结论(4分),若溶液呈血红色,证明红砖含有Fe2O3,若溶液不呈血红色,说明红砖不含Fe2O3;(3)应禁止使用。因为会消耗大量的国土资源。
二、选择题
1—5 BAADA 6—10 BBDCD 11—15 ABCCD 16—20 DDCCD
21—25 DDCDD 26—27 DC
三、问答题
1.电解KCl热溶液(343~348 K)。电解槽不用隔膜,使电解产生的Cl2与KOH混合,
就得到KClO3溶液,浓缩冷却结晶。
+2KOH+H2-;3Cl2+6KOH+5KCl+3H2O。
2.S+
Na2SO3+CO2
3.方法一:用过量的NaOH溶液洗涤混合物,然后过滤,洗涤,干燥就可以得到铁粉。方法二:用磁铁将混合物中的铁吸引出来而留下杂质。
【第7章】
一、填空题
1.方法;2.偶然;3.仪器;4.试剂;5.±1%,±0.1%;6.正;7.三;8.15。
二、选择题
1—5 CDBCA 6—8 DBB
三、判断题
1—5 ×√√×√
四、简答题
1.减小偶然误差、校准仪器、进行空白试验、进行对比试验及改进分析方法。
2.略。
五、计算题
1.甲的准确度比乙高;甲的精密度比乙高。
2.0.358×25.4×8.45×1.26≈96.8。
3.8.02-5.02=3.00。
【第8章】
一、名词解释
标准溶液——已知准确浓度的试剂溶液
滴定——把标准溶液通过滴定管滴加到被测溶液中去的过程
化学计量点——理论上被测成分和标准溶液恰好完全反应的时刻
滴定终点——滴定时指示剂发生颜色转变的时刻
终点误差——化学计量点和滴定终点之差
基准物质——可用直接法配制标准溶液的物质
标定——用基准物质测定试剂溶液准确浓度的过程
酸碱指示剂——借助于颜色的变化指示溶液pH值的物质
突跃——化学计量点附近pH值的骤变过程
突跃范围——±0.1%误差范围内产生的pH变化区间
二、填空题
1.酸碱滴定法、氧化还原滴定法、配位滴定法、沉淀滴定法。
2.纯度高、性质稳定、组成固定、直接配制法、间接配制法。
3.指示剂本性、pH值、两、本性、用量、温度、变色范围窄、变色敏锐、终点颜色易观察。
4.滴定剂用量和溶液pH值的对应关系、±0.1%误差范围内产生的pH值变化。
5.间接法、间接滴定。
6.高锰酸钾法、重铬酸钾法、碘量法。
7.自身指示剂、氧化还原指示剂、特殊指示剂。
8.乙二胺四乙酸、六、1∶1、五圆。
9.莫尔法、佛尔哈得法、法扬司法。
10.鉴定物质的成分、测定各组分的含量、化学分析法、仪器分析法。
11.酚酞、无色、浅红色。
12.配位、单齿、多齿、多齿。
13.使指示剂的变色范围全部或部分地落在滴定曲线的突跃范围之内、0.01~0.1mol/L。
14.普遍性、性质稳定、组成固定、带电易溶。
15.控制溶液的酸度、利用掩蔽作用。
三、判断题
1—5 ×√××√ 6—10 ××√×× 11—15 √×××√
16—18 ××√
四、选择题
1—5 BCDCC 6—10 BBCCC 11—15 ACDBA
五、计算题
1.4.20mL。
2.20.00mL。
3.0.102 9mol/L。
4.8.10%。
5.14.71g。
6.0.018 15mol/L。
7.总硬度185.8 mg/L;Ca含量:114.0 mg/L;Mg含量:71.83 mg/L。
8.c(AgNO3):0Ʊ133 2mol/L;c(NH4SCN):0Ʊ166 5mol/L。
【第9章】
一、填空题
1.增大;不变;不变。
2.改变溶液浓度;改变比色皿厚度。
3.吸光能力;大(小);灵敏(不灵敏)。
4.0.680;20.9%。
5.浓度;吸光度;一条直线。
二、选择题
1—5 CBABB 6—9 DBDC 10 ABCD
三、判断题
1—5 √√×√× 6—10 ××√×√
四、简答题
略。
五、计算题
1.77%、0.11。
2.1.9×104 L/(mol·cm)。
3.0.167 mg。
4.标准曲线:wFe=1.29%

【实习实训1】
1.因为选用HCl溶液,会与过量的NaOH和Na2CO3反应生成NaCl,不会引入新的杂质。其他酸不可以,会引入新的杂质,影响提纯质量。
2.如果先加Na2CO3除去Ca2+、Mg2+的话会有
剩余,而再加入BaCl2除去
和
时,Ba2+就会相对过量,而且过量的Ba2+无法用HCl除去。
3.因为如果第6步中将溶液蒸干,可溶性的杂质(KCl等)就去除不掉了。
【实习实训2】
1.从实训结果可知浓度、温度和压强是影响平衡移动的因素。改变条件,平衡向减弱这种改变的方向移动。通俗说就是对着干,减弱条件的影响。例如温度的影响,化学反应不是吸热就是放热,升温时平衡不想让它升温所以平衡向吸热方向移动,反之降温向放热方向移动。
2.升高温度时,p(N2O4)减小、p(NO2)增加、K变小,平衡将向NO2生成的方向移动。
【实习实训3】
1.使用pH计时用中性(6.86)定位,再根据被测样品的酸碱性选择4.01或9.18的标定。之所以用标准溶液定位,原因是我们用已知pH值的缓冲溶液将pH计校正到该pH下,才会使测定的样品准确度高。
2.(1)先校准pH计;(2)使用去离子水冲洗pH电极;(3)将电极头擦干;(4)将被测溶液搅拌均匀,边搅拌边将电极插入待测溶液;(5)等读数稳定,就得到待测溶液的pH。
【实习实训4】
1.有误差。讨论略。
2.(1)电极在测量前必须用已知pH值的标准缓冲溶液进行定位校准;(2)在塑料保护栅内的敏感玻璃泡不与硬物接触,任何破损和擦毛都会使电极失效;(3)电极的引出端,必须保持清洁和干燥,绝对防止输出两端短路,否则将导致测量结果失准或失效。
3.pH计测量的原理是:利用玻璃泡内的H+浓度与溶液中H+浓度差形成的电势差测量。若是先测量浓度高的溶液形成的高电势对测量低浓度溶液有较大影响,形成较大误差。先测浓度低的,再测浓度高的则误差可忽略不计。
【实习实训5】
1.(1)不允许。因为在未关闭天平门时读数,可能会由于气流流动的影响,造成读数不准确;(2)不允许。用手直接拿取称量瓶或称量物,会使手上污染物(汗液等)黏附在瓶壁上,最终影响称量结果的准确性。
2.直接法适用于称量洁净干燥的器皿,块状的金属,不易潮解或升华的整块固体试样。减量法比较简便、快速、准确,在化学实验中常用来称取待测样品和基准物,是最常用的一种称量法。
3.若称量瓶内的试样吸湿,会使称量结果偏小。若试样敲落在烧杯内再吸湿,对称量结果没有影响。
【实习实训6】
1.滴定管和移液管使用前需用待装液润洗,而锥形瓶或烧杯则不需要用待装液润洗。因为滴定管和移液管是准确的量器,如果不进行润洗,体积量准确了,但是浓度变化了,量得再准也没有意义。锥形瓶是反应器,对进入其中的溶液的浓度没有要求,但是不能改变两种反应物的物质的量,润洗后,残留的溶液中含有溶质,就改变了反应物的物质的量,反而影响了实验结果。
2.(1)偏小;(2)偏大;(3)偏大;(4)偏大。
3.加入半滴的操作是:将酸式滴定管的旋塞稍稍转动或碱式滴定管的乳胶管稍微松动,使半滴溶液悬于管口,将锥形瓶内壁与管口接触,使液滴流出,并用洗瓶以纯水冲下。
【实习实训7】
1.HCl是气体,难以准确称量;市售盐酸浓度不确定,且易挥发,因此不能直接配制准确浓度的HCl标准溶液。只能先配制近似浓度的溶液,然后用基准物质标定其准确浓度。
2.不需要烘干。不需要准确。
【实习实训8】
1.邻苯二甲酸氢钾易制得纯品,在空气中不吸水,易保存,摩尔质量大,与NaOH反应的计量比为1∶1。
2.称取NaOH用台秤,因为是粗配NaOH,且称样量较大。称取邻苯二甲酸氢钾用分析天平——因为需要准确称量,且称样量小。
3.距终点误差Er0.1%时,要求消耗0.1mol/L NaOH的VNaOH为20~30mL,据此可求出邻苯二甲酸氢钾的质量。
【实习实训9】
1.因为用0.1mol/L NaOH滴定HAc的突跃范围约为pH为7.7~9.7,酚酞的变色范围部分落在突跃范围之内,故可用作指示剂。而用甲基橙和甲基红的变色范围没有落在突跃范围之内,故不能用来指示终点。
2.强碱滴定弱酸,溶液的pH逐渐增大,到滴定终点时溶液的pH>7;强碱滴定强酸,溶液pH逐渐增大,滴定终点时pH=7;滴定弱酸比滴定强酸的曲线要平缓得多。
3.测定醋酸含量时,所用的蒸馏水不能含有CO2,否则会溶于水中生成碳酸,将同时被滴定。
【实习实训10】
1.由于
的酸性太弱(Ka=5.6×10-10),c·Ka<10-8,故不能在水溶液中直接用NaOH溶液准确滴定。
2.中和甲醛中的游离酸用酚酞指示剂,使处理试样和测定方法一致,以减小方法误差。中和(NH4)2SO4试样中的游离酸,以甲基红作指示剂,用NaOH溶液中和。若用酚酞作指示剂,将有部分
被中和,测定结果偏低。
3.NH4NO3和NH4Cl中均属于强酸弱碱的盐,其含氮量,可以用甲醛法测定。NH4HCO3中的含氮量不能直接用甲醛法测定。因NH4HCO3+HCHO
(CH2)6N4H++H2CO3,产物H2CO3易分解且酸性太弱,不能被NaOH准确滴定。
【实习实训11】
1.因为醋酸是弱酸,用氢氧化钠滴定的时候终点生成强碱弱酸盐(醋酸钠),溶液pH为弱碱性。酚酞的变色范围在9~10,刚好是弱碱性,所以滴定的终点刚好在指示剂的变色范围内(滴定突跃)。
2.因为这时所加的水只是溶解基准物质,而不会影响基准物质的量。因此加入的水不需要非常准确。所以可以用量筒量取。
【实习实训12】
1.用SnCl2还原Fe3+时,溶液的温度不能太低,否则反应速度慢,黄色褪去不易观察,易使SnCl2过量。
2.因随着滴定的进行,Fe(Ⅲ)的浓度越来越大,
的黄色不利于终点的观察,加入H3PO3可使Fe3+生成无色的
配离子而消除。同时由于
的生成,降低了Fe3+/Fe2+电对的电位,使化学计量点附近的电位突跃增大,指示剂二苯胺磺酸钠的变色点落入突跃范围之内,提高了滴定的准确度。
【实习实训13】
1.水样的采集要注意具有代表性,在水的表层、中层和下层分别采样。水样保存在塑料瓶中,带回实验室,立即放入4~5℃的冰箱避光储藏。保存的时候应该加少许硫酸使pH<2,可以保存4~5 d。若是放置太久,由于COD本身的挥发性及水中微生物分解作用,会让水样中的COD降低。
2.COD是在规定条件下水中各种还原剂需要氧量的总和,它反映水体受污染的程度。常用的测定方法有高锰酸钾法和重铬酸钾法。
3.说明水样中有机物质含量多,应该补加适量的高锰酸钾标准溶液。
【实习实训14】
1.维生素C在空气中极易被氧化,尤其是在碱性条件下更快,而在酸性介质中,它受空气氧化的速度稍慢,较为稳定,所以用2%的草酸来配制维生素C标准溶液是为了减慢它的氧化速度,减少实验误差。2%草酸有抑制抗坏血酸氧化酶的作用。
2.(1)在操作过程中某些步骤一定要快,避免维生素C的氧化,因为维生素C具有还原性,还要向样品中加入草酸溶液,保护维生素C;(2)对于维生素C标准溶液要现用现配,尽量精确,避免维生素C氧化,避免因为标准溶液的误差而造成误差;(3)整个操作过程要迅速,防止还原型抗坏血酸被氧化。滴定过程一般不超过2min。滴定所用的染料不应小于1mL或多于4mL,如果样品含维生素C太高或太低时,可酌情增减样液用量或改变提取液稀释度;(4)本实训必须在酸性条件下进行。在此条件下,干扰物反应进行得很慢。
【实习实训15】
1.因为乙二胺四乙酸的溶解度很小,而乙二胺四乙酸钠盐的溶解度较大。
2.(1)要盖上表面皿,并加少量水湿润;(2)从杯嘴逐滴加入1+1 HCl时不要过快,防止过于激烈而产生CO2气泡,使CaCO3粉末飞溅;(3)要用水把溅到表面皿上的溶液淋洗入杯中;(4)还要记得加热近沸把CO2赶走后再冷却。
【实习实训16】
1.各种金属离子与滴定剂生成配合物时都应有允许最低pH值,否则就不能被准确滴定。而且还可能影响指示剂的变色点和自身的颜色,导致终点误差变大,甚至不能准确滴定。因此酸度对配位滴定的影响是多方面的,需要加入缓冲溶液予以控制。
2.因为滴定Ca2+、Mg2+总量时要用铬黑T作指示剂,铬黑T在pH为8~11为蓝色,与金属离子形成的配合物为紫红色,终点时溶液为蓝色。所以溶液的pH值要控制为10。测定Ca2+时,要将溶液的pH控制至12~13,主要是让Mg2+完全生成Mg(OH)2沉淀。以保证准确测定Ca2+的含量。在pH为12~13时钙指示剂与Ca2+形成酒红色配合物,指示剂本身呈纯蓝色,当滴至终点时溶液为纯蓝色。但pH>13时,指示剂本身为酒红色,而无法确定终点。
【实习实训17】
1.各种金属离子与滴定剂生成络合物时都应有允许最低pH值,否则就不能被准确滴定,而且还可能影响指示剂的变色点和自身的颜色,导致终点误差变大,甚至不能准确滴定。因此酸度对配位滴定的影响是多方面的,需要加入缓冲溶液予以控制。
2.配位滴定法与酸碱滴定法相比有下面两个不同点:(1)配位滴定中要求形成的配合物(或配离子)要相当稳定,否则不易得到明显的滴定终点;(2)在一定条件下,配位数必须固定(即只形成一种配位数的配合物)。
【实习实训18】
1.为使测定结果更准确,K2Cr2O7的浓度必须合适,若太大将会引起终点提前,且本身的黄色会影响终点的观察;若太小又会使终点滞后,都会影响滴定的准确度。根据计算,终点时的浓度约为5×10-3mol/L为宜。
2.莫尔法不适用于以NaCl标准溶液直接滴定Ag+。因为在Ag+试液中加入指示剂K2CrO4后,就会立即析出Ag2CrO4沉淀。用NaCl标准溶液滴定时,Ag2CrO4再转化成的AgCl的速度极慢,使终点推迟。
3.AgNO3见光分解,故配制好的AgNO3溶液要保存于棕色瓶中,并置于暗处。
【实习实训19】
1.硝酸可以方便地控制所需要的酸度,同时不会和实训中其他试剂反应。硫酸和磷酸等酸都会和Ag+生成沉淀。
2.优点是:可以在酸性溶液中进行滴定,许多干扰离子如
等都不干扰实验,因此该方法的选择性高。缺点是:强氧化剂和氮的低价氧化物以及铜盐、汞盐等能与SCN-起反应,干扰测定,应预先分离或掩蔽。
【实习实训20】
1.不同就在于试剂空白不止含有水,而且还含有其他东西,比如无机盐,缓冲液等,而这些东西都有吸光值,该实验测定的是磷浓度,所以空白试剂必须把样品废水中除了磷以外的有吸光值的杂质因素扣除,而用水的话就没有考虑这些杂质,算出来的其实是磷加上其他有吸光值的杂质的总吸光值。
2.分光光度计的主要部件有:光源、单色器、吸收池、检测系统、信号显示系统。