实验图2.13 抽气过滤装置
1—吸滤瓶;2—厚壁橡皮管;3—夹子;4—布氏漏斗;5—接水泵或真空管路;6—缓冲瓶
布氏漏斗以橡皮塞固定在抽滤瓶上,布氏漏斗下端的缺口对着抽滤瓶的侧管。滤纸剪成圆形,略小于布氏漏斗的底板,但须盖住其小孔,用溶剂湿润滤纸并开动水泵使它吸紧贴在底板上。抽滤瓶侧口以厚壁橡皮管与安全瓶连接,安全瓶与水泵连接。抽气过滤时,先倒入晶体上层的母液,然后倒入晶体,开动水泵。抽滤,用干净的小玻璃塞在晶体上轻轻地压,使母液尽量抽干。用冷的溶剂洗晶体,其方法是:打开活塞,停止抽气,在布氏漏斗中加少量溶剂浸没晶体,用牛角勺匙或玻璃棒轻轻搅匀,使晶体全部润湿、抽干。这样重复洗涤1~2次即可。最后打开活塞,停止抽气,取下布氏漏斗,取出晶体进行干燥(在本实验中可将晶体在空气中晾干,或100℃以下烘干)。母液蒸发或回收溶剂后还可得部分粗品晶体。
6)注意事项
①热过滤一定要保持充分的温度,在呈溶解状态中过滤,抽滤时务必要充分冷却,使其完全结晶以提高产率。
②实验结果要进行产量、产率计算。
实验练习2.4
1.填空
(1)重结晶的实验目的是( )、( )。
(2)重结晶实验的操作步骤有( )、( )、( )、( )、( )、( )、( )等。
(3)溶剂选择的原则是( )、( )、( )、( )、( )。
(4)促进重结晶析出的方法有( )、( )、( )。
(5)活性炭脱色时应注意( )。
2.判断
(1)从有机制备中得到的固态有机化合物,往往是很纯的,不必进行重结晶。( )
(2)趁热过滤可除去不溶性杂质,但是溶液的颜色无法脱去。( )
(3)抽滤时无论母液冷热,对结果都没有大的影响。( )
(4)对要提纯的物质能生成较整齐的结晶。( )
(5)溶剂与要提纯的物质不起化学反应。( )
3.简答
(1)重结晶的原理是什么?一个理想的溶剂应具备哪些条件?
(2)促进结晶析出有哪些方法?
(3)抽滤装置和操作应注意什么?
(4)用活性炭脱色的原理是什么?操作时应注意什么?
实验5 萃 取
1)实验目的
认识萃取的原理和应用,进行使用分液漏斗萃取和洗涤分离液体有机物的操作。以提取固态或液态混合物。
2)实验原理
利用物质在两种不相溶的溶剂中的溶解度不同,使物质从一种溶液转溶到另一种溶剂中,经过几次反复,极大部分的物质可从溶液中被某种溶剂萃取出来。例如:将含有有机化合物的水溶液与有机溶剂(如苯、乙醚)混合振荡时,有机物溶在水中,也溶在苯和乙醚中。在一定温度下,此有机化合物在有机相中和在水相中的浓度之比为一常数(分配定律),这一常数称为分配系数,可以近似看作此物质在两种溶剂中的溶解度之比。根据“相似相溶”原则,一般有机物在有机溶剂中的溶解度大于在水中的溶解度,所以有机物从水中转移到苯和乙醚中,即苯和乙醚把原来溶于水中的有机物萃取出来,萃取的次数越多,萃取得到的有机物也越多,萃取越完全。
3)仪器药品
125mL分液漏斗,150、250mL烧杯,100mL锥形瓶,量筒,酒精灯,脂肪提取器(示教)(索氏提取器)。
4)操作步骤
在苯胺制备实验中,水蒸气蒸馏所得的馏液,分离下层苯胺后,收集下层的水层,里面还有一定量的苯胺,可以用乙醚进行萃取。
取125mL分液漏斗,取出玻璃活塞,擦干,在中间小孔两侧沾上少许凡士林(注意勿堵塞中间小孔),把活塞放回原处,塞紧,并来回旋转几下(使凡士林分布均匀),以防止渗漏,放在铁圈中(铁圈固定在铁架上)。关好活塞,依次从上口倒入上述的水溶液和乙醚,塞好并旋转玻璃塞,取下分液漏斗,按如实验图2.14所示的方法握住分液漏斗进行振摇。
开始时稍慢,每振摇几次,要将漏斗向上倾斜,打开活塞,把分液漏斗中的乙醚蒸气放出,关闭活塞,再振摇,如此重复,振摇2~3 min,然后将漏斗放回铁圈中静置。待分液漏斗中两液体层完全分开后,打开上面的塞子,小心旋开活塞,放出下面水层,到快放完时,把活塞关紧些,让水层逐滴流下,一旦分离完毕,立即关闭活塞(静置片刻再观察有无分离完全)。把乙醚层从分液漏斗的上口倒出,密塞储存于小锥形瓶中,然后把水层倒回分液漏斗中,用新的20mL乙醚按同法进行萃取,共3次。合并萃取液。往萃取液中加入无水硫酸镁(或无水硫酸钠)进行干燥,再蒸馏挥发乙醚,留下的即为苯胺(可用蒸馏法进行精制)。

实验图2.14 分液漏斗振荡方式
5)说明
(1)分液漏斗
①分液漏斗的主要应用:
a.分离两种互不相溶也不起作用的液体。
b.从溶液中萃取某种成分。
c.用水、碱或酸洗涤某些物质。
d.在化学反应中用来滴加液体(代替滴液漏斗)。
②使用分液漏斗时注意事项:
a.玻璃塞和活塞要用塑料线扎在漏斗体上,以免掉下打破或调错。
b.活塞要涂上凡士林(上面的玻璃塞可涂可不涂)。
c.放入液体总量不能超过漏斗容量的3/4。
d.不能用手拿分液漏斗的下端。
e.要放在铁圈上,不能开启下面的活塞。
f.打开上面玻塞,才能开启下面的活塞。
g.下层液体通过活塞放出,上层液体从上面的漏斗口倒出。
用分液漏斗进行萃取,如实验图2.14所示,其方法为:以右手手掌顶住漏斗塞子,手指握住漏斗体或它的颈部(根据漏斗大小而定),左手握住漏斗的活塞部分,大拇指和食指按住活塞柄,中指垫在塞座下面,振摇时将漏斗稍倾斜,漏斗的活塞部分向上,以便随时放出乙醚蒸气(其挥发性溶剂也如此),以平衡漏斗内外的压力,否则漏斗内充满蒸气,可能顶开塞子而造成渗漏。
(2)溶剂
根据以下规则选择溶剂:
①被萃取物在此溶剂中有较大的溶解度。
②与被萃取的溶液互不相溶。
③与被萃取出来的溶质容易分离(通常是低沸点溶剂)。把所需的溶剂一次性全部投入萃取,其效果不如分成3~5次进行萃取的好,即应按“少量分次”的原则进行萃取,才能收到好的萃取效果。
(3)化学反应萃取
萃取的另一种形式是以能与被萃取物发生化学反应的萃取剂进行萃取。方法与前面介绍的相同。例如稀酸稀碱可以分别萃取或除去有机相中的酸性和碱性物质。在制备乙酸乙酯时,从反应器蒸出的乙酸乙酯中含有乙酸、乙醚和乙醇的杂质,用碳酸钠溶液洗去其中的酸,用氯化钙溶液洗去其中的乙醇,实际上就是萃取过程。
(4)乳化现象
在萃取过程中(尤其是当溶液呈碱性时)常常会产生乳化现象,静置难以分层,影响两相分离。克服的办法有:
①静置时间延长。
②加入少量电解质(如氯化钠)以盐析破坏溶剂(适用于水与有机溶剂)。
③加入少量稀硫酸(适用于碱性溶液与有机溶剂)。
④进行过滤(适用于存在少量轻质沉淀时)。
(5)脂肪提取器
固体物质的萃取(示教)。固体物质,除了把它粉碎后浸泡在适当的溶剂中进行萃取外,还可以采用脂肪提取器(或称索氏提取器)。这是一种连续提取装置,如实验图2.15所示。

实验图2.15 脂肪提取器装置
1—虹吸管;2—样品;3—蒸气上升管;4—滤纸筒;5—抽提筒;6—冷水
其应用不限于提取脂肪,萃取前,先把固体粉碎,放入滤纸套,置于提取器中,提取器下接圆底烧瓶(内盛溶剂),上接回流冷凝管,以水浴加热,煮沸溶剂,蒸气通过玻璃管中冷凝为液体,滴入中间的提取器,再流入下面的烧瓶中。利用溶剂的回流和虹吸作用,使固体中的成分被萃取出来而集中于烧瓶中,然后再经回收溶剂,精制而获得纯的成分。
实验练习2.5
1.萃取的原理是什么?为什么萃取也是分离提纯有机物的一种方法?萃取适用于哪些情况?
2.萃取所用的溶剂应具备哪些条件?在用量和次数方面应注意什么?
3.怎样正确使用分液漏斗?怎样才能使两层液体分离干净?
4.脂肪提取器工作原理是什么?适用于萃取哪些物质?与分液漏斗萃取有何不同?
实验6 简单分馏
1)实验目的
了解其原理和意义、适用范围,正确选用和组装仪器,掌握实验室常用的分馏装置,进行简单的分馏操作。
2)实验原理
蒸馏和分馏的原理基本相同,实际上分馏便是多次的蒸馏。分馏比蒸馏多装一根分馏柱(或分馏管)。当沸腾的混合物蒸气进入分馏柱后,沸点较高的组分易被空气冷凝成液体,冷凝液中含有较多的高沸点组分,未被冷凝的蒸气中含较多的低沸点组分,冷凝液流下与上升的蒸气接触,两者进行热量交换,结果,上升的蒸气中所含的高沸点组分被流下的较冷的液体所冷凝,而低沸点组分仍呈蒸气上升。与此同时,在流下的冷凝液中,低沸点组分则被上升的较热的蒸气所汽化,而高沸点组分仍呈液态。由于液相与气相在分馏柱中如此反复地进行交换,低沸点组分不断上升,进入冷凝管中,冷凝为液体而馏出,高沸点组分则不断回流到加热的容器中,使沸点不同的组分彼此得到分离。
3)仪器药品
150mL圆底烧瓶,100℃温度计、接液管、水浴锅、沸石、15cm刺形分馏柱或[维氏分馏柱(Vigreux)]25cm直型冷凝管,250mL锥形烧瓶、酒精比重计、60%左右的稀乙醇。
4)操作步骤
取稀乙醇100mL,先用酒精比重计测定并记录数据。然后放入圆底烧瓶中,加数颗沸石。装上分馏柱。分馏柱上端插一温度计,分馏柱的支管与冷凝管相连接,以锥形烧瓶作为接受器,用石棉网加热圆底烧瓶,可以看到蒸气慢慢进入分馏柱,约10 min,蒸气到达柱顶(手摸分馏柱壁,如若烫手,表示蒸气已到手摸的地方)。调节加热温度,使馏液控制在2~3滴/s,这时,分馏柱上温度所示大约80℃,蒸出的是浓度较分馏前高的乙醇。把收集到的馏液再用酒精比重计测定并记录数据(可以几组合起来测定)。与分馏前的数据比较可以看出分馏所收到的效果。
分馏实验的仪器装置如实验图2.16所示。

实验图2.16 简单分馏实验装置

实验图2.17 分馏管实验装置
5)说明
①除了分馏柱,在实验室中还可用分馏管,如实验图2.17所示。分馏效率的高低,与在分馏柱或分馏管内冷凝液和蒸气的接触有关。简单分馏的效率不是很高,相当于2~3次普通蒸馏。一般说来,液体混合物中如沸点相差100℃以上可不用分馏柱,相差25℃左右可按如实验图2.16所示的装置,相差10℃左右需要更精密的分馏装置。
②蒸馏要缓慢进行,分馏的速度要均匀,不能忽快忽慢。在分馏过程中,要有相当量的液体自分馏柱流回烧瓶中,而且还须尽量减少分馏柱的热量散失,减少室温和流动空气的影响,必要时,可在分馏柱处用石棉绳包裹起来。
③分馏装置中,诸如烧瓶放入液体的量、沸石、温度计的位置,冷凝管和热浴的选用等与普通蒸馏相同。
④如果被分馏的混合物中,各组分的沸点相差较大,在低沸点组分蒸完之后,温度计的水银柱迅速下降,此时当提高热浴温度,第二个组分开始蒸出,温度计上的水银柱迅速上升并稳定在某一度数上,直至第二个组分蒸完,分离效果较高,如若各组分的沸点相差不大,分馏所得馏液中会有相当数量的中间馏分,分馏效果较低。本实验中稀乙醇就属于后一种情况,所以分馏后,浓度虽有提高,但乙醇和水不会高度分离,而且乙醇与水组成共沸物——95%的乙醇,用分馏法分离乙醇和水,最多达到这个水平,即含5%的水,那么本实验的分馏所得,将是95%的乙醇。
⑤酒精比重计的外形与普通比重计一样,专门用于测定酒精浓度,虽不精确,但使用简便。使用时要轻取轻放,以免比重计的铅球撞击容器底部或碰坏比重计的铅球而造成破损。读数时要待比重计完全浮起且未碰到容器壁,视线与刻度保持水平位,才能准确读取数据。
实验练习2.6
1.填空
(1)分馏效率的高低与( )有关。
(2)酒精比重计使用时要( ),要读准确数据应( )。
2.判断
(1)一般来说,液体混合物中,如果沸点相差100℃以上,可不用分馏柱。( )
(2)相差25℃左右应用精密的分馏装置。( )
(3)分馏装置中,诸如烧瓶中放入液体的量,温度计的位置,冷凝管和热浴的选用等与普通蒸馏相同。( )
3.简答
(1)在什么情况下须用分馏法提纯液体物质?分馏的原理是什么?
(2)简单分离需要注意什么才能获得较好的分离效果?
(3)如果把分馏柱顶上温度计的水银柱的位置插下些,行吗?为什么?
模块三 有机化合物的性质实验
实验1 烃的性质
1)实验目的
①掌握实验室制取乙炔的方法。
②验证烃的性质,掌握烷烃、稀烃、炔烃的区别方法。
2)实验原理
实验室主要用电石(碳化钙)与水作用制得乙炔。
分子中含有双键和叁键的不饱和烃,易起加成作用而生成饱和烃。饱和烃与高锰酸钾溶液不易起氧化作用,难以发生加成和氧化反应。
3)仪器药品
10mm×10mm、18mm×150mm试管,60mL分液漏斗、250mL蒸馏烧瓶,100℃温度计、250mL抽滤瓶、烧杯、电石、石油醚、戊稀、乙炔、1%四氯化碳溶液,0.5%高锰酸钾溶液、氯化亚铜氨溶液、食盐溶液。
4)操作步骤
(1)乙炔制备
在一个干燥的100mL的蒸馏烧瓶中沿着瓶壁放入一小块碳化钙(5~6 g),瓶口通过塞子安装一个50mL分液漏斗,烧瓶的支管连接尖嘴管。
从分液漏斗中慢慢地将饱和食盐水滴入蒸馏烧瓶中,一次不要滴太多,以控制乙炔发生的速度,然后立即用生成的乙炔做性质实验,实验装置如实验图3.1所示。

实验图3.1 乙炔制备装置
(2)烷、烯、炔性质比较
①取3支试管,各加入1mL溴的四氯化碳溶液,然后分别加入石油醚、戊烯各5滴,第3支试管通入乙炔气体。观察各试管中溶液有否褪色,并说明原因。
②在3支试管中,各加入0.5%的高锰酸钾溶液1mL,然后分别加入石油醚、戊烯各5滴并通入乙炔气体,振摇,观察溶液是否褪色,并说明原因。
③在3支试管中,各加入2mL氯化亚铜氨试剂,然后分别加入石油醚、戊烯各5滴并通入乙炔气体,振摇,观察变化,并解释发生的变化,观察是否有炔金属生成。
④在导管出口处点火,观察乙炔燃烧情况。
5)注意事项
①用饱和食盐水与CaC2作用,目的是为使反应能较为缓和平稳地进行。
②乙炔气体无味,但由于一般工业用的CaC2中往往含有CaS、Ca3P2和Ca3As2等杂质,与水作用生成H2S、PH3。
③AsH3夹杂在乙炔气体中,因此,具有强烈恶臭。H2S还将与银氨溶液、铜氨溶液生成黑色的硫化银和硫化亚铜沉淀,所以,必须使乙炔气体通过CuSO4溶液以除去。
乙炔银和乙炔亚铜在干燥状态时,很不稳定,易发生爆炸,故实验后应加稀HNO3或稀HCl煮沸来破坏它们。
实验练习3.1
1.能使溴的四氯化碳溶液褪色的样品是否都是烯烃或炔烃?为什么?
2.反应介质条件对高锰酸钾氧化实验产生什么影响?
3.做无水三氯化铝实验应注意哪些问题?
实验2 醇、酚、醚的性质
1)实验目的
验证醇、酚、醚的重要化学性质,掌握它们的鉴定方法,了解羟基和苯环之间的关系,进行醇、酚、醚以及伯醇、仲醇、叔醇、多元醇的鉴别实验。
2)实验原理
醇分子中的羟基氢原子不能电离,但容易被金属钠所取代,伯醇、仲醇可以被氧化成醛或酮,叔醇难以被氧化,芳醇性质与脂肪醇相似,酚分子中羟基与芳环连接,由于受芳环的影响,羟基上氢原子的活性增加,芳环上的氢原子由于受羟基影响,活性增加,醚的性质相对地较稳定。
3)仪器药品
18mm×150mm、10mm×10mm试管、250mL烧瓶、温度计、酒精灯、表面皿、蓝色石蕊试纸、编号笔、无水乙醇、工业乙醇、正丁醇、仲丁醇、叔丁醇、2%苯甲醇、丙三醇(甘油)、苯酚、乙醚、金属钠、5%重铬酸钾、0.5%KMnO4、浓HCl、10%CuSO4、5%NaOH、卢卡斯试剂、饱和溴水、1%FeCl3溶液、浓H2SO4、稀H2SO4、酚酞指示剂,稀硝酸、饱和碳酸氢钠、2%苯酚溶液、2%邻苯二酚溶液。
4)操作步骤
(1)醇钠的生成和水解
在试管中加无水乙醇0.5mL,再加入洁净的金属钠一小粒,观察反应放出的气体和试管的加热情况。随着反应的进行,试管内溶液逐渐变稠。当钠完全溶解后,冷却,试管内凝成固体,呈胶状。然后滴加水直到固体消失,再滴入1滴酚酞试液,观察并解释发生的现象。
(2)醇的氧化
取试管3支,分别加入正丁醇、仲丁醇、叔丁醇各3滴,再取试管1支,加3滴蒸馏水做对照。然后各加入稀硝酸1mL,5%重铬酸钾溶液2~3滴,振摇,观察并解释发生的变化。
(3)与卢卡斯试剂的反应
取3支试管,编号,1#试管中加5滴正丁醇,2#试管中加5滴仲丁醇,3#试管中加5滴叔丁醇。在50~60℃水浴中预热片刻,然后同时向3支试管加入卢卡斯试剂各1mL振摇,静置,注意观察并解释所发生的现象。
(4)甘油与氢氧化铜的反应
取试管两支,各加入5%的NaOH 1mL和10%的CuSO4溶液10滴,摇匀。然后分别加入工业乙醇1mL,甘油1mL,振摇,观察变化。然后往深蓝色溶液中滴加浓盐酸到酸性,观察并解释发生的变化。
(5)酚的弱酸性实验
取蓝色石蕊试纸一小片,放在表面皿上,用蒸馏水湿润,在试纸上加1滴2%苯酚溶液,观察并解释发生的变化。另取试管两支,各加苯酚少许和水1mL,振摇,观察现象。往一支试管中加5%的NaOH溶液数滴,振摇,观察现象;往另一支试管中加饱和碳酸氢钠溶液1mL,振摇,观察并解释发生的变化。
(6)溴与苯酚的反应
在试管中加2%苯酚溶液2滴,逐滴加饱和溴水,振摇,直至白色沉淀生成,观察并解释发生的变化。
(7)酚与三氯化铁的反应
取试管3支,分别加2%苯酚溶液,2%邻苯二酚溶液和2%苯甲醇溶液数滴,再各加1%三氯化铁溶液1滴,振摇,观察并解释发生的变化。
(8)酚的氧化反应
在试管中加入2%的苯酚溶液10滴,加5%的NaOH溶液5滴,最后加0.5%的KMnO4溶液2~3滴,观察和解释发生的变化。
(9)醚生成盐的反应
取干燥大试管两支,一支加浓硫酸2mL,另一支加浓盐酸2mL,都放在冰浴中冷却到0℃。再取两支试管各加乙醚1mL,也放在冰浴中冷却。然后在冷却和振摇下,分次把冷的乙醚分别加到上述两试管中去,摇匀。观察现象,注意还有乙醚的气味否?然后往上述两试管中,各倒入冰水5mL,振摇,观察现象,注意乙醚气味重现否?解释这些现象。
5)说明
①卢卡斯的配制方法见附录。不多于6个碳原子的醇溶于卢卡斯试剂并且互相反应,生成不溶解的氯化烷,出现浑浊,静置后分层。
②在酚与三氯化铁的反应中,后者不宜多加,否则三氯化铁的颜色将掩盖反应所产生的颜色,在酚的含量较低时尤其如此。
③乙醚生成盐是放热反应,乙醚的沸点低,为避免乙醚挥发,实验时冷却很必要。
实验练习3.2
1.填空
(1)醇钠的生成和水解应注意( )、( )、( )。
(2)乙醚生成盐时要进行降温的原因是( )。
(3)生成盐加水会发生( )的变化。
2.判断
(1)酚的弱酸性实验,取蓝色石蕊试纸一条,放在表面皿上,用蒸馏水湿润,在苯酚上加的苯酚是纯苯酚。( )
(2)卢卡斯试剂反应时,无论加热与否,都可发生变化。( )
(3)酚与三氯化铁的反应中,后者不宜多加,否则三氯化铁的颜色将掩盖反应所产生的颜色,在酚的含量较低时尤其是这样。( )
3.简答
(1)为什么卢卡斯试剂可以鉴别伯醇、仲醇和叔醇?如何根据反应的现象进行鉴别?应用此反应时有什么限制?
(2)为什么多元醇能溶解氢氧化铜?生成什么物质?
(3)苯酚为什么溶于氢氧化钠溶液而不溶于碳酸氢钠溶液?
(4)怎样解释苯酚容易发生溴化反应生成2,4,6-三溴苯酚?
(5)乙醚生成盐时为什么要进行冷却?生成的盐加水会发生怎样的变化?
实验3 醛、酮的性质
1)实验目的
结合实验所见,联系醛酮的分子结构,认识醛酮的个性和共性,加深对醛酮性质的理解,掌握醛酮的鉴别方法,进行醛酮的鉴别实验。
2)实验原理
脂肪族醛酮在结构上都含有羰基,因此,都能与氨的衍生物、氢氰酸、亚硫酸氢钠反应,具有α-甲基的醛酮还能起碘仿反应。醛和酮在结构上的不同,可引起某些不同的反应。例如氧化反应和希夫反应,由于芳环的影响,芳香族醛酮与脂肪族醛酮在性质上存在有一定的区别。
3)仪器药品
18mm×150mm、10mm×100mm试管、250mL烧杯、石棉网、酒精灯、100℃温度计、40%乙醛溶液、丙酮、苯甲醛、37%甲醛溶液(福尔马林)、饱和亚硫酸氢钠、碘-碘化钾溶液、5%的NaOH溶液,2,4-二硝基苯肼试剂、斐林试剂(A)、斐林试剂(B)、希夫试剂、95%乙醇、稀HCl、2%氨水、2%硝酸银。
4)操作步骤
(1)与2,4-二硝基苯肼试剂的反应
取试管4支并编号,各加2,4-二硝基苯肼试剂1mL,然后分别加入福尔马林、乙醛、丙酮、苯甲醛各2滴。振摇试管,观察并解释发生的变化。
(2)与亚硫酸氢钠的反应
取2支干燥试管,编号,各加入饱和亚硫酸氢钠溶液10滴,然后分别加入丙酮、苯甲醛各5滴,振摇,把试管用冰水冷却,注意观察变化。若无晶体析出再加95%的乙醇1mL。往生成结晶的试管中滴加稀盐酸,观察并解释发生的变化。
(3)与斐林试剂的反应
在大试管中将斐林溶液A和B各2mL混合,均匀,然后分装到4支试管中,分别加入福尔马林、乙醛、丙酮、苯甲醛各1滴,振摇,放在80℃水浴中加热2~3 min,观察并解释发生的现象。
(4)与托伦试剂的反应
在洁净的大试管中加入2%的硝酸银2mL,加入1滴5%的NaOH溶液,然后在振摇下滴加2%氨水,直到生成的氧化银沉淀恰好溶解为止。把配好的溶液分装于洁净的4支试管中,然后分别加福尔马林、乙醛、丙酮、苯甲醛各1滴,振摇,放在80℃的水浴中加热,观察并解释发生的变化。
(5)与希夫试剂的反应
取3支试管,各加希夫试剂1mL,然后分别加福尔马林、乙醛、丙酮各1滴,摇匀,观察并解释发生的变化。
(6)与碘仿试剂的反应
取试管4支,分别加福尔马林、乙醛、95%乙醇、丙酮各1滴,再各加入碘溶液10滴,然后分别滴加5%的NaOH溶液,到碘的颜色恰好褪去,观察并解释发生的变化。
5)说明
①斐林试剂、托伦试剂、希夫试剂、饱和亚硫酸氢钠溶液,2,4-二硝基苯肼试剂的配制方法见附录。
②斐林溶液A是硫酸铜溶液,斐林溶液B是酒石酸钾钠和氢氧化钠的溶液,两者混合而成为深蓝色溶液。斐林试剂和醛反应,由蓝色转绿变黄而生成砖红色氧化亚铜,甚至进一步转变为金属铜。酮不能和斐林试剂发生反应(斐林试剂若加热久了也会产生砖红色氧化亚铜沉淀,不应认为酮也能与斐林试剂发生反应)。脂肪族醛、α-羟基酮(如还原糖)易被氧化,有斐林反应,芳香族醛酮通常无斐林反应。
③进行托伦反应必须注意:
a.试管壁要十分洁净,否则不能形成明亮的银镜。
b.溶解氧化银的氨水不能过多,否则影响实验效果。
c.托伦试剂应临时配制,不宜久置,以免生成具有爆炸性的黑色氮化银(Ag3N)。
d.反应物不可直接用火加热,以免生成爆炸性的雷酸银(Ag2ON2C2)。其他容易氧化的物质如糖、多元酚、氨基酚、羟胺等也有银镜反应(生成)。
④希夫试剂由品红溶液加入二氧化硫到桃红色褪尽而成,它与醛反应呈紫红色(注意与原来的颜色不同)。进行希夫反应时注意:
a.此试剂不能受热,不能呈碱性,否则失去二氧化硫,而恢复品红的颜色,应在冷却或酸性条件下与醛进行反应。
b.一些酮和不饱和化合物能与亚硫酸作用使试剂恢复品红原来的颜色(不是紫红色)不能认为是阳性反应。
⑤乙醛和甲基酮,以及能氧化生成乙醛和甲基酮的醇都有磺仿反应。反应用样品(如丙酮)不能过多,加碱不能过量,加热不能过久,否则都能使生成的碘仿溶液分解而干扰反应,沉淀消失。
⑥因醛酮与亚硫酸氢钠的反应是可逆的,加入过量的亚硫酸氢钠,有利于加成产物的晶体析出。
实验练习3.3
1.填空
(1)进行托伦反应时必须注意( )、( )。
(2)希夫反应试剂不能是( ),不能( ),否则将失去( ),而恢复品红原来的颜色。
(3)进行碘仿反应时应注意( )和( )以及能氧化生成乙醛和甲基酮的醇都有碘仿反应。
2.判断
(1)托伦反应中甲醛、苯甲醛、乙醛、丙酮都可以产生银镜。( )
(2)斐林反应中,无论是醛或酮都可与斐林试剂发生反应。( )
(3)托伦试剂配置时不受时间的限制,放多久也无所谓,并且可直接用火加热。( )
3.简答
(1)鉴别醛和酮有哪些方法?
(2)斐林溶液A和B为什么要临时混合使用?酒石酸钾钠为什么能溶解氢氧化铜?
(3)进行银镜反应应注意什么?
(4)哪些物质有碘仿反应?进行碘仿反应时,应注意什么?
(5)希夫试剂是怎样配制的?使用希夫试剂时应注意什么?
实验4 羧酸及其衍生物的性质
1)实验目的
掌握羧酸及其衍生物的主要化学性质,对乙酰乙酸乙酯的性质和结构进行验证。
2)实验原理
羧酸中的羧基上的氢原子可以部分电离而具有弱酸性。其中的—OH可以被卤素、酰氧基、烃氧基和氨基取代而成羧酸衍生物。羧基中的羰基和羟基之间由于存在p-π共轭效应,使羧酸的酸性较醇强,而羰基失去了典型羰基的特性。
羧酸衍生物都能进行水解、醇解和氨解,其化学活性顺序为酰卤>酸酐>酯>酰胺。在一定条件下,它们可以相互转化。
3)仪器药品
试管、100℃温度计、酒精灯、250mL烧杯、广泛试纸、乙酰乙酸乙酯、10%的NaOH、稀H2SO4、0.5%的KMnO4、浓H2SO4、1%的FeCl3、饱和NaCl溶液、2,4-二硝基苯肼、醋酸、甲酸、苯甲酸、硬脂酸、冰醋酸、无水乙醇、草酸、乙酰氯、乙酸酐、乙酰胺、苯甲酰氯、脲、水杨酸、乙酰水杨酸、5%的CuSO4溶液、托伦试剂、溴水、甲基橙试剂、浓HCl、苯甲酰氯。
4)操作步骤
(1)酸性
取试管2支,各加入蒸馏水1mL,再分别加入醋酸5滴和甲酸5滴,分别用玻棒蘸取少许溶液加在pH试纸上,观察现象。在剩余的溶液中加入几滴甲基橙试剂,观察现象。
(2)成盐反应
取试管2支,各加入苯甲酸0.2 g和硬脂酸0.1 g,再各加水1mL,观察是否溶解;然后再加入10%NaOH溶液数滴,振摇,观察是否溶解;最后加浓HCl数滴,观察现象并说明原因。
(3)酯化反应
取试管1支,加入无水乙醇2mL,在振摇后慢慢加入1mL浓H2SO4和1mL冰醋酸,在60~70℃水浴中加热10 min,稍冷后,加水5mL,观察液面情况并闻其气味。
(4)甲酸和草酸的还原性
①取试管两支,分别加甲酸0.5mL和草酸0.2 g,再各加稀H2SO41mL和0.5%的KMnO4溶液0.5mL,加热至沸,观察现象。
②取托伦试剂2mL,置于洁净试管中,加甲酸5~6滴,放在85~95℃的水浴中加热,观察现象。
(5)羧酸衍生物的性质
①水解和醇解。
a.取试管3支,各加3mL蒸馏水和2~3滴乙酰氯、乙酸酐、乙酰胺、振摇,观察其变化。用石蕊试剂试验每支试管中的内容物和生成的气体,并说明原因。
b.取试管3支,各加入无水乙醇1mL,再分别加入1mL乙酰氯、苯甲酰氯和醋酸酐,振摇,静置2 min(后两者可加热2~3 min),然后加2mL饱和NaCl溶液,醋酸酐中尚需加10%的NaOH中和,振摇,观察有无分层并闻其气味,进行比较分析。
②缩二脲反应。在干燥试管中放入脲少许,在酒精灯上加热,使脲先熔化,然后放出氨,变稠,凝固。放冷后加入1~2mL温水,使其溶解。加几滴10%NaOH溶液,再加1滴5%的CuSO4溶液,注意出现的颜色变化,并解释其现象。
(6)乙酰乙酸乙酯的性质
①具有酮的性质。与2,4-二硝基苯肼的加成反应:取2,4-二硝基苯肼试剂1mL,加入乙酰乙酸乙酯3~4滴,振摇片刻,观察现象。
②具有烯醇的性质。与三氯化铁和溴水的反应:取水2mL,加乙酰乙酸乙酯3~4滴,振摇后加入1%的FeCl3溶液2~3滴,反应液呈紫红色,再加溴水数滴,反应液变为无色,但放置片刻后又显紫红色。解释上述变化过程。
(7)乙酰水杨酸与FeCl3的反应
取试管2支,各加入1%的FeCl3溶液1~2滴,再加水1mL,然后分别加入少许水杨酸和乙酰水杨酸晶体,振摇,观察和解释颜色的变化。
5)注意事项
①乙酰氯与水、乙醇反应都十分剧烈,有时会有爆破声,滴加时要小心,以免液体飞溅。
②酰卤一般都有催泪性,苯甲酰卤尤甚,故有关实验应在通风橱中或室外进行。
③乙酰乙酸乙酯与FeCl3的呈色反应,是因为其烯醇式与FeCl3生成了紫红色的配位化合物。加溴水后,溴与烯醇式结构中的碳-碳双键加成,然后脱水1分子HBr,使烯醇式转变为酮式的溴化衍生物。烯醇即不再存在,原与FeCl3所呈的颜色也就消失了。但酮式与烯醇式间存在互变动态平衡。为了恢复已被破坏了的平衡状态,又有一部分酮式转变为烯醇式,与原已存在于反应液中的FeCl3作用而呈紫红色。
实验练习3.4
1.填空
(1)羧基上的氧原子可以部分( )而具有( )。
(2)乙酰氯与水、乙醇都反应( ),有时会有( )声,滴加时要小心,以免液体飞溅。
(3)本实验应注意良好通风,因为酰氯都具有( )。
(4)羧酸衍生物的化学活性顺序为( )。
2.判断
(1)所用的油脂可以选用硬化油与适量猪油混合后使用。( )
(2)若乙酰氯纯度不够,往往含有磷化物,久置将产生浑浊或析出白色沉淀,从而影响实验的结果。( )
(3)测定皂化是否完全,取几滴皂化液放入一试管中,加入2mL蒸馏水,加热并不断振荡,如果这时没有油滴分出表示皂化反应已经完全,如果皂化尚不完全,则需将油脂再皂化数分钟,并再次检验皂化是否完全。( )
3.简答
(1)如何鉴别甲酸、乙酸与草酸?
(2)为什么酯化反应要加硫酸?为什么酯的碱性水解比酸性水解效果好?
实验5 胺的性质
1)实验目的
熟悉验证胺的主要化学性质,掌握伯、仲、叔三种胺类的鉴别方法,进行脂肪胺和芳香胺以及伯、仲、叔胺的鉴别实验。
2)实验原理
胺是一类碱性化合物,可与酸作用生成盐。氨基中的氢原子可被酰基取代,即酰基化反应;叔胺的氮原子上无氢原子,故不能起酰基化反应。通常用苯磺酰氯在碱性溶液中与胺反应来鉴别和分离伯、仲、叔胺,亚硝酸钠也可用来鉴别伯、仲、叔胺。芳香族胺类能起重氮化反应,生成重氮盐。胺类除由硝基化合物或腈还原制取外,还可用卤代烃氨解等方法制取。
3)仪器药品
10mm×100mm、18mm×150mm试管、酒精灯、5%的NaOH溶液、10%的NaOH溶液、稀H2SO4、饱和溴水、β-萘酚碱性溶液、苯胺、N-甲基苯胺、N,N-二甲基苯胺、饱和重铬酸钾溶液、亚硝酸钠、三氯甲烷(氯仿)、浓HCl。碘化钾-淀粉试纸、蓝色石蕊试纸。
4)操作步骤
(1)胺的碱性
在试管中加水1mL,2滴苯胺,振摇,溶解否?然后滴加浓盐酸1~2滴,振摇,溶解否?再用10%的NaOH溶液中和,观察并解释产生的变化现象。
①苯胺与溴水的反应。在试管中加水5mL,加苯胺1滴,振摇使其溶解。取出2mL,放在另一试管中,逐滴加入饱和溴水,观察并解释所发生的变化。
②取上述剩余的苯胺水溶液,加饱和重铬酸钾溶液3滴,稀H2SO410滴,振摇,观察并解释发生的变化。
③胺与亚硝酸钠的反应。取3支大试管,编号,分别加入苯胺,N-甲基苯胺和N,N-二甲基苯胺各5滴,然后各加入1mL浓HCl和2mL水。另取试管3支,各加入0.3 g亚硝酸钠晶体和2mL水,振摇使其溶解。并把所有试管放在冰浴中冷却到0℃。
1#试管:往其中慢慢滴加亚硝酸钠溶液,不断振摇,直到取出反应液1滴,滴在碘化钾-淀粉试纸上,出现蓝色,停止滴加亚硝酸钠溶液,加入数滴β-萘酚碱性溶液,析出橙红色沉淀。
2#试管:往其中慢慢滴加亚硝酸钠溶液,有黄色固体或黄色油状物析出,加碱到碱性而不变色。
3#试管:按同法加入亚硝酸钠溶液,有黄色固体生成,加碱到碱性,固体变绿色。解释上述一系列变化,并能得出相应的结论。
(2)苯胺的成胩反应
在试管中加入1滴苯胺,4滴氯仿、10滴10%的NaOH溶液,加热到沸腾,注意臭气(胩很毒!很臭!本实验应在毒气柜中或室外通风处进行)。
(3)胺的鉴别(兴斯堡反应)
取试管3支,分别加苯胺、N-甲基苯胺、N,N-二甲基苯胺各3~5滴,再各加10%的NaOH溶液2mL,苯磺酰氯3~4滴,塞住管口,用力振荡后,在酒精灯上微热(不要煮沸)。冷却,过滤,滤渣加水5mL,溶解表示是苯磺酰胺的钠盐。再于溶液中加6mL的HCl使其呈酸性,用玻璃棒摩擦管壁,析出沉淀者为伯胺;滤渣不溶于水者,加浓盐酸5滴,用力振荡后溶解者为叔胺;滤渣中加浓盐酸仍然不溶者为仲胺。
5)说明
①苯胺难溶于水,苯胺的盐酸盐易溶于水,其硫酸盐难溶于水。
②亚硝酸不稳定,所以临用时以亚硝酸钠和盐酸反应生成。芳香族伯胺的重氮化反应,如反应已达终点,即有亚硝酸过剩,它使碘化钾氧化成碘,碘使淀粉呈蓝色,所以可用碘化钾-淀粉试纸检查重氮化反应的终点。

③β-萘酚的配制方法:把5 g的β-萘酚溶于5mL 5%的NaOH溶液中。
④N,N-二甲基苯胺中,HCl不能多加,加多了产物呈红棕色,这是由于对亚硝基-N,N-二甲基苯胺转变成醌式结构物的缘故。
⑤N,N-二甲基苯胺和苯磺酰氯共热,有时能生成蓝色或紫色染料。
实验练习3.5
1.填空
(1)伯胺与( )、( )加热反应生成异腈(胩),( )有恶臭,可用于鉴别伯胺。
(2)苯胺易被氧化,用重铬酸钾和硫酸作氧化剂时,先呈( ),最后被氧化成( )的苯胺黑。
(3)苯胺与溴水反应生成( )的( )色沉淀,其情形与苯酚相似。
2.判断
(1)苯胺可溶于水,苯胺的盐酸难溶于水。( )
(2)亚硝酸不稳定,所以临用时,以亚硝酸钠和盐酸反应生成。( )
(3)苯香族反应的重氮化反应中,如反应已达终点,即有亚硝酸过剩,它使碘化钾氧化成碘,碘使淀粉成蓝色,所以可用碘化钾淀粉试纸检查重氮化反应的终点。( )
3.简答
(1)怎样鉴别伯胺、仲胺、叔胺?怎样鉴别芳香族伯胺和脂肪族伯胺?
(2)苯胺的重氮化反应为什么要在0~5℃时进行?为什么要检查反应终点?怎样检查?
(3)胺的碱性强弱有哪些规律?如何利用胺类的碱性来改变溶解性?
(4)苯胺为什么与苯酚一样,与溴反应生成三溴苯胺?试以电子效应进行解释。
实验6 糖的性质
1)实验目的
加深对糖的化学性质的理解,验证糖类物质的主要化学性质,掌握糖类的鉴别方法,进行糖类物质的鉴别实验。
2)实验原理
糖类包括单糖、双糖和多糖等。可由多糖经水解而制备单糖。单糖按其官能团区分为醛糖和酮糖,单糖的结构可看作是一个多羟基醛(醛糖)或多羟基酮(酮糖)。所以单糖具有一般醛酮的性质,如和托伦、斐林试剂的反应,和氨(或胺)的衍生物的反应等。糖与一般醛、酮的分子结构相比,单糖的羰基与分子内的羟基形成环状半缩醛、半缩酮的结构,故其化学性质与一般醛、酮相比又有些不同。例如:不与品红反应,与亚硫酸氢钠加成反应困难。另外单糖还有自身特有的显色反应,和α-萘酚及间苯二酚的显色反应都属于糖的鉴别方法。通过差向异构化作用,醛糖和酮糖还可以相互转化。
3)仪器药品
10mm×100mm、18mm×150mm试管、250mL烧瓶、酒精灯、100℃温度计、显微镜、表面皿、玻棒、pH试纸、吸管、载玻片、斐林试剂A、斐林试剂B、托伦试剂、2%果糖、2%葡萄糖、2%麦芽糖、2%蔗糖、10%果糖、10%葡萄糖、10%麦芽糖、10%蔗糖、2%淀粉糊、10%淀粉糊、浓HCl、浓H2SO4、塞利凡诺夫试剂、莫利许试剂、10%的NaOH溶液、苯肼试剂、0.1%碘溶液、班氏试剂、15%醋酸钠溶液。
4)操作步骤
(1)糖的还原性
①与斐林试剂的反应。取斐林溶液A和B各2.5mL混合均匀后,分装于5支试管,编号,放在水浴中温热。再分别滴入2%的葡萄糖溶液、2%的果糖溶液、2%的麦芽糖溶液、2%的蔗糖溶液、2%的淀粉糊各5滴,摇匀,放在水浴中加热到100℃,2~3 min,观察并解释发生的变化。
②与班氏试剂的反应。取试管5支,编号。各加班氏试剂1mL,用小火微微加热到沸腾,再分别加入上述的糖溶液和淀粉糊各5滴,摇匀,放在沸水中加热2~3 min,观察并解释发生的变化。
③与托伦试剂的反应。取洁净的试管5支,编号。各加托伦试剂2mL,再分别加入上述各种糖溶液和淀粉糊各5滴,把试管放在60~80℃的热水浴中加热数分钟,观察并解释发生的变化。
(2)糖的颜色反应
①莫利许反应。取试管5支,编号。分别加入10%的葡萄糖溶液、10%的果糖溶液、10%的麦芽糖溶液、10%的蔗糖溶液和10%的淀粉糊各1mL,再各加2滴莫利许试剂,摇匀。把盛有糖液的试管倾斜成45°角,沿管壁慢慢加入浓硫酸1mL,使硫酸与糖液之间有明显的分层,观察两层之间的颜色变化。数分钟内如无颜色出现,可在水浴上温热再观察变化(注意不要振动试管)并加以解释。
②塞利凡诺夫反应。取试管5支,编号。各加塞利凡诺夫试剂1mL,再分别加入上述2%的各种糖溶液和淀粉糊各5滴,摇匀,浸在沸水中加热2 min。观察并解释发生的变化。
(3)淀粉与碘的反应
往试管中加水4mL,1滴碘溶液和1滴2%的淀粉糊,观察颜色变化。将此溶液稀释到浅蓝色,加热,再冷却,观察并解释发生的变化。
(4)生成糖脎的反应
取试管4支,编号。分别加入10%的葡萄糖溶液、10%的果糖溶液、10%的麦芽糖溶液、10%的蔗糖溶液各10滴,再各加水10滴,苯肼试剂10滴、15%的醋酸钠10滴,混合均匀。在沸水中加热,不断振摇,记录成脎的时间(若在20 min后,尚无晶体析出,待放冷后再观察)。观察并解释发生的变化。上述混合物慢慢冷却后,各取出1滴放在载玻片上,以低倍显微镜观察并绘出结晶体的形状。
(5)蔗糖与淀粉的水解
①在试管中加入10%的蔗糖溶液4mL,浓盐酸1滴,摇匀,放在沸水中加热3~5 min,放冷,取出2mL,用10%的NaOH溶液中和至弱酸性,加班氏试剂1mL,摇匀,放在水浴中加热,观察并解释发生的变化。
②在试管中加入2%的淀粉糊4mL,浓盐酸2滴,摇匀,放在沸水中加热,取出少许,用碘溶液试验不变色;取出2mL,用10%的NaOH溶液中和至弱碱性,加班氏试剂1mL,摇匀,放在水浴中加热,观察并解释发生的变化。
5)说明
①班氏试剂的配制方法见附录。这是斐林试剂的改进,它较稳定,可以储存。不必临时配制。而且遇还原糖时反应灵敏。
②莫利许反应很灵敏,但不专一,不少非糖物质也能得阳性结果,所以反应阳性不一定是糖,而反应阴性则肯定不是糖。糖与无机酸作用生成糖醛及其衍生物,莫利许试剂中的α-萘酚与它起缩合反应而生成紫色化合物。
③塞利凡诺夫试剂是间苯二酚的盐酸溶液,配制方法见附录。与己糖共热时,先生成5-羟甲基糖醛,后者与间苯二酚缩合生成红色化合物。由于在同样条件下,5-羟基糖醛的生成速度,酮糖比醛糖快15~20倍,所以在短时间内,酮糖已呈红色,而醛糖还未变化,可以用来鉴别酮糖。
④在糖脎反应中加入醋酸钠,使盐酸苯肼转变为醋酸苯肼,后者是弱酸强碱的盐,容易水解生成苯肼而与糖反应生成糖脎。苯肼的毒性较大,操作时应小心,如不慎触及皮肤,应先用稀醋酸洗,之后用水洗,糖脎都是黄色结晶,不同的糖析出糖脎的时间不同,果糖2 min,葡萄糖4~5 min,麦芽糖冷却后才析出,蔗糖需转化后才生成糖脎,约需30 min。成脎反应不仅是还原糖,也是所有α-羟基酮的共同特性。
实验练习3.6
1.填空
(1)糖分( )和( )两大类。
(2)有一些特殊反应可以鉴别糖类物质,它们是( )、( )、(
)和( )。
(3)无论单糖、双糖还是多糖都能与( )在硫酸存在下,出现紫红色。
(4)酮糖与间苯二酚的盐酸溶液反应,在短时间内呈( )色,( )则不能。
2.判断
(1)凡是糖分子中带有半缩醛结构的,都与斐林试剂反应。( )
(2)果糖、葡萄糖、麦芽糖、蔗糖、淀粉在与托伦试剂的反应中都可出现银镜。( )
(3)果糖、葡萄糖、甘露糖的结晶形状一样,麦芽糖、乳糖、木糖的结晶形状一样。( )
3.简答
(1)用什么方法可以证明化合物是糖?是还原糖或非还原糖?醛糖或酮糖?
(2)在糖的还原性实验中,蔗糖与斐林试剂、班氏试剂长时间加热后,也可能会得到阳性结果,这是什么原因?
(3)糖类物质有哪些特性?糖分子中的羟基、羰基与醇分子中的羟基和醛酮分子中的羰基有什么关系?
(4)斐林试剂和班氏试剂有哪些异同点?
实验7 糖的旋光度测定
1)实验目的
了解旋光仪的构造,熟悉原理、使用方法和比旋光度的计算。
2)实验原理
糖有旋光性,例如自然界的葡萄糖是右旋的,果糖是左旋的,测定糖的旋光度有助于鉴定是哪一种糖,可以检验糖的纯度和含量。
测定旋光度的仪器叫旋光仪,光线从光源射出,经过起偏镜,成为偏振光,再通过盛有旋光性物质的测定管时,由于物质的旋光性,使偏振光的偏振面发生改变,不能通过第2个棱镜(检偏镜)时,必须扭转一定的角度才能通过。检偏镜旋转的角度可从标尺盘上移动的度数读出,即为该物质在此条件时的旋光度。
比旋光度是旋光性物质的重要物理常数,物质的旋光度与测定物质溶液的浓度、溶剂、温度、测定管长度和光源的波长有关。
物质的比旋光度[α]与所得的旋光度α之间的关系为:

式中,[α]为比旋光度;t为测定温度;λ为波长(钠光D);a为旋光度(旋光仪上的读数);L为盛液长度(dm);C为溶液的浓度(g/mL)。
3)仪器药品
目测旋光仪、150mL烧杯、100mL容量瓶、温度计、分析天平、葡萄糖、蒸馏水。
4)操作步骤
(1)旋光仪零点的校正
在测定样品前,先须校正旋光仪的零点。将旋光仪中的测定管洗净,装上蒸馏水使液面凸出管口,将玻璃盖沿着管口边缘轻轻平推盖好,不能留有气泡。旋上螺丝帽盖,使其不漏水(不要过紧)。将测定管擦干,放入旋光仪内,罩上盖子,开放钠光灯,调节仪器的目镜的焦点,使旋钮向左或向右旋转时,光域的中心明暗分界线清晰、锐利。然后旋转旋钮使光域中心两边明暗一致(见实验图3.2)。记录读数,重复操作至少5次,取其平均值。

实验图3.2 旋光仪三分视场变化示意图
(2)旋光度的测定
准确称取葡萄糖10 g,在100mL容量瓶中配成溶液。溶液须透明无颗粒,无纸屑,否则再用干滤纸过滤。用配好的溶液洗涤测定管两次。按上法把溶液装入测定管中,测定旋光度。再旋转旋钮使光域两边的明暗一致,读数(也须重复5次而取平均值)。这一读数与零点之间的差值即为该葡萄糖溶液的旋光度。记下测定管长度,溶液的温度。
注意观察葡萄糖的变旋光现象。
待旋光度稳定后,按公式计算葡萄糖的比旋光度。
5)说明
①测定管在装入液体后,螺丝帽盖不能旋得太紧,否则产生扭力使管内有空隙,将影响旋光,所以只要不流出液体即可。
②一般刻度盘的最小刻度为0.25°,加上游标,可读到0.01°。
实验练习3.7
1.填空
(1)进行糖的旋光度测定,其目的是( )。
(2)光线从光源射出,经过起偏镜成为( )光。
(3)检偏镜旋转的角度可以从标尺盘上移动的度数读出,即为该物质在此条件时的( )。
(4)物质的比旋光度( )与所测得的旋光度( )之间的关系为( )。
2.判断
(1)一般刻度盘的最小刻度为0.25°,加上游标可读到0.01°。( )
(2)测定旋光度时,旋转旋扭使光域中心两边明暗一致,记录读数,反复操作至少3次,取其均值。( )
3.简答
(1)葡萄糖以及其他还原糖为什么有变旋光现象?
(2)比旋光度与旋光度有什么关系?有什么不同?
(3)使用旋光仪应注意什么?根据测得的数据可以解决什么问题?
模块四 有机化合物的制备实验
实验1 乙酸乙酯的制备
1)实验目的
熟悉酯化反应的原理及应用,学习酯的制备方法,完成乙酸乙酯的制备操作。
2)实验原理
羧酸和醇在少量浓硫酸催化下发生酯化反应而生成酯。生成的酯可以水解成为羧酸和醇,所以酯化反应是可逆反应,硫酸能催化它较快达到平衡。当反应达到平衡时,只有2/3的酸和醇能转变为酯。为了提高酯的产率,可以采用下列措施:
①增加酸或醇的用量。
②加浓硫酸把生成物之一的水吸收除去。
③在反应时不断移去生成的酯。
在本实验中,乙醇比乙酸便宜,所以乙醇是过量的。生成的乙酸乙酯随即被蒸馏而出,以破坏平衡。
3)仪器药品
150mL三颈烧瓶、250mL直形冷凝管、125mL分液漏斗、100℃、200℃温度计、接液管、可调温电炉、95%乙醇、冰醋酸、浓硫酸、饱和食盐水、无水硫酸镁、150mm刺形分馏柱、60mL蒸馏烧瓶、50mL锥形瓶、砂浴盘、2%碳酸钠溶液、50%氯化钙溶液。
4)操作步骤
乙酸乙酯的实验装置如实验图4.1所示。

实验图4.1 乙酸乙酯的制备装置
在150mL三颈烧瓶中,放入乙醇10mL,在振摇下分次加入10滴浓硫酸,混合均匀,加2~3粒沸石。瓶口两侧装置温度计和滴液漏斗,它们的末端均应浸入液体中。烧瓶口装置刺形分馏柱,它的上端用软木塞封闭,它的支管与冷凝管连接,下口安接液管,最后是接受瓶。装置完毕,在砂浴中心加热,反应液温度为110℃时,已有液体蒸出。在此温度下,将20mL冰醋酸与20mL乙醇的混合物由滴液漏斗慢慢滴入反应瓶中(约70 min滴完)。反应温度保持为110~120℃。滴完后继续保持120℃下10 min左右。把收集到的馏液放在分液漏斗中,以10mL饱和食盐水洗涤,分离下面的水层后,上层液体再用20mL20%的碳酸钠溶液洗涤,一直洗到上层液体pH值7~8为止。然后再用10mL蒸馏水洗一次。用10mL50%的氯化钙溶液洗涤两次。静置,弃去下面水层,上面酯层自分液漏斗上口倒入干燥的50mL锥形烧瓶中,加入适量无水硫酸镁(或无水硫酸钠)干燥,加塞、放置,直至液体澄清,得到乙酸乙酯粗品。通过滤斗把乙酸乙酯粗品滤入60mL蒸馏烧瓶中,加2~3粒沸石,在水浴中加热蒸馏(参阅“蒸馏及沸点测定”实验装置),用已知重量的50mL锥形烧瓶收集73~78℃的馏液,称重、密塞、贴上标签。计算产率,上交。
5)说明
①理论产量按冰醋酸计算。乙酸乙酯的分子量为88.10,冰醋酸用量为0.348 mol,理论产量为:
a.0.348×88.10=33.60(g)。

②反应温度必须严格控制在110~120℃,温度低反应不完全,温度高会增加副产物(如乙醚)而降低酯的产量。
③温度计的水银球部分应距离烧瓶底约1cm,使其能正确指示温度。滴液漏斗的末端应插入反应物液面以下约1cm(如漏斗的末端不够长,可用胶管或橡皮管接上一段玻璃管)。若在液面之上,滴入的乙醇受热蒸发,不能参与反应,影响产量,若插入太深,因压力关系有可能使反应物难以滴入。
④要控制从滴液漏斗滴入反应物的速度,使其与馏液蒸出的速度大体保持同步。如滴加太快会使醋酸和乙醇来不及作用而被蒸出,或使反应物温度迅速下降,两者都将影响产量。
⑤乙酸乙酯粗品须经一系列的洗涤,其目的如下:
a.乙酸乙酯粗品中尚含少量乙醇、乙醚、醋酸和水,用饱和食盐水可洗去部分乙醇和醋酸等水溶性杂质,同时可以减少乙酸乙酯在水中的溶解损失。
b.碳酸钠溶液可洗去残留在酯中的酸性物质如醋酸。
c.用水洗去酯中残存的碳酸钠,否则,后面用氯化钙溶液洗去酯中的乙醇时,将产生碳酸钙沉淀而造成分离的困难。
d.用50%的氯化钙溶液洗去混在酯中的乙醇。
⑥本实验所用的酯化方法仅适用于合成一些低沸点酯类。此方法的优点是反应能连续进行,用较小容积的反应瓶可制得较大量的产物。用此方法制备高沸点的酯类效果不太理想。
⑦乙酸乙酯与水或醇能形成二元和三元共沸物,其组成及沸点如下表:
实验表4.1 共沸物组成及沸点

可见,若洗涤不干净或干燥不够时,都会有较多的前馏液,影响产率。
实验练习4.1
1.填空
(1)乙酸乙酯粗品中尚含有少量乙醇、( )、( )和( ),用饱和食盐水可洗去部分乙醇等水溶性杂质,同时可以减少乙酸乙酯在( )中的溶解损失。
(2)用水主要洗去酯中存留的( ),否则用氯化钙溶液洗涤酯中的乙醇时,将产生( )沉淀,而造成分离的困难。
(3)从理论上讲,当反应达到平衡时,只有( )量的酸和醇能转化成酯。
2.判断
(1)在实验中,乙醇比乙酸便宜,所以乙醇是过量的,生成的乙酸乙酯随即被蒸馏而出,以破坏平衡。( )
(2)反应温度必须严格控制在110~120℃,温度低反应不完全,温度过高,会增多副产物(如乙醚)而降低酯的产量。( )
(3)要严格控制从滴液漏斗滴入反应物的速度,使与馏液蒸出的速度大体保持同步,如滴加太快会使醋酸和乙醇来不及作用而被蒸出,或使反应物温度迅速下降,都将影响产量。 ( )
3.简答
(1)酯化反应有什么特点?本实验采取哪些措施使反应尽量向正反应方向完成?
(2)本实验有哪些副反应?生成哪些副产物?乙酸乙酯粗品可能有哪些杂质?怎么来的?如何除去?
(3)在酯化反应中用作催化剂的硫酸,一般只取醇质量的3%,本实验为什么多用了大约一倍?
(4)哪些是本实验成败的关键所在?
(5)如果醋酸使用过量是否可以?为什么?
实验2 乙酰水杨酸的制备
1)实验目的
掌握乙酰水杨酸的制备原理,认识乙酰化反应的原理及应用,进一步熟悉抽滤、重结晶等基本操作技能及方法。完成乙酰水杨酸的制备。
2)实验原理
水杨酸分子中的羟基可与乙酰氯、醋酸酐(甚至冰醋酸)进行乙酰化反应,生成乙酰水杨酸。

反应速度以酰氯最快,醋酸酐次之,冰醋酸最慢。为操作方便,价格便宜,收率高,本实验常以醋酸酐作为乙酰化试剂。
乙酰水杨酸(阿司匹林)为白色晶体,熔点135~136℃。无嗅,微带酸味,难溶于水,易溶于醇、醚、氯仿等有机溶剂。在干燥空气中稳定,在潮湿的空气中易水解。故应密封存放于干燥通风处。
3)仪器药品
125mL锥形瓶、100℃温度计、250mL烧杯、水泵(或真空泵)、布氏漏斗、滴管、石棉网、酒精灯、表面皿、量筒、浓盐酸、饱和碳酸钠溶液、水杨酸、醋酸酐、1%三氯化铁溶液、玻璃棒。
4)操作步骤
取2 g水杨酸放入125mL锥形瓶中,加入5mL醋酸酐,随后滴加5滴浓盐酸,振摇锥形瓶使水杨酸全部溶解。然后在70℃的水浴中加热5~10 min,放置冷却至室温,即有乙酰水杨酸晶体析出。否则可用玻璃棒摩擦锥形瓶壁(或在冰水中冷却),促其析出晶体。晶体析出后,加50mL蒸馏水继续在冰水中冷却,直至晶体完全析出。抽滤,用少量冰水洗涤晶体,尽量抽干,把晶体摊在表面皿上晾干。
将粗品乙酰水杨酸放入250mL烧杯中,在搅拌下,加入25mL饱和碳酸钠溶液,继续搅拌,直至无气泡产生为止,抽滤。用5~10mL蒸馏水洗涤布氏漏斗,洗液与滤液合并,倾入装有4mL浓盐酸与10mL蒸馏水的烧杯中,搅拌均匀,即有乙酰水杨酸析出。放在冰水中冷却,使结晶析出完全。抽滤。晶体用干净玻璃或滤纸压紧,尽量抽去滤液。再用少量冰水洗涤2~3次,抽去水分,在表面皿上晾干,测熔点,称重,计算产率,上交。
检测结果。取晶体少许,加到三氯化铁溶液中,振摇,观察有无颜色出现。
5)说明
①乙酰水杨酸容易水解,避免加热干燥。必要时宜在80℃以下烘干。产品密封保存于干燥处。
②产品遇三氯化铁试液如显紫色,表示产品中混有杂质水杨酸,后者可能因储存不当,或制备时精制不够完善而存在。可用纯结晶方法进一步纯化。
③乙酰水杨酸俗名阿司匹林,是常用的解热镇痛药。
6)注意事项
①锥形瓶和水杨酸应当干燥,乙酸酐应是新蒸馏出的收集品(即139~140℃的馏分)。
②反应温度不宜过高,否则将增加副产物的生成。
③重结晶时也可用稀乙酸∶苯=1∶1(40~60℃)。重结晶时,其溶液不宜加热过久,亦不宜用高沸点溶剂,否则乙酰水杨酸将部分分解。
实验练习4.2
1.填空
(1)用乙酐作为乙酰化试剂,在浓硫酸催化下,于( )左右可将水杨酸( ),生成乙酰水杨酸。
(2)阿司匹林为白色晶体,其熔点为( ),无嗅,微带酸味,易溶于醇、醚、氯仿等有机溶剂。
(3)实验采用( )、( )、( )等为主要试剂。
2.判断
(1)在制备过程中,乙酸酐应是新蒸馏出的收集品(即139~140℃馏分)。( )
(2)反应温度无论高低,都会增加副产品的生成。( )
(3)阿司匹林的熔点为127℃、130℃、134℃、135℃、136℃。( )
(4)水杨酸分子中的羟基可与乙酰氯、醋酸酐(甚至冰醋酸)进行乙酰化反应,生成乙酰水杨酸。( )
(5)反应速度以酰氯最快,醋酸酐次之,冰醋酸最慢。( )
3.简答
(1)实验如用冰醋酸进行乙酰化反应,其反应式应怎样写?
(2)反应时加硫酸的目的是什么?
(3)反应的副产物是什么?怎样把它们除去?
(4)怎样鉴别阿司匹林有无水杨酸杂质?
(5)写出阿司匹林与氢氧化钠溶液共热的反应式。
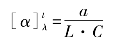
实验3 乙酰苯胺的制备
1)实验目的
熟悉苯胺的乙酰化反应的原理和方法,正确掌握固体有机物重结晶的基本操作技能。
2)实验原理
苯胺的氨基上可以发生酰化反应。
冰醋酸、醋酸酐和乙酰氯可以使苯胺乙酰化,生成乙酰苯胺。

这是以苯胺为原料,在苯环上进行其他反应时,保护氨基免受其他试剂作用的一种方法,在有机合成中常被应用。
在进行乙酰化反应的速度中,以乙酰氯最快,醋酸最慢,但后者操作方便,价格便宜。本实验以醋酸作为乙酰化试剂。
3)仪器药品
150mL圆底烧瓶、200℃温度计、250mL烧杯、酒精灯、水泵、牛角勺、量筒、150mm刺形分馏柱、18mm×150mm试管、石棉网、抽滤瓶(安全瓶)、表面皿、布氏漏斗、保温漏斗、苯胺(10.2 g,0.11 mol)、冰醋酸(15.7 g,0.26 mol)、冰块、滤纸、食盐、活性炭。
4)操作步骤
在150mL圆底烧瓶中,放入新蒸馏的苯胺10mL(10.2 g)和冰醋酸15mL(15.7 g),瓶口装150mm刺形分馏柱,它的上端插一支温度计,它的侧管连接直形冷凝管,以收集反应过程中蒸出的水和醋酸。把圆底烧瓶放在石棉网上加热(小火),使反应物保持微沸约15 min,然后逐渐升高温度。当温度升到100℃左右时,有液体从侧管馏出,保持温度在100~110℃,约1.5 h,当反应生成的水,以及大部分醋酸已被蒸出,此时温度计的水银柱开始下降,表示反应已完成。在搅拌下,趁热将反应物倒入100mL冰水中。冷却后抽滤,用冷水洗涤。粗品用水重结晶(参阅“重结晶实验”)。得到精制品,干燥,称重,测熔点,计算产率,上交。
乙酰苯酚实验装置图如实验图4.2所示。

实验图4.2 乙酰苯胺实验装置图
5)说明
①纯乙酰苯胺的熔点为114.3℃(115~116℃)。
②苯胺易于氧化,放置后的苯胺,颜色变深,影响乙酰苯胺的质量,最好用新蒸馏的无色或浅色的苯胺。为防止苯胺在蒸馏时被氧化,可以加入少许锌粉然后蒸馏。为了同样的目的,有时在乙酰化反应时,也先加入少许锌粉。
③使用分馏柱,可以使大部分反应生成的水先被蒸出,而大部分醋酸仍然留在反应器中与苯胺反应,然后再把未反应的醋酸蒸出。
④反应完毕,若待冷却,则乙酰苯胺固体沾在瓶壁上不好处理,不如趁热倒在冷水中,以除去剩余的醋酸(本身溶于水,和未反应的苯胺成为苯胺醋酸盐也溶于水)。
⑤若反应物的颜色很好,脱色处理可以省去。
实验练习4.3
1.在本实验中用什么办法来提高乙酰苯胺的产率?
2.反应时如果不用分馏柱有什么不好?
3.根据计算,本实验在反应完成时应产生多少mL的水?但实际收集的液体要比计算量多得多,这是为什么?
4.乙酰化反应有什么用途?可以作为乙酰化试剂的有哪些物质?试比较它们的优缺点?
5.乙酰苯胺与稀盐酸或稀氢氧化钠共煮将会发生什么反应?
实验4 无水乙醇的制备及折光率的测定
1)实验目的
掌握无水乙醇(99.5%)的制备方法,进一步了解和熟悉回流与蒸馏的装置,了解阿贝折光仪的基本构造原理和使用方法,熟悉液体有机化合物折光率的测定方法。
2)实验原理
由于乙醇和水易形成共沸物,故含量为95.5%的工业乙醇尚含有4.5%的水。若要得到含量较高的乙醇,在实验室中加热氧化钙(生石灰)加热回流,使乙醇中的水与氧化钙作用,生成不挥发的氢氧化钙来除去水分。这样制得的乙醇纯度可达99.5%,可以满足一般实验的要求。若要得到纯度更高的乙醇,可再用分子筛法制取,经分子筛处理后的乙醇中含水量一般小于10 ppm。本实验主要介绍用氢氧化钙处理无水乙醇的制备方法。
3)仪器药品
250mL圆底烧瓶,回流冷凝管(球形冷凝管)、干燥管、温度计、直形冷凝管、接液管、抽滤瓶、阿贝(Abbe)折光仪、100mL 95%乙醇、25 g新鲜块状生石灰。
4)操作步骤
(1)无水乙醇的制备
在250mL圆底烧瓶中,放入100mL95%的乙醇和25 g新鲜块状生石灰,用木塞塞住瓶口,放置一段时间后拔去木塞,装上回流冷凝管,其上端接一氯化钙干燥管,在水浴上加热回流2~3 h,见实验图4.3(a)。回流完毕后稍冷,取下冷凝管,换上装有温度计和75°玻璃弯管的橡皮塞,改成蒸馏装置见实验图4.3(b)。蒸去前馏分后,用干燥的吸滤瓶(或蒸馏瓶)做接收器,其支管接一氯化钙干燥管,使其与大气相通,用水浴加热,蒸馏至几乎无液体滴流出为止,称量无水乙醇,或量其体积,计算回收率。

实验图4.3 无水乙醇制备装置
(2)测定乙醇的折光率
将折光仪与恒温水浴连接,调节所需的温度,同时检查保温套的温度计是否正确。一切就绪后,打开直角棱镜,用丝绢或擦镜纸蘸少量乙醇或丙酮,轻轻擦洗上下镜面(不可来回擦),待晾干后方可使用。
将被测的样品(制备出的无水乙醇)2~3滴均匀地置于磨砂面棱镜上(滴加样品时应注意切勿使滴管尖与镜面直接接触,以防造成刻痕)。关闭棱镜,调好反射镜使光线射入。先轻轻转动左面刻度盘,并在右面镜筒内找到明暗分界线。若出现彩色带,则调节消色散镜,使明暗界线分明。再转动左面刻度盘,使分界线对准交叉线中心,记录读数与温度,重复测定2~3次,测完后,应立即用上法擦洗上下镜面,晾干后再关闭。
5)注意事项
①本实验所用的仪器均需彻底干燥。由于无水乙醇具有很强的吸水性,故操作过程中必须防止水分的侵入。
②固体干燥剂在蒸馏前应过滤除去,但氧化钙吸水后所形成的氢氧化钙,加热后不分解,故可不必过滤而直接进入蒸馏操作。
③保护折光仪的棱镜,不能在棱镜面上造成刻痕。不能测定强酸、强碱及有腐蚀性的液体,也不能测定对棱镜保温套之间的粘合剂有溶解性的液体。
④测定时滴加样品应分布均匀。
⑤每次使用前后应仔细认真地擦洗镜面,待晾干后再关上棱镜。
实验练习4.4
1.填空
(1)在制备无水乙醇的实验中可采用( )、( )或( )取得。
(2)无水乙醇的沸点为( ),折光率为( ),相对密度为( )。
(3)由于95%的工业乙醇尚含有4.5%的水,若要得到纯度更高的乙醇,在实验中需加入( ),生成( )来除去水分。
2.判断
(1)无水乙醇就是含量100%的乙醇。( )
(2)经过分子筛处理后的乙醇中含水量一般小于10 ppm。( )
(3)由于无水乙醇具有很强的吸水性,故操作中必须防止水分的侵入。( )
(4)阳离子交换树脂具有较强的脱水能力,使含有一定水分的乙醇与干燥K型树脂接触,即可除去乙醇中的水分。( )
附 录 常用有机试剂及其配制方法

续表
