降血压活性:闹羊花毒素Ⅲ对重症高血压有紧急降压作用并对室上性心动过速有减慢心率作用。
降血脂、降血清总胆固醇活性:如泽泻萜醇A。
抗菌消炎活性:如雪胆甲素、雪胆乙素。
降低转氨酶活性:如山芝麻酸甲酯。挥发油中的单萜和倍半萜成分,不少具有祛痰、止咳、平喘、驱风、健胃、解热及镇痛等活性。有些是香料、化妆品工业的重要原料。
12.1.3 重要的萜类化合物
1)单萜类化合物
单萜类化合物是有两个异戊二烯单元构成。根据两个异戊二烯单元的连接方式不同,单萜有可以分成为链状单萜、单环单萜和双环单萜。
(1)链状单萜化合物
链状单萜类化合物具有如下的碳架结构:

这是两个异戊二烯头尾相连而成。很多链状单萜都是香精的主要成分,例如:月桂油中的月桂烯、玫瑰油中的香叶醇、橙花油中的橙花醇、柠檬油中的柠檬醛(α-柠檬醛和β-柠檬醛)、玫瑰油及香茅油中的香茅醇等。它们很多是含有多个双键或氧原子的化合物,其结构如下:

这些链状单萜都可以用来制备香料,其中柠檬醛还是合成维生素A的重要原料。
(2)单环单萜类化合物
单环单萜的基本骨架是两个异戊二烯之间形成一个六元环状结构,其饱和烷烃称为萜烷,其主要衍生物是3-萜醇(薄荷醇)和苎烯。

3-萜醇俗名又称薄荷醇。分子中有3个不同手性碳原子,所以有8个光学异构体,即4对对映体,(±)薄荷醇、(±)新薄荷醇、(±)异薄荷醇和(±)新异薄荷醇。其中薄荷醇中的C1、C3、C4这3个手性碳上的取代基都位于环己烷椅式构象的e键上,为优势构象,是薄荷油的主要成分。

(-)薄荷醇又称薄荷脑,是低熔点的固体具有穿透性的芳香、清凉气味,有杀菌、防腐作用和局部止痛、止痒的效力。广泛应用于医疗、化妆品及食品工业中。如清凉油、人丹、牙膏、糖果等均含有此成分。
练习12.1
依据萜类化合物的分类,薄荷醇属于( )。
A.倍半萜 B.二萜 C.三萜 D.单萜
苎烯又称柠檬烯或1,8-萜二烯。因分子中含有一个手性碳原子,所以有一对对映体,其左旋体存在于松针油中,右旋体存在于柠檬油中,外消旋体则存在于松节油中。它们都是具有柠檬香味的液体,可用做香料。
(3)双环单萜类化合物
①樟脑
樟脑(Camphor)的化学名称为2-莰酮或α-莰酮,樟脑是由樟科植物樟树中得到的,并由此而得名。
樟脑分子中有两个手性碳原子,理论上应有4个光学异构体,但实际只存在两个:(+)和(-)樟脑。这是因为桥环需要的船式构象限制了桥头两个手性碳所连基团的构型,使其C1所连的甲基与C4相连的氢只能位于顺式构型。

从樟树中得到的樟脑是右旋体,[α]D为+43~+44°(10%乙醇),人工合成樟脑为外消旋体。樟脑为无色闪光结晶,熔点为179℃,易升华、香味、难溶于水、易溶于有机溶剂。在工业上,常用α-蒎烯与醋酸加成,经瓦格涅尔-麦尔外英重排生成醋酸酯,再经过水解、氧化,从而制得樟脑。

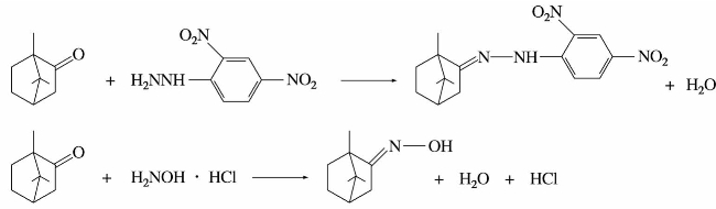
樟脑含有羰基,可与2,4-二硝基苯肼、羟胺等羰基试剂反应,得到樟脑腙和樟脑肟等,利用此类反应可对樟脑进行鉴定和含量测定。

樟脑的气味有驱虫作用,可用于衣物的防虫剂。樟脑是呼吸及循环系统的兴奋剂,对呼吸或循环系统功能衰竭的病人,可作为急救药品。
②龙脑和异龙脑
龙脑(Borneol)又称樟醇(Camphol),俗名冰片,可看成樟脑的还原产物,也是合成樟脑的中间产物。

异龙脑(Isoborneol)是龙脑的差向异构体。龙脑存在于某些植物的挥发油中,它具有既类似于胡椒又类似于薄荷的香气,能升华,但挥发性较樟脑要小。龙脑不溶于水,易溶于乙醚、乙醇、氯仿等有机溶剂。龙脑具有发汗、镇痉、止痛等的作用,是一种非常重要的中药,是人丹、冰硼散、六神丸等药物的主要成分之一。自然界存在的龙脑有左旋体和右旋体两种,合成品为外消旋体。
2)其他萜类化合物
(1)倍半萜和二萜
①倍半萜。倍半萜类是含有3个异戊二烯单元的萜类化合物,具有链状和环状结构,基本碳架在48种以上。倍半萜类多数为液体,存在于挥发油中。它们的含氧衍生物(醇、酮、内酯)也广泛存在于挥发油中。例如:

法尼醇又称金合欢醇,存在于香茅草、茉莉、橙花、玫瑰等多种芳香植物的挥发油中。杜鹃酮又称大?牛儿酮,存在于满山红、香樟或桉叶等挥发油中,能促进烫伤创面的愈合,是国内烫伤膏的主要成分。
②二萜。由4个异戊二烯单元构成的萜类化合物称为二萜。叶绿素水解产物植物醇是一个链状二萜。维生素A是单环二萜,在共轭体系中,5个双键均为反式构型。

练习12.2
下列化合物属二萜的是( )。
A.薄荷醇 B.β-胡萝卜素 C.维生素A D.紫杉醇
(2)三萜和四萜
①三萜。三萜类化合物是由6个异戊二烯单元组成的物质。广泛存在于动植物体内,以游离状态或成酯或苷的形式存在。多数是含氧衍生物,为树脂的主要成分之一。
例如,甘草中的干草苷称为甘草酸,因其味甜又称甘草甜素,在酸性条件下水解得到的苷元称为甘草次酸,可溶于乙醇和氯仿中,是一个五环三萜化合物。
角鲨烯是存在于鲨鱼的鱼肝油、橄榄油、菜籽油中的一个链状三萜,它是由一对3个异戊二烯单元头尾连接后的片段互相对称连接而成,具有降低血脂和软化血管等作用,被誉为血管清道夫。

②四萜。四萜类化合物及其衍生物在植物中分布很广,大多数结构复杂。在植物色素中,四萜色素是含40个碳的共轭烯烃或其含氧衍生物,分子中含有8个异戊二烯单元。例如胡萝卜素、番茄红素及叶黄素。

共轭多烯系统是分子中的发色团,所以又称多烯色素。广泛存在于胡萝卜等植物体内的β-胡萝卜素,熔点184℃,是黄色素,可做食品色素用,位于多烯碳链中间的烯键很容易断裂,在动物和人体内经酶催化可氧化裂解成两分子A,所以称之为维生素A元(原)。存在于番茄、西瓜、柿子等水果中的番茄红素熔点168~169℃,是红色素。
任务12.2 甾体化合物
甾体化合物(Steroids,又称甾族化合物)广泛存在于动植物体内,是一类重要的天然产物,它们与医药有着密切关系。例如:

12.2.1 甾体化合物的结构和命名法
1)结构
(1)基本骨架
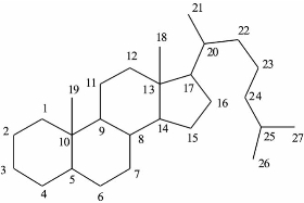
甾体化合物的基本碳架是由环戊烷并多氢菲和3个侧链构成。“甾”字就很形象地表示了甾体化合物的碳架结构特征,“田”表示4个稠合环,分别用A、B、C、D标示,“<<<”则表示3个侧链。其基本骨架如下图。R、R1都是甲基(专称角甲基),R2可为不同碳原子数的碳链或含氧基团。

(2)基本骨架的编号
甾体化合物的基本骨架具有特殊规定的编号,其编号次序如下:

2)命名
很多自然界的甾体化合物都有其各自的习惯名称。其系统命名首先需要确定母核的名称,然后在母核名称的前后表明取代基的位置、数目、名称及构型。甾体母核上所连的基团在空间有不同的取向,位于纸平面前方(环平面上方)的原子或基团称为β构型,用实线或粗线表示;位于纸平面后方(环平面下方)的原子或基团称为α构型,用虚线表示,波纹线则表示所连基团的构型待定(或包括α、β两种构型)。
根据C10、C13、C17所连侧链的不同,甾体化合物常见的基本母核有6种,其名称见表12.2。
表12.2 甾体常见的6种母核结构及其名称

选定母核名称后,再根据以下规则对甾体化合物进行命名:
①母核中含有碳碳双键时,将“烷”改为相应的“烯”,并标出双键的位置。
②母核上连有取代基或官能团时,取代基的名称、位置及构型放在母核名称前,若官能团作为母体时,将其放在母核名称之后。例如:

③对于差向异构体,可在习惯名称前加“表”字。例如:

④在角甲基去除时,可加词首“Nor”,译为“去甲基”,并在其前表明失去甲基的位置。若同时失去两个角甲基,可用“18,19-Dinor”表示,译为“18,19-双去甲基”。例如:

⑤当母核的碳环扩大或缩小时,分别用词首“增碳(Homo)”或“失碳(Nor)”表示,若同时扩增或减小两个碳原子就用词首“增双碳(Dihomo)”或“失双碳(Dinor)”表示,并在其前用A、B、C或D注明是何环改变。例如:

对于含增碳环的甾体化合物需要编号时,原编号顺序不变,只在增碳环的最高编号数后加a,b,c,…表示与另一环的连接处的编号。例如:

对于含失碳环的甾体化合物,仅将失碳环的最高编号删去,其余按原编号顺序进行编号。例如:

⑥母核碳环开裂,而且开裂处两端的碳都与氢相连时,仍采用原名及其编号,用词首“seco”表示,并在前标明开环的位置。例如:

3)甾体化合物的构型和构象
(1)甾体化合物碳架的构型
甾体化合物仅就母核而言,含有6个手性碳原子(C5、C8、C9、C13、C14),理论上应有64个(26)个光学异构体,但由于稠环及其空间位阻的影响,使实际可能存在的异构体数目大大减少。绝大多数甾体化合物碳架的构型具有如下特点:
①甾体母核中4个碳环A、B、C、D在手性碳5、10(A/B),8、9(B/C)和13、14(C/D)处稠合。其中,B/C和C/D的稠合一般为反式(强心苷元和蟾毒苷元等除外)。

若稠合处碳原子连有基团,则基团的构型为8β、9α、13β、14α。
②A/B环有顺式和反式两种稠合方式,因此存在着两种不同的构型。当A/B顺式稠合时,C5上的氢原子和C10上的角甲基在环平面的同侧,都位于纸平面的前方(用实线表示),这种构型称为“β构型”,具有这种构型特点的称为正系,简称5β型。当A/B环反式稠合时,C5上的氢原子与C10上的角甲基在环平面的异侧,C5上的氢原子位于纸平面的后方(用虚线表示),这种构型称为“α构型”,具有这种构型特点的称为别系,简称为“5α型”。

A/B顺式稠合、B/C反式稠合、C/D反式稠合

A/B反式稠合、B/C反式稠合、C/D反式稠合
通常情况下,表示B/C和C/D环反式稠合特征的8β、9α、14α氢原子均被省略,而仅用5α和5β氢原子来表示其分属于正系或别系。如:

如果C4~C5、C5~C6、C5~C10间有双键,A、B环稠合的构型无差别,则无正系和别系之分。
练习12.3
该结构式代表了下列哪类化合物( )?

A.萜类 B.甾族 C.维生素 D.碳水化合物
(2)甾体化合物碳架的构象
甾体化合物碳架是由3个环己烷的环相互按十氢萘的方式稠合成全氢菲再与环戊烷环并合而成。因此其构象也类似环己烷、十氢萘及环戊烷的构象。但由于反式稠合环的存在,使碳架刚性较强,很难发生翻环作用,a键和e键不能相互转换。所以每个构型仅有一种构象。
①正系、别系化合物A/B/C环碳架的构象如下所示。

A/B顺式稠合、B/C反式稠合、C/D反式稠合

A/B反式稠合、B/C反式稠合、C/D反式稠合
②甾体化合物D环碳架的构象。D环为环戊烷,它具有半椅式和信封式两种构象,D环取哪种构象式与D环上的取代基及其位置有关。例如17酮甾体化合物中,D环为信封式构象;17位处为烃基取代时,D环也为信封式构象;但是16酮类化合物,则为半椅式构象。

(3)甾体化合物的构象分析实例
甾体化合物中一些基团受构象的影响,在性质上表现出较大的差异,现仅举几例:
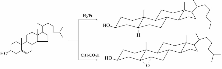
①与双键有关的反应。由于甾体化合物母核上的角甲基、C17处的侧链均为β构型,所以对双键进行催化氢化和用过氧酸氧化时,反应均发生在α面,引入的原子或基团均为α构型。例如:

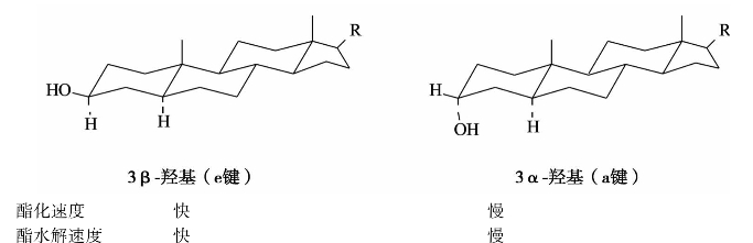
②与羟基有关的反应。
a.酯化和酯水解反应。e键上的羟基比a键上的羟基容易发生酯化反应。

例如,3β,5α,6β-三羟基胆甾烷与氯甲酸乙酯酰化时,只有C3处的羟基生成酯,因为只有此处的羟基位于e键上。

b.氧化反应。e键上的羟基比a键上的难以发生氧化反应。这一差别,可以从氧化反应机理给予解释。以铬酸氧化为例,机理如下:

在第二步中,铬酸酯失去α氢生成酮是决定反应速度的步骤。即氧化反应发生在α氢上。当羟基处于e键时,其α氢处于a键,碱B进攻α氢受到的空间阻碍较大,所以反应速度慢。
12.2.2 重要的甾体化合物
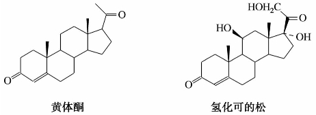
甾体化合物结构类型及数目繁多,广泛存在于动物植物体内。人体含有的甾体激素有由肾上腺皮质分泌出来的肾上腺皮质激素(例如氢化可的松、去氢皮质酮);由性腺分泌的雌性激素(例如β雌二醇、黄体酮),雄性激素(例如睾丸酮)等。它们各有其生理活性,临床上用于治疗某些疾病。临床上使用的几个甾体激素类药物按其结构特点可分为雌甾烷、雄甾烷、孕甾烷类。孕甾烷类按药理性质不同又可分为孕激素及肾上腺皮质激素类药物。

①雌二醇。雌二醇在临床上用于治疗女性更年期综合征。

②甲睾酮。甲睾酮在临床上主要用于男性缺乏睾丸素所引起的各种疾病。
③黄体酮。黄体酮临床上用于治疗先兆性流产、习惯性流产及月经不调等症。

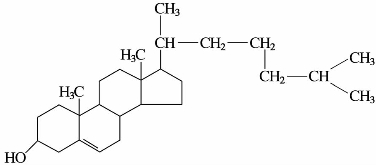
④胆固醇(胆甾醇)。胆固醇在人和动物体内主要以脂肪酸酯的形式存在,是真核生物细胞膜的重要成分,生物膜的流动性与其密切相关。胆固醇也是生物合成胆甾酸和甾体激素等前体,在体内有重要作用。但胆固醇摄入过量和代谢发生障碍,胆固醇会从血清中沉积在动脉血管壁上,导致冠心病和动脉硬化症。
综合练习12
1.找出下列化合物的手性碳原子,并计算一下在理论上有多少对映异构体?


2.指出下列化合物的碳骨架怎样分割成异戊二烯单位。

3.指出用哪些简单的化学方法能区分下列化合物?
(1)角鲨烯、金合欢醇、柠檬醛和樟脑
(2)胆甾醇、胆酸、雌二醇、睾丸甾酮和孕甾酮
4.萜类β-环柠檬醛具有分子式C10H6O,在235cm处(k=12 500)有一吸收峰。还原得C10H20,与托伦试剂反应生成酸(C10H16O2);把这一羧酸脱氢得间二甲苯,甲烷和二氧化碳。把C10H20脱氢得1,2,3-三甲苯,写出它的结构式。提示:参考松香酸的脱氢反应。
5.β-蛇床烯的分子式C15H24,脱氢得1-甲基-7-异丙苯基。臭氧化得两分子甲醛和C13H20O2。C13H20O2与碘和氢氧化钠溶液反应时生成碘仿和羧酸C12H18O3。指出β-蛇床烯的结构式。
6.溴对胆甾醇的反应加成所能生成的两种非对映体产物是什么?事实上其中一种占很大优势(85%),试说明之。