当环上有两个或两个以上相同杂原子时,则应从连有氢或取代基的杂原子开始编号,并使其他杂原子编号的数字尽可能地小。

若环上有不同的杂原子时,则按照氧、硫、氮的顺序将前面的杂原子编为1号,并使它们的位次之和为最小。

环上若有取代基(如烷基、卤素、羟基、氨基、硝基等)的杂环化合物,在命名时以杂环为母体。但若环上有醛基、羧基、磺酸基等官能团时,一般把杂环作为取代基来命名。

练习10.1
命名下列杂环化合物

10.1.2 五元杂环化合物的性质
1)物理性质
吡咯、呋喃和噻吩都难溶于水,其原因是杂原子的一对p电子都参与形成大π键,杂原子上的电子云密度降低,与水缔合能力减弱。但是它们的水溶性仍有差别,吡咯氮原子上的氢可与水形成氢键,呋喃环上的氧与水也能形成氢键,而噻吩环上的硫原子不能与水形成氢键,因此3个杂环的水溶解度顺序为吡咯>呋喃>噻吩。
含有两个杂原子的五元杂环可以视为吡咯、呋喃和噻吩的氮取代物,含有两个杂原子的五元杂环化合物可根据两个杂原子的位置分为1,2-二唑和1,3-二唑两类。
虽然4种唑类化合物的相对分子质量相近,但是沸点却有着较大差别,其中咪唑和吡唑都具有较高的沸点。这是因为咪唑可以形成分子间的氢键,吡唑可通过氢键形成二聚体而使沸点升高。

4种唑类化合物的水溶性都比吡咯、呋喃和噻吩大,这是由于结构中增加了一个带有未共用电子对的氮原子,可与水形成氢键。
2)化学性质
(1)亲电取代反应
从结构上分析,五元杂环为Π65共轭体系,电荷密度比苯大,如以苯环上碳原子的电荷密度为标准(作为0),则五元杂环化合物的有效电荷分布为:

五元杂环有芳香性,但其芳香性不如苯环,因环上的π电子云密度比苯环大,且分布不匀,它们在亲电取代反应中的速率也要比苯快得多。
亲电取代反应的活性为:吡咯>呋喃>噻吩>苯,主要进入α-位。
吡咯、呋喃、噻吩的亲电取代反应,对试剂及反应条件必须有所选择和控制。
①卤代反应:卤代反应不需要催化剂,要在较低温度下进行。
②硝化反应:硝化反应不能用混酸硝化,一般是用乙酰基硝酸酯(CH3COONO2)作硝化试剂,在低温下进行。
③磺化反应:磺化反应呋喃、吡咯不能用浓硫酸磺化,要用特殊的磺化试剂——吡啶三氧化硫的络合物,噻吩可直接用浓硫酸磺化。
练习10.2
1.试比较下列化合物的亲电取代反应活性及芳香性的大小。

2.为什么呋喃、噻吩及吡咯比苯容易进行亲电取代反应?
(2)加氢反应

(3)呋喃、吡咯的特性反应
①呋喃易起D-A反应,吡咯、噻吩要在特定条件下才能发生D-A反应。

②吡咯的弱酸性和弱碱性。吡咯虽然是一个仲胺,但碱性很弱。是由于N原子上的未共用电子对参与了环的共轭体系,减弱了与H+的结合力。

吡咯具有弱酸性,其酸性介于乙醇和苯酚之间。

吡咯能与固体氢氧化钾加热成为钾盐,与格式试剂作用放出RH而生成吡咯卤化镁。

吡咯钾盐和吡咯卤化镁都可用来合成吡咯衍生物。

练习10.3
完成下列反应,写出主要产物。

10.1.3 重要的五元杂环化合物
1)呋喃及糠醛(α-呋喃甲醛)
呋喃为无色有特殊气味的液体,沸点31.4℃,不溶于水而易溶于乙醇、乙醚。可由糠酸(α-呋喃甲酸)加热脱羧而成,用作有机合成原料。
α-呋喃甲醛是呋喃的重要衍生物之一,俗名糠醛。
用烯酸(盐酸或硫酸)处理米糠、花生壳、高粱秆、棉子壳或甘蔗杂渣等农业副产品,其中所含多聚戊糖便水解为戊糖,后者在酸的作用下失去水环化而成糠醛。

由戊糖制备糠醛的反应说明,杂环化合物可以由开链化合物合成。
纯净的糠醛是无色液体,沸点在161.7℃,在光、热及空气中,很快变为黄色、褐色、甚至黑色,并产生树脂状聚合物。
糠醛是不含α-氢的醛,其化学性质与苯甲醛相似,能发生康尼扎罗反应及一些芳香醛的缩合反应,生成许多有用的化合物,因此糠醛是有机合成的有用原料,可用于制造酚醛树脂、医药(如呋喃西林、痢特灵)、农药等。
2)吡咯及卟吩类化合物
吡咯存在于煤焦油和骨焦油中,是无色液体,沸点131℃,在空气中因氧化而迅速变黑。在微量无机酸存在下易聚合成暗红色树脂状物。
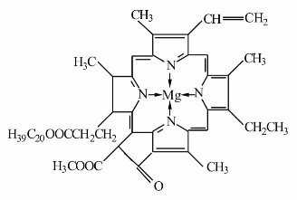
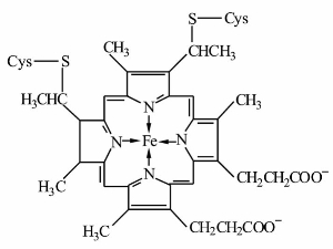
吡咯的许多衍生物广泛分布于自然界,例如,叶绿素、血红素等,它们都是有重要生理作用的细胞色素,称为卟吩(Porphyrin)类化合物。
卟吩环是由4个吡咯环和4个次甲基交替相连组成的共轭体系,卟吩环呈平面结构,环的中间空隙以共价键、配位键和不同的金属离子结合,形成卟吩的衍生物。

卟吩(porphine)
如卟啉即是卟吩的衍生物,最为重要的是叶绿素和血红素。在叶绿素中卟吩环结合的是镁,血红素中结合的是铁,维生素B12中结合的是钴。自然界中的叶绿素是由a和b两种叶绿素组成的,a为蓝黑色结晶,熔点为117~120℃;b为深绿色结晶,熔点为120~130℃,两者比例a∶b为3∶1,其结构如图10.2。

图10.2 叶绿素的结构

图10.3 血红素的结构
叶绿素与蛋白质结合,存在于植物的叶和绿色的茎中。叶绿素利用卟啉环的多共轭体系易吸收紫外光,成为激发态,促进光合作用,使光能转变为化学能。叶绿素是重要的色素,可由人工方法合成,它可用做食品、化妆品和医药上的无毒着色剂。
血红素(如图10.3)存在于哺乳动物的红血球中,它与蛋白质结合成血红蛋白,血红素中的Fe2+可以可逆地与氧配合,在动物体内起到输送氧气的作用。一氧化碳会使人中毒,其原因之一是因为它与血红蛋白结合的能力强于氧,从而阻止了血红蛋白与氧的结合。
3)噻唑及噻唑类似物
噻唑是含一个硫原子和一个氮原子的五元杂环,无色,有臭味的液体,沸点117℃,与水互溶,有弱碱性。是稳定的化合物。
一些重要的天然产物、合成药物含有噻唑结构,如青霉素、维生素B1等。
青霉素是一类抗菌素的总称,已知的青霉素有一百多种,它们的结构很相似,均具有稠合在一起的四氢噻唑环和β-内酰胺环。


青霉素具有强酸性(pKa≈2.7),在游离状态下不稳定(青霉素O例外),故常将它们变成钠盐、钾盐或有机碱盐用于临床。
维生素B1(VB1)

维生素B1是维持糖类的正常代谢必须的物质,体内缺乏维生素B1时,可引起多发神经炎、脚气病及食欲不振等。维生素B1存在于米糠、麦麸、瘦肉、绿叶、花生、豆类、酵母等中。
任务10.2 六元杂环化合物
10.2.1 六元杂环化合物的结构与命名
1)六元杂环化合物的结构
含一个杂原子的典型六元杂环化合物是吡喃、吡啶。含两个杂原子的有嘧啶、吡嗪。下面以吡啶为例阐述其结构。
六元杂环化合物中最重要的是吡啶及其衍生物。吡啶的分子结构从形式上看与苯十分相似,可以看作是苯分子中的一个CH基团被N原子取代后的产物。根据杂化轨道理论,吡啶分子中5个碳原子和1个氮原子都是经过sp2杂化而成键的,像苯分子一样,分子中所有原子都处在同一平面上。与吡咯不同的是,氮原子的三个未成对电子,两个处于sp2轨道中,与相邻碳原子形成σ键,另一个处在p轨道中,与5个碳原子的p轨道平行,侧面重叠形成一个闭合的共轭体系。氮原子尚有一对未共用电子对,处在sp2杂化轨道中与环共平面(见图10.4所示)吡啶符合休克尔规则,所以吡啶具有芳香性。

图10.4 吡啶的轨道结构
吡咯中的氮原子上的孤对电子在p轨道上,参与环内共轭,为富电子芳环。吡啶中氮原子上的孤对电子在sp2轨道上,它与环共平面,不参与环内共轭。
在吡啶分子中,由于氮原子的电负性比碳大,表现出吸电子诱导效应,使吡啶环上碳原子的电子云密度相对降低,因此环中碳原子的电子云密度相对地小于苯中碳原子的电子云密度,所以此类杂环称为缺电子芳杂环或缺π电子芳杂环。

富电子芳杂环与缺电子芳杂环在化学性质上有较明显的差异。
练习10.4
1.2-氨基吡啶能在比吡啶温和的条件下进行硝化或磺化,取代主要发生在5位,说明原因。
2.如何理解γ-甲基吡啶的甲基的酸性比β-甲基吡啶强这一事实?
2)六元杂环化合物的命名
杂环化合物的命名方法是根据外文名称的译音,选用同音汉字,再加上“口”旁命名,例如,六元杂环化合物:吡喃、嘧啶等,详见表10.2。
表10.2 常见六元杂环化合物的分类和命名

六元杂环化合物和五元杂环化合物一样也遵循系统命名原则,含有一个杂原子的单杂环化合物的编号,一般是从杂原子开始,用阿拉伯数字表示。也可用希腊字母α、β和γ编号,邻近杂原子的碳原子为α位,其次为β位,再次为γ位。

当环上有两个或两个以上相同杂原子时,则应从连有氢或取代基的杂原子开始编号,并使其他杂原子编号的数字尽可能地小。

若环上有不同的杂原子时,则按照氧、硫、氮的顺序将前面的杂原子编为1号,并使它们的位次之和为最小。

环上若有取代基(如烷基、卤素、羟基、氨基、硝基等)的杂环化合物,在命名时以杂环为母体。但若环上有醛基、羧基、磺酸基等官能团时,一般把杂环作为取代基来命名。

10.2.2 六元杂环化合物的性质
1)物理性质
最常见的六元杂环化合物是吡啶。吡啶为有特殊臭味的无色液体,沸点115.5℃,相对密度0.982,可与水、乙醇、乙醚等任意混合,甚至可以溶解某些无机盐类。吡啶分子具有高水溶性其原因是吡啶氮原子上的未共用电子对未参与形成环内闭合共轭,可与水形成氢键。吡啶结构中的烃基使它与有机分子有相当的亲和力,所以可以溶解极性或非极性的有机化合物。而氮原子上的未共用电子对能与一些金属离子如Ag+、Ni2+、Cu2+等形成配合物,使它可以溶解无机盐类。
2)化学性质
(1)碱性与成盐
吡啶的环外有一对未作用的孤对电子,具有碱性,易接受亲电试剂而成盐。吡啶的碱性小于氨大于苯胺。

吡啶易与酸和活泼的卤代物成盐。

吡啶三氧化硫络合物是常用的缓和磺化剂。

该反应是一种制取烷基吡啶的常用方法。
练习10.5
1.吡啶分子中氮原子上的未共用电子对不参与π体系,这对电子可与质子结合,为什么?
2.为什么吡啶的碱性比脂肪族胺小得多?
(2)亲电取代反应
吡啶环上氮原子为吸电子基,故吡啶环属于缺电子的芳杂环,和硝基苯相似。其亲电取代反应很不活泼,反应条件要求很高,不起傅-克烷基化和酰基化反应。亲电取代反应主要在β-位上。

(3)氧化还原反应
①氧化反应。吡啶环对氧化剂稳定,一般不被酸性高锰酸钾、酸性重铬酸钾氧化,通常是侧链烃基被氧化成羧酸。

吡啶易被过氧化物(过氧乙酸、过氧化氢等)氧化生成氧化吡啶。

②还原反应。吡啶比苯易还原,用钠加乙醇、催化加氢均可使吡啶还原为六氢吡啶(即胡椒啶)。
(4)亲核取代
由于吡啶环上的电荷密度降低,且分布不均,故可发生亲核取代反应。例如:

练习10.6
完成下列反应。

10.2.3 重要的六元杂环化合物
1)吡啶及其衍生物
吡啶是含一个氮原子的六元杂环化合物,其衍生物在医学上很重要。它的重要衍生物有维生素PP、维生素B6、异烟肼等。
(1)维生素PP
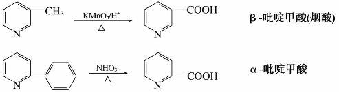
维生素PP由β-吡啶甲酸(烟酸)和β-吡啶甲酰胺(烟酰胺)两者组成。它们是B族维生素之一,是体内很多脱氢酶的辅酶(辅基),缺乏时能引起糙皮病。烟酸还具有扩张血管及降低血胆固醇的作用。

(2)维生素B6
维生素B6由吡哆醇、吡哆醛、吡哆胺三种物质组成。

机体缺乏维生素B6时,氨基酸等代谢就不能正常进行。
(3)异烟肼
异烟肼又叫雷米封(Rimifon),学名异烟酰肼,为无色晶体或粉末,易溶于水,微溶于乙醇而不溶于乙醚。异烟肼具有较强的抗结核作用,是常用治疗结核病的口服药。

2)嘧啶及其衍生物
嘧啶是含有两个氮原子的六元杂环化合物。它是无色固体,熔点20~22℃,易溶于水,具有弱碱性。
嘧啶可以单独存在,也可与其他环系稠合而存在于维生素、生物碱及蛋白质中。许多合成药物如巴比妥类药物、磺胺嘧啶等,都含有嘧啶环。磺胺嘧啶(SD)是一种磺胺类药物,能治疗流行性脑膜炎等病。

具有嘧啶环的有机化合物在自然界分布甚广,如胞嘧啶,尿嘧啶和胸腺嘧啶等,它们都是核酸的组成成分。

任务10.3 生物碱
生物碱是指一类含氮的碱性有机化合物。由于是从生物体(主要是植物)内取得,所以称为生物碱。它们多是含氮杂环衍生物,但也有少数非杂环的生物碱。
生物碱在植物界分布很广,动物体中的含量则很少。不同的植物所含生物碱差异也很大。在双子叶植物的罂粟科、茄科、毛艮科、豆科中含量比较丰富,而在裸子植物、蔷薇植物、隐花植物中的含量则极少。生物碱大都与有机酸(苹果酸、柠檬酸、草酸、琥珀酸、醋酸、乳酸等)或无机酸(磷酸、硫酸、盐酸)结合成盐存在于植物体内,但也有少数以游离碱、苷或酯的形式存在。
生物碱对植物本身有什么作用当前还不清楚,但许多生物碱对人和动物有强烈的生理作用。例如当归、甘草、贝母、黄麻、黄连等许多药物中的有效成分都是生物碱。
10.3.1 生物碱的一般性质
1)生物碱的物理性质
生物碱大多数是无色结晶固体,少数为非结晶体和液体。一般都有苦味,有些极苦而辛辣,还有些能刺激唇舌,使之有焦灼感。大多数生物碱分子中含有手性碳原子,具有旋光性;不溶或难溶于水,能溶于乙醇、乙醚、丙酮、氯仿和苯等有机溶剂中。但也有例外,如黄麻碱、烟碱、咖啡因等可溶于水。
2)生物碱的化学性质
生物碱一般呈碱性,能与无机酸或有机酸结合成盐,这种盐一般易溶于水。
(1)生物碱的沉淀反应
一般生物碱的中性或酸性水溶液均可与数种或某种沉淀试剂反应,生成沉淀。沉淀试剂的种类很多,大多数为重金属盐类或分子较大的复盐,例如碘化汞钾(K2HgI4)、碘化铋钾(BiI3·KI)、磷钨酸(H3PO4·12WO3·2H2O)、磷钼酸(Na3PO4·12MoO3)、硅钨酸(12WO3· SiO2·4H2O)、碘-碘化钾、鞣酸、氯化汞(HgCl2)、10%苦味酸、AuCl3盐酸溶液、PtCl4盐酸溶液等,其中最灵敏的是碘化汞钾和碘化铋钾。
利用生物碱的沉淀反应,可以检验生物碱的存在。
(2)生物碱的颜色反应
生物碱还可以和生物碱显色剂发生显色反应。显色剂的种类也很多,随生物碱的结构不同而有所区别。常用的显色剂有:钒酸-硫酸试剂、钼酸-硫酸试剂、甲醛-硫酸试剂、钼酸钾、纯硝酸、浓盐酸和氯化镁等。
10.3.2 重要的生物碱
1)烟碱(尼古丁Nicotine)
烟碱是存在于烟草中的生物碱,为无色液体,既溶于水又溶于有机溶剂。

烟碱有剧毒,少量对中枢神经有兴奋作用,能增高血压,大量时可抑制中枢神经,使心脏麻痹而死亡。烟碱可作农业杀虫剂,能杀死蚜虫等。
2)麻黄碱
麻黄碱是含于麻黄中的一种生物碱,俗称麻黄素,是一种不含杂环的生物碱,属仲胺。

麻黄碱为无色晶体,易溶于水和氯仿、酒精和乙醚等有机溶剂。麻黄碱有兴奋交感神经,增高血压,扩张气管的作用,可用于治疗支气管哮喘等。
3)颠茄碱
颠茄碱在医用上叫阿托品,存在于颠茄、曼陀罗、天仙子等植物中,是白色结晶,易溶于氯仿和酒精中,难溶于水,有苦味。医疗上用作抗胆碱药,用于平滑肌痉挛,胃和十二指肠溃疡等。

4)秋水仙碱
秋水仙碱是灰黄色针状结晶,可溶于水或酒精中,易溶于氯仿。秋水仙碱毒性较大,具有抗癌作用,临床上用于治疗乳腺癌和皮肤癌等。

5)喜树碱
喜树碱是从我国的喜树中提取出的喹啉族生物碱,为白色结晶,有抗白血病及抗癌作用。临床上用于治疗肝癌、胃癌、头颈部肿瘤和白血病。


6)吗啡碱
吗啡碱是鸦片中含量最多的生物碱,属异喹啉族生物碱,是微溶于水的结晶,有苦味。吗啡对中枢神经有麻醉作用,有极快的镇痛效力,是医药上常用的局部麻醉剂。但它是一种成瘾药物,将羟基上的氢换成乙酰基,即为海洛因,是一种比吗啡更易上瘾的药物,临床上可用来减轻晚期癌症患者的痛苦。
综合练习10
1.命名下列化合物或写出结构式。


2.从电子效应说明为什么吡啶比苯难于发生亲电取代反应,而吡咯比苯易于发生亲电取代反应?
3.为什么吡咯不显碱性而噻唑显碱性?
4.完成下列反应。

5.写出下列反应中A、B、C、D的结构。

6.按碱性由大到小的顺序排列下列化合物。
(1)苄胺、苯胺、吡咯、吡啶、氨 (2)吡咯、吡啶、四氢吡咯
7.用化学方法除去下列化合物中的杂质。
(1)甲苯中的少量吡啶 (2)苯中的少量噻吩
8.怎样鉴别下列各组化合物?
(1)糠醛与苯甲醛 (2)苯与噻吩 (3)吡咯与四氢吡咯 (4)吡啶与苯
9.马钱子碱是一种极毒的生物碱,分子中哪个氮碱性强?

马钱子碱