(2)系统命名法
①对含碳链的脂肪族羧酸的命名要选择含羧基在内的最长碳链为主链,根据主链上所含碳原子的数目称为某酸,以此作为母体来命名,其他基团作为取代基,从羧基碳原子开始进行编号,然后在母体名称前面加上取代基的名称和位次。若为不饱和酸,则选取含有不饱和键及羧基在内的最长碳链作主链,称为某烯酸或某炔酸,并标明不饱和键的位次。一些简单的脂肪酸也可以用α,β,γ,…希腊字母表明取代基的位次,α-碳是指与羧基相连的碳原子。例如:

②脂肪族二元羧酸的命名要选择含有两个羧基在内的最长碳链作为主链,称为某二酸。例如:

③芳香族羧酸的命名。当羧基直接连在芳环上时,可看成是芳环上的氢被羧基取代,最简单的芳香酸是苯甲酸,其他的芳香酸则以苯甲酸作母体,其他基团为取代基,并标明取代基的名称和位次。例如:

当羧基连在芳环侧链上时,则把芳环看做取代基来命名。例如:

④对含有碳环的羧酸的命名是将羧酸作为母体,将碳环作为取代基来命名。例如:

练习8.2
1.写出下列有机酸的俗名。
(1)甲酸 (2)乙酸 (3)乙二酸 (4)苯甲酸 (5)十六酸 (6)十八酸
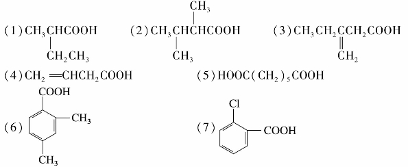
2.用系统命名法命名。

3.写出下列化合物的结构式。
(1)2-甲基戊酸 (2)2,4-二甲基己酸 (3)2-戊烯酸
(4)4-乙基苯甲酸 (5)3-硝基苯甲酸
8.1.2 羧酸的物理、化学性质
1)羧酸的物理性质
从羧酸的结构可知,羧酸是一类极性化合物。C1~C3个碳的低级脂肪酸为具有酸味的刺激性液体;C4~C6个碳的中级脂肪酸为有腐败气味的油状液体,部分溶于水;C10以上的高级脂肪羧酸为无味的蜡状固体;二元脂肪族羧酸和芳香族羧酸一般为结晶固体。
羧酸的沸点比相对分子质量的醇的沸点高,例如,甲酸的沸点是100.5℃,和它相对分子质量相同的乙醇的沸点只有78.5℃,这是因为羧酸分子之间能以氢键形成分子二聚体。

羧酸的熔点表现出一种特殊的规律性变化。一般是含偶数碳原子羧酸的熔点较相邻含奇数碳原子羧酸熔点高,即随相对分子质量增大熔点值呈锯齿状交替上升趋势。
表8.2 一些常见羧酸的物理常数见表

2)羧酸的化学性质
羧酸的化学性质主要取决于其官能团羧基,虽然羧基由羰基和羟基组成,但羧基的性质并不是这两个基团性质的简单加合,它在一定程度上反映了羰基、羟基的某些性质,但又与醛、酮中的羰基和醇中的羟基有显著差别,这是因为在羧基中存在着羰基和羟基的p—π共轭体系,使羟基氧原子上的未共用电子对发生了离域化,降低了羟基氧上的电子云密度,增加了O—H键的极性,而使C—O键的极性降低,因此羧酸具有其特殊性质,如羧酸的酸性比醇强,而羟基的取代反应比醇难。同时也使羰基碳原子的正电性降低,不利于发生亲核反应。如羧酸不能与HCN、HO—NH2等亲核试剂进行羰基上的加成反应。

图8.1 羧基p-π共轭体系
(a)p-π共轭体系;(b)sp2杂化
根据羧酸结构中化学键的断裂方式不同可发生不同的反应。羧酸的化学反应主要有O—H键断裂、C—O键断裂、α—H的取代、脱羧共4类。

图8.2 羧基p-π共轭体系
(1)酸性
羧酸呈现出明显的酸性,虽然羧酸具有酸性,但与无机强酸相比,其氢离子的离解度不大,所以大多数羧酸为比碳酸(p K a=6.38)酸性强的有机弱酸。
羧酸能与碱中和生成羧酸盐和水,能分解碳酸盐或碳酸氢盐放出二氧化碳,生成的羧酸盐与无机强酸作用又游离出羧酸,这个性质可用于羧酸的鉴别、分离、回收和提纯。

不同结构的羧酸的酸性强弱各不相同,如乙酸的酸性比甲酸小。若乙酸分子中的α-H原子被氯原子取代后,则其酸性增强,而羧酸分子中引入的氯原子数目越多,酸性越强;具有吸电子诱导效应的基团增加羧酸的酸性,具有给电子诱导效应的基团降低羧酸的酸性。例如:
CH3COOH<HCOOH<ClCH2COOH<Cl2CHCOOH
同样连有吸电子基团,电负性越强,羧酸的酸性也越强。例如:
FCH2COOH>ClCH2COOH>BrCH2COOH>ICH2COOH
对于芳香族羧酸也有同样的影响。

(2)羟基被取代的反应
羧基中的羟基易被卤素原子、酰氧基、烷氧基及氨基所取代,分别生成酰卤、酸酐、酯及酰胺,生成的这4种化合物都称为羧酸衍生物。

①酰卤的生成。羧酸(除甲酸外)与三卤化磷、五卤化磷、亚硫酰氯(SOCl2)等作用时,分子中的羟基被卤原子取代生成相应的酰卤。例如:

②酸酐的生成。羧酸(除甲酸外)在脱水剂(如P2O5)作用下,加热脱水生成酸酐,同一种羧酸脱水生成单酐;不同羧酸之间脱水生成混酐。由于乙酸酐能迅速地与水反应生成沸点较低的乙酸,可通过分馏除去,因此常用乙酸酐作为制备其他酸酐时的脱水剂。

对两个羧基相隔2~3个碳原子的二元酸,不需要任何脱水剂,加热就能发生分子内脱水反应生成五元或六元环酸酐,称为内酐。例如:

③酯的生成。在强酸(如浓H2SO4)的催化下,羧酸与醇作用生成酯和水,该反应称为酯化反应。这是制备酯的最重要方法。例如:

羧酸发生酯化反应时分子间脱水的方式有两种可能:

乙酸与含有同位素18O的乙醇反应,发现生成的酯含有18O,而水是由羧酸的羟基和醇羟基中的氢形成的,即羧酸分子的酰氧键断裂。

④酰胺的生成。羧酸与氨或胺反应,首先生成铵盐,然后高温(150℃以上)分解得到酰胺。例如:

(3)脱羧反应
羧酸在一定条件下会发生羰基碳和α-碳之间共价键的断裂而脱去羧基的反应称为脱羧反应。如羧酸与碱石灰(NaOH+CaO)共熔,发生脱羧反应,生成烷烃。
除甲酸和低级二元羧酸外,一元脂肪酸的盐与碱共熔也可脱羧,并且比脂肪酸容易。

当羧酸或其盐分子中的α-碳原子上连有较强的吸电子基如硝基、卤素、酮基、氰基等时,则在加热的情况下易脱羧。例如:

β-位有羰基的二元羧酸,如丙二酸、烷基丙二酸、β-酮酸也较容易发生脱酸反应。例如:

(4)还原反应
羧基虽然含有碳氧双键,但由于p-π共轭效应的结果,在一般条件下不容易被还原。但对于强的还原剂,如氢化铝锂可将羧酸直接还原成伯醇。对于不饱和羧酸,氢化铝锂只还原羧基,不还原非共轭的碳碳双键。例如:

(5)α-H原子的卤代反应
羧酸分子中的α-H原子因受羧基的影响,具有一定的活泼性,但和醛、酮相比要弱一些,因此可在催化剂如红磷、碘或硫等作用下被氯或溴取代。例如:

羧酸的上述性质在有机合成上有着重要意义,可以用于制备羧酸的一系列衍生物。
练习8.3
完成下列反应。

8.1.3 重要的羧酸
1)甲酸
甲酸存在于蚁类等昆虫体中,俗称蚁酸,是一种无色有刺激性气味的液体,沸点100.5℃,能与水、乙醇、乙醚混溶,具有较强的酸性(p K a=3.76),是酸性最强的饱和一元酸,并且具有腐蚀性,能刺激皮肤起泡。
甲酸的工业制法是将一氧化碳与氢氧化钠溶液在加热、加压下反应生成甲酸钠,然后用浓硫酸处理,蒸出甲酸。

甲酸中既有羧基又有醛基,从而表现出其他羧酸所没有的一些特性,既有羧酸的一般性质,也有醛的某些性质。例如甲酸既具有较强的酸性、易脱水、脱羧,还具有还原性等。例如:

甲酸不仅可被强氧化剂氧化,还可被弱氧化剂氧化,生成碳酸盐。如能使高锰酸钾溶液褪色,能被斐林试剂氧化,能与吐伦试剂作用发生银镜反应。

甲酸在工业上用于合成甲酸酯和某些染料,还可作为还原剂、媒染剂和橡胶凝胶剂。另外,甲酸还具有杀菌能力,可作消毒剂和防腐剂。
2)乙二酸
乙二酸通常以盐的形式存在于许多植物及菌藻类中,故俗名为草酸。纯品为无色晶体,常含有两分子结晶水,加热至101℃时失去结晶水变成无水草酸,其熔点为189℃。易溶于水和乙醇,而不溶于乙醚。
工业上是用甲酸钠迅速加热至400℃制得草酸钠,然后用稀硫酸酸化制得草酸。

草酸(H2C2O4)为最简单的二元羧酸,其酸性比其他二元酸强,并且因为分子中没有烃基,因而除了具有羧酸的通性外,还有以下特性,如还原性、与金属的配合能力、脱水和脱羧等。

草酸可作为漂白剂、媒染剂,也可用来除铁锈或墨渍。因为草酸能和许多金属离子配合,生成可溶性的配合离子,所以还可以用来提取稀有元素,在定量分析中可作为还原剂,用于标定高锰酸钾。
3)丙烯酸
丙烯酸为具有醋酸刺激性气味的无色液体,沸点141.6℃,能溶于水、乙醇和乙醚等有机溶剂。它的酸性强,能腐蚀皮肤,其蒸气强烈刺激和腐蚀人体呼吸器官。
丙烯酸兼有羧酸和烯烃的性质,在光、热或过氧化物的影响下容易发生氧化及聚合反应,控制反应条件可得到不同相对分子质量的、性质上不同的聚丙烯酸。在贮存、运输时需加入阻聚剂。
工业生产上,以丙烯为原料经催化氧化生产丙烯酸。

丙烯酸树脂粘合剂广泛用于纺织工业。
4)苯甲酸
苯甲酸存在于安息香胶及其他一些树脂中,故俗称安息香酸。纯品为白色光泽的鳞片状晶体,略有特殊气味。熔点122℃,受热易升华,微溶于冷水,能溶于热水和乙醇、乙醚、氯仿等有机溶剂中。其酸性比一般脂肪酸(除甲酸外)的酸性强。
在工业生产上是以甲苯氧化制苯甲酸。

苯甲酸可用于制备香料,它的钠盐常作为食品和某些药物制剂的防腐剂。
任务8.2 羧酸衍生物
羧酸中的羟基被其他原子或原子团取代的化合物称为羧酸衍生物,重要的羧酸衍生物有酯、酰胺、酰卤和酸酐。
8.2.1 羧酸衍生物的命名
羧基中去掉羧基,剩余的基团(
)称为酰基。
羧酸衍生物则是由酰基和除酰基外的其他基团组成,因此统称为酰基化合物。通常根据它们相应的羧酸或酰基来命名。
1)酰卤
酰卤由酰基和卤素原子组成,命名也是以相应羧酸的酰基加卤素原子来命名,称为“某酰卤”。例如:

2)酸酐
酸酐的名称是由相应的羧酸加“酐”字组成。若形成酸酐的两个羧酸相同,称为单酐反之称为混酐。二元羧酸分子内失水形成的酸酐又称内酐。例如:

3)酯
酯的名称是按照形成它的羧酸和醇名称来命名,称为“某酸某酯”。例如:

4)酰胺
根据其相应的酰基和氨基称为“某酰胺”。若氮原子上还连有烃基时要指出烃基的名称,用N字表明连在氮原子上的烃基,放在酰胺名称的前面,称为N-某烃基某酰胺。例如:

8.2.2 羧酸衍生物的物理性质
低级的酰卤和酸酐都是具有刺激性气味的无色液体。C14以内的羧酸甲酯、乙酯为液体,低级酯类一般具有香味,如乙酸异戊酯有香蕉香味,苯甲酸甲酯有茉莉香味等。在酰胺类化合物中除甲酰胺外均为固体,没有气味。羧酸衍生物的水溶性比相应的羧酸小,但一般都可溶于乙醚、三氯甲烷、苯等有机溶剂中。
酰氯、酸酐和酯由于分子中已没有羟基,因而没有缔合作用,所以它们的沸点比相对分子质量相近的羧酸要低。而酰胺由于分子间的氢键缔合作用比羧酸强,因此其沸点比相应的羧酸高。
8.2.3 羧酸衍生物的化学性质
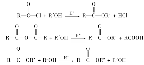
酰卤、酸酐、酯和酰胺分子中都含有羰基,因而它们有一些相同的化学性质,如都可发生水解、醇解、氨解等反应,只是在反应活性上有差异。反应活性强弱次序为:
RCOCl>RCOOCOR′>RCOOR′>RCONH2
此外,不同的羧酸衍生物还具有各自的特性。
1)水解反应
酰卤、酸酐、酯和酰胺都可以和水作用,分子中的基团被水中的羟基取代,生成羧酸和相应的产物,因此称为“水解反应”。

虽然4种羧酸衍生物都能水解生成相应的羧酸,但它们的反应活性不同。其中以酰卤最易水解,酸酐次之,酯和酰胺的水解较慢,需要加热和催化剂。低级的酰氯、酸酐遇空气中的水蒸气即可发生猛烈的放热反应,因此在制备和贮存酰氯和酸酐时要隔绝水蒸气。
酯在酸催化下水解是酯化反应的逆过程,水解不完全。在碱作用下水解却不同,碱实际上不仅是催化剂而且是参与反应的试剂,产物为羧酸盐和相应的醇。由于利用油脂制备肥皂就是根据酯的碱性水解反应,所以酯的碱性水解也称为“皂化”反应。
酰胺在酸性溶液中水解得到羧酸和铵盐;在碱作用下水解得到羧酸盐并放出氨气。
2)醇解反应
酰卤、酸酐、酯与醇反应生成酯,分子中的相应基团被醇分子中的烷氧基取代,生成酯和相应产物,此反应称为醇解反应。酰胺难以进行醇解反应。

酰卤和酸酐与醇的作用虽然没有水解反应快,但也是很容易进行的反应。这是一种制备酯的方法,特别是酸酐,因为它较酰卤易制备和保存,所以应用较广。酯与醇的反应生成新的酯和新的醇(以大换小),又称为酯交换反应。
3)氨解反应
酰卤,酸酐和酯与氨或胺作用生成酰胺和相应的产物,因此称为氨解反应。

酰卤和酸酐与氨或胺的反应较容易,往往在室温或低于室温下进行,反应迅速且有较高的产率。酯与氨或胺的反应较慢,要在无水条件下,用过量的氨处理才能得到酰胺。酰胺的氨解比较困难。因此,制备酰胺常用酰卤和酸酐做原料。例如:

4)还原反应
羧酸衍生物均具有还原性,可用多种方法进行还原。不同的衍生物采用不同的还原方法能得到不同的还原产物。如用氢化铝锂作还原剂,酰氯、酸酐、酯和酰胺均可被还原,生成相应的醇或胺。

其中酯的还原反应尤其重要,酯能被氢化铝锂,或金属钠的醇溶液还原而不影响分子中的C
C双键,因此在有机合成中常被采用,利用酯的还原反应,可以用高级脂肪酸的酯制备高级脂肪醇。例如:

8.2.4 重要的羧酸衍生物
①乙酰氯。它是一种在空气中发烟的无色液体,有窒息性的刺鼻气味。能与乙醚,氯仿,冰醋酸,苯和汽油混溶。用于有机化合物、染料及药品的生产,乙酰氯是重要的乙酰化试剂,也是羧酸发生氯化反应的催化剂,可用于羟基或氨基的定量分析。在医药上可用于制2,4-二氯-5-氟苯乙酮(环丙沙星的中间体)、布洛芬等。

②乙酐。它又名醋(酸)酐,为无色有极强醋酸气味的液体,溶于乙醚,苯和氯仿,是重要的乙酰化试剂,可用于制造纤维素乙酸酯;乙酸塑料;不燃性电影胶片;在医药工业中用于制造痢特灵;地巴唑;咖啡因和阿司匹林;磺胺药物等。还可用于染料、香料工业的生产。

③顺丁烯二酸酐。它又称马来酸酐和失水苹果酸酐。无色结晶性粉末,有强烈刺激性气味,易升华,溶于乙醇、乙醚和丙酮,难溶于石油醚和四氯化碳,是生产不饱和聚酯等的原料。

④乙酸乙酯。无色可燃性的液体,有水果香味,微溶于水,溶于乙醇,乙醚和氯仿等有机溶剂,广泛用于工业溶剂、涂料、粘合剂。可作为提取剂、香料原料。用于检定金、铁、汞、钼、铂、钾和铊;生化研究,蛋白质顺序分析;环保、农药残留量分析。也是制药工业和有机合成的重要原料。

⑤甲基丙烯酸甲酯。无色液体,在引发剂存在下聚合成无色透明化合物,俗称有机玻璃。

综合练习8
1.命名下列各化合物。

2.写出下列化合物的构造式。
(1)4-甲基戊酸 (2)对羟基苯乙酸 (3)丙烯酸甲酯
(4)乙酰氯 (5)丙酰胺 (6)乙酸苄酯
(7)α,γ-二甲基戊酸(8)2-甲基丁酰胺 (9)α-甲基丙酰氯
(10)丁二酸酐 (11)丙烯酸乙酯 (12)N,N-二甲基乙酰胺
3.用化学方法鉴别下列各组化合物。
(1)苯甲醇、苯甲醛、苯乙酸 (2)甲酸、乙酸、乙醛、丙酮
(3)苯酚、苯甲醛、苯甲酸、苯乙酮
4.比较下列化合物的酸性强弱,并说明其原因。
(1)乙酸、一氯乙酸、二氯乙酸、三氯乙酸
(2)丁酸、对甲基苯酚、对硝基苯酚
(3)对甲基苯甲酸、甲酸、乙酸、苯甲酸
5.完成下列反应。

6.由指定原料和其他必要的试剂合成下列化合物。
(1)由甲苯合成邻羟基苯甲酸。
(2)以正丁醇为原料合成正戊酸。
7.化合物A、B的分子式都是C4H6O2,它们都不溶于NaOH溶液,也不溶于Na2CO3作用,但可使溴水褪色,有类似乙酸乙酯的香味。它们与NaOH共热后,A生成CH3COONa和CH3CHO,B生成一个甲醇和一个羧酸钠盐。该钠盐用硫酸中和后蒸馏出的有机物可使溴水褪色。写出A、B的构造式。
8.化合物C、D的分子式为C4H8O2,其中C容易和碳酸钠作用放出二氧化碳;D不和碳酸钠作用,但和氢氧化钠的水溶液共热生成乙醇,试推测C、D的构造式。