不饱和醇的系统命名,应选择连有羟基同时含有不饱和键碳原子在内的碳链作为主链,编号时应尽可能使羟基的位号最小。

脂环醇的命名则从连有羟基的碳原子标号开始。例如:

多元醇的命名,应尽可能选择包含多个羟基在内的碳链作为主链,以二,三,四,…表示羟基的数目,以1,2,3,…表示羟基的位次,并把它们放在醇名称之前表示出来。

芳香醇命名时,常常把芳环作为取代基。例如:

练习6.1
1.写出下列化合物的结构式
(1)2-甲基-1-戊醇 (2)3-甲基-2-庚烯-1-醇 (3)苄醇 (4)异戊醇
2.写出下列化合物同分异构体并命名。
(1)C5H12O (2)C4H8O
3.下列化合物( )属于一元醇;( )属于多元醇;( )属于芳醇;( )属于不饱和醇。
(1)甲醇 (2)乙醇 (3)乙二醇 (4)丙三醇 (5)烯丙醇 (6)苄醇
6.1.3 醇的结构
醇的官能团为(—OH),饱和一元醇的通式为C nH2n+1OH,也可简写为R—OH。在醇分子中,O—H键是以氧原子的一个sp3杂化轨道与氢原子的一个1s轨道相互交盖而成的;C—O键则是以碳原子的一个sp3杂化轨道与氧原子的一个sp3杂化轨道相互交盖而成的。由于碳、氧和氢的电负性不同,因此它们都是极性共价键。氧原子的另外两对未共用的电子对分别占据其他两个sp3杂化轨道。
6.1.4 醇的物理性质
在常温常压下,低级醇是具有酒味的无色透明液体,12个碳以上的直链醇为固体。低级直链饱和一元伯醇的沸点比相对分子质量相近的烷烃的沸点要高得多。常见醇的物理常数参见表6.1。
表6.1 一些常用醇的物理性质

续表

直链饱和一元醇的沸点随相对分子质量的增加而有规律地增高。在醇的同分异构体中,直链伯醇的异构体沸点最高,支链越多,沸点越低。
直链饱和一元醇的熔点和相对密度,除甲醇、乙醇、丙醇以外,其余的醇均随相对分子质量的增加而增高。而饱和一元醇的相对密度小于1,芳香醇的相对密度大于1。
甲醇、乙醇、丙醇都能与水互溶,自正丁醇开始,随着烃基增大,在水中的溶解度降低,癸醇以上的醇几乎不溶于水。乙醇与水可混溶,混溶时有热量放出,并使总体积缩小。
低级醇易溶于水,随着烃基增大,醇在水中的溶解度降低。这些现象均由于醇能够在分子之间及醇分子与水分子之间形成氢键。多元醇分子中含有两个以上的羟基,可以形成更多的氢键,在水中溶解度也较大,故分子中所含羟基越多,沸点越高,在水中溶解度也越大。
因此乙二醇、丙三醇等有强烈的吸水性,常用作吸湿剂和助溶剂。
练习6.2
1.比较下列各组化合物的沸点的高低。
(1)甲醇、乙醇、1-丙醇、异戊醇 (2)乙醇、乙醛、乙烷
2.比较下列化合物的水溶性。
1-丁醇、2-丁醇、2-甲基-1-丙醇、2-甲基-2-丙醇
6.1.5 醇的化学性质
根据醇官能团的特点,醇主要发生氢氧键断裂和碳氧键断裂两种形式的化学反应。此外由于羟基的影响使α-碳上的氢也具有一定的活性。
1)与活泼金属的反应
醇羟基与水分子中的羟基相似,是极性共价键,容易断裂,与活泼金属钠反应生成醇钠和氢气,但反应速度比水慢。如:

该反应随着醇的相对分子质量的增大而反应速度减慢。醇的反应活性为:甲醇>伯醇>仲醇>叔醇。反应中生成的醇钠是白色的固体,具有强的亲核性,在有机合成中常用做强碱、缩合剂和烷氧基化试剂。醇钠遇水会分解成原来的醇与氢氧化钠,反应是一个可逆反应,平衡偏向于生成醇的一边。

由上述反应可知,醇是比水弱的酸,根据酸碱定义,较弱的酸,失去氢离子后就成为较强的碱,所以醇钠是比氢氧化钠更强的碱。
醇也能与其他活泼金属(K、Mg、Al等)反应,生成醇金属和氢气。

练习6.3
1.金属钠可以用来除去苯中痕量的水,为什么不能用来除去甲醇中的水?
2.列出1-丁醇、2-丁醇、2-甲基-2-丙醇与金属钠反应的活性次序。
2)生成卤代烃
醇与氢卤酸作用生成卤代烃和水。反应中羟基被卤原子取代,且反应是可逆的。如果使一种反应物过量或移去一种生成物,可使平衡向右移动,从而提高卤代烃的产量。如:

反应中酸的性质和醇的结构都影响该反应的速度。
氢卤酸的反应活性是:HI>HBr>HCl
醇的反应活性是:苄醇和烯丙醇>叔醇>仲醇>伯醇>甲醇。如:

将浓盐酸与无水氯化锌所配制的溶液称卢卡斯试剂。在常温下卢卡斯试剂分别与伯、仲、叔醇作用,叔醇反应最快,仲醇次之,伯醇最慢。由于反应生成的卤代烃不溶于水而显浑浊或分层,因此可通过观察出现浑浊或分层的快慢,把伯醇、仲醇、叔醇区别开来。此反应仅适合于6个碳原子以下的醇,因多于6个碳原子的醇本身不溶于卢卡斯试剂而显浑浊,会干扰鉴别反应。必须注意:苄醇和烯丙醇虽然是伯醇,但是性质活泼,在室温也能与卢卡斯试剂迅速反应分层。

正丁醇与浓盐酸作用(在氯化锌催化下),20℃时不反应,加热条件下才缓慢反应出现浑浊或分层。
醇也能与三卤化磷(PX3)、五氯化磷(PCl5)、亚硫酰氯(SOCl2)等反应生成相应的卤代烷:如:

亚硫酰氯与醇作用生成卤代烃,此法不仅反应速率快、产率高(一般在90%左右),而且副产物二氧化硫和氯化氢均为气体,容易与卤代烷分离。
练习6.4
1.把下列化合物与HX反应的速率按快慢顺序排列。

2.鉴别下列化合物。
(1)1-丁醇 (2)2-丁醇 (3)丁烷 (4)乙醚
3.完成下面的反应。

醇与无机含氧酸(如硫酸、硝酸、磷酸等)和有机酸作用,发生分子间脱水反应生成酯。如甲醇与硫酸反应首先生成酸性酯(硫酸氢甲酯),再经减压蒸馏得中性酯(硫酸二甲酯)。

硫酸与乙醇作用也可得硫酸氢乙酯和硫酸二乙酯。硫酸二甲酯与硫酸二乙酯都是常用的烷基化剂,但有剧毒,对呼吸器官及皮肤有强烈的刺激性,使用时应加强防护。甘油与浓硝酸作用得三硝酸甘油酯。三硝酸甘油酯也叫硝化甘油,是无色或淡黄色黏稠液体,撞击或快速加热能发生猛烈爆炸。主要用做炸药,在医药上被用做心绞痛的急救药。

醇与有机酸、酰氯、酸酐反应生成羧酸酯。这个反应将在以后的章节中讨论。
3)脱水反应
醇脱水反应根据反应条件不同,可以发生分子内和分子间脱水。

从上述反应可以看出,温度对脱水反应有很大影响,低温有利于分子间脱水反应生成醚,高温有利于分子内脱水反应生成烯烃。
醇分子内脱水反应与卤代烃消除脱卤化氢反应相似,也符合查依采夫规则,脱去的是羟基和β碳上的氢原子,或者说生成的烯烃双键碳原子上总是尽可能连有较多的烃基。例如:

实验研究表明,脱水的难易程度为叔醇>仲醇>伯醇。
练习6.5
1.指出下列哪个醇最易脱水,写出反应方程式。
(1)(CH3)2CHCH2OH (2)(CH3)3COH (3)CH3CH2CH(OH)CH3
2.写出乙醇与下列试剂反应得到的主要产物。
PBr3、PCl5、SOCl2、Na、HBr、浓硫酸170℃
4)氧化与脱氢
伯醇和仲醇分子中,与羟基直接相连接的碳原子上都连有氢原子,这些氢原子由于受相邻羟基的影响,比较活泼,容易被氧化。常用的氧化剂有高锰酸钾或铬酸(可用CrO3与硫酸作用制取)。伯醇先被氧化成醛,醛继续被氧化成羧酸。


在此反应中溶液由橙红色变为绿色,可用来鉴别醇。
呼吸分析仪的设计原理就是根据此反应设计的,如果呼出的气体含有乙醇,经过硫酸酸化过载有强氧化剂三氧化铬的硅胶,乙醇氧化为乙醛,三氧化铬被还原为绿色的硫酸铬。根据颜色的变化,便可断定司机是否喝酒。
仲醇氧化生成酮。氧化产物的碳原子数不变。叔醇分子中与羟基直接相连接的碳原子上没有氢原子,在上述条件下不被氧化,在剧烈条件下(如在硝酸作用下)氧化,则碳链断裂生成含碳原子数较少的产物。

脂环醇氧化相当于仲醇氧化,也能生成酮,进一步以强氧化剂氧化则生成含同碳数的二元羧酸。如:

练习6.6
1.请说出呼吸分析仪的设计原理。
2.写出2-丙醇在酸性高锰酸钾作用下的产物。
6.1.6 重要的醇
1)甲醇
甲醇最早由木材干馏得到,又称木精、木醇。甲醇为无色液体,易燃,爆炸极限6.0%~36.5%(体积)。有毒,其蒸气与眼接触可引起失明,饮用也可致盲。甲醇用于制备甲醛,用做甲基化试剂和溶剂,也可用做燃料。
2)乙醇
乙醇(俗称酒精)是无色、透明、易挥发、易燃、易爆的液体,与水混溶,也是非常好的有机溶剂,沸点78.3℃,其蒸气爆炸极限为3.28%~18.95%,闪点14℃。70%~75%乙醇的杀菌能力最强,故乙醇可用做消毒剂。
低级醇可以与MgCl2,CaCl2等发生络合,形成类似结晶水的化合物,例如,MgCl2· CH3OH、CaCl2·4CH3CH2OH等。这种络合物称为结晶醇,溶于水而不溶于有机溶剂。因此不能用MgCl2、CaCl2作为干燥剂来除去醇中的水,但可用来除去合成产物中少量醇杂质,例如除去醚中的醇。
3)乙二醇
乙二醇(俗称甘醇),是带有甜味但有毒性的黏稠液体,可与水、低级醇、甘油、丙酮、乙酸、吡啶等混溶。微溶于乙醚,几乎不溶于石油醚、苯、卤代烃。相对密度1.13,沸点197℃,因分子中含有两个羟基以氢键相互缔合,所以其沸点、相对密度均比同碳原子数的一元醇高。60%的乙二醇水溶液的凝固点为-40℃,常用作防冻剂、制冷剂。工业上生产乙二醇的方法主要是由乙烯经环氧化再水合制备:

4)丙三醇
丙三醇(俗称甘油),无色具有甜味的液体,由于分子中羟基数目较多,其熔点、沸点较高,熔点29℃,沸点290℃(分解),相对密度1.261。有强的吸湿性,能吸收空气中的水分,与水混溶。不溶于乙醚、氯仿等有机溶剂,对石蕊试剂呈中性反应。在化妆品、皮革、烟草、食品以及纺织品等行业上作润湿剂。工业上用氯丙烯法或丙烯氧化法来制备丙三醇。氯丙烯法制丙三醇的反应为:

练习6.7
1.为什么乙二醇经常用作防冻剂?
2.在使用甲醇时,应该采取哪些防护措施?
任务6.2 酚
苯酚相当于水分子中的一个氢原子被苯环取代的产物,是芳香烃的含氧衍生物。最简单的酚为苯酚。
6.2.1 酚的结构与分类
1)酚的结构
酚是羟基直接与苯环相连的化合物,其官能团与醇相同为—OH。在酚
类化合物中,由于羟基中的氧原子以sp2杂化轨道参与成键,羟基中氧原子上的一对未共用电子对所在的p轨道,与组成苯环的六个碳原子的p轨道是平行的,这样氧原子的p轨道与组成苯环的碳原子p轨道所形成的大π键就形成了共轭体系。其结果氧原子上的部分负电荷向苯环离域而分散,使体系的能量降低,因而酚分子中的羟基比醇分子中羟基活泼性差。但同时由于酚羟基对苯环的影响(p-π共轭效应)使苯环又表现出了一定的活性。为区别通常把酚中的羟基又称为酚羟基。
2)酚的分类
酚可以按照分子中所含酚羟基的数目分成一元酚、二元酚、三元酚等,二元以上的酚统称多元酚。苯酚是酚类中最简单但又是最重要的酚之一。

6.2.2 酚的命名
酚类命名时,一般以苯酚为母体,苯环上连接的其他基团视为取代基,多元酚只需在“酚”字前面用二、三等数字表明酚羟基的数目,并用阿拉伯数字1,2,3…来表明酚羟基和其他基团所在的位次。如:

但当环上取代基的序列优于酚羟基时,则按取代基的排列次序的先后来选择母体,例如,—SO3H在—OH之前,所以下列化合物称之为对羟基苯磺酸。

6.2.3 酚的物理性质
酚大多数为结晶固体,少数烷基酚为高沸点液体。纯酚一般没颜色,在空气中易被氧化成红色,甚至褐色。由于酚分子中有羟基,它的物理性质与醇相似,酚分子之间或酚与水分子之间也可发生氢键缔合作用。因此,酚的沸点和熔点都比相对分子质量相近的烃高。酚微溶于水,能溶于酒精、乙醚及苯等有机溶剂。
酚类化合物具有杀菌作用,杀菌能力随羟基数目的增加而增加,苯酚经烷基化或经吸电子基团取代可增加其杀菌能力。酚的物理常数见表6.2。
表6.2 酚的物理常数

练习6.8
1.不用查表,请把下列化合物沸点按由高到低的顺序排列起来。
苯 苯酚 对苯二酚 间苯三酚
2.写出下列化合物的构造式。
(1)对羟基苯甲醇 (2)邻苯二酚
6.2.4 酚的化学性质
从酚的结构可知,由于酚羟基与苯环的相互影响,使得酚与醇的性质差异较大,其化学性质主要表现在酚羟基与苯环上。
1)酚羟基的反应
(1)酸性
酚羟基由于受苯环的影响表现出酸性。苯酚能与氢氧化钠水溶液作用而生成酚钠。

但苯酚的酸性比碳酸弱,所以不能与碳酸氢钠作用生成盐。向苯酚钠水溶液中通入二氧化碳,酚即游离出来而使溶液显浑浊。
酚的这种既能溶于碱,又能用酸把它从碱溶液中游离出来的性质,可用来分离、提纯酚,工业也可用来回收和处理含酚的污水。

酚的弱酸性是由于酚羟基与苯环的共轭作用,酚羟基中氧上电子云密度降低,减弱了O—H键,有利于氢原子离解成为质子和苯氧负离子,而苯氧负离子上负电荷可以更好地离域而分散到整个共轭体系中,使苯氧负离子比苯更稳定,从而表现出酸性。
苯环上的取代基对酚的酸性也有影响,当苯环上含有给电子基时,可使酚的酸性减弱;苯环上连有吸电子基时,可使酚的酸性增强。如:

练习6.9
1.苯酚的酸性为什么比醇强?当芳环上连有吸电子基团时,酚的酸性如何变化?当芳环上连有供电子基团时,酚的酸性又如何变化?
2.对氯苯酚与环己醇应如何分离?
(2)醚的生成
酚与醇相似也能生成醚。但从酚的结构可知,酚羟基的碳氧键比较牢固,一般不能通过分子间脱水来制备,通常用酚钠与烷基化试剂如碘甲烷或硫酸二甲酯在弱碱性溶液中反应得到:

芳基醚可用酚钠与芳卤衍生物作用制备,但由于芳环上卤原子活泼性弱,需在铜作催化剂下加热得到:

酚醚化学性质比酚稳定,不易氧化,而且酚醚与氢碘酸作用,又能分解得到原来的酚。
(3)酯的生成
与醇相似,酚也能生成酯,但酚与羧酸直接反应比较困难,通常用酸酐或酰氯作用生成酯。

2)芳环上的反应
(1)卤化反应
由于酚羟基是强的活化苯环的基团,酚很容易与溴水作用生成2,4,6-三溴苯酚的白色沉淀。如溴水过量,则生成黄色的四溴衍生物沉淀。三溴苯酚在水中的溶解度极小,含有10μg/g苯酚的水溶液,也能生成三溴苯酚沉淀,这个反应很灵敏,而且是定量完成的,因此该反应常用于苯酚的定性和定量测定。

若要生成一元溴代苯酚,可在低温下,用非极性溶剂,且控制溴不过量。
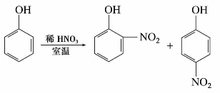
(2)硝化反应
酚很容易硝化,与稀硝酸在室温下作用,即可生成邻硝基苯酚和对硝基苯酚的混合物。由表6.2可知,在硝基苯酚的3个异构体中,邻位异构体的熔点、沸点和在水中的溶解度都比间、对位异构体低得多。由于间、对位异构体分子间形成氢键而缔合,故沸点较高,它们与水分子可形成氢键,在水中有一定的溶解度。邻位异构体则不然,由于邻位的羟基和硝基之间通过分子内氢键螯合成环,难以形成分子间的氢键而缔合,同时也降低了它与水分子形成氢键的能力,因此其熔点、沸点和水中溶解度都很低。在3个异构体中唯有邻位异构体可随水蒸气蒸馏出来。

当用较浓的硝酸进行硝化时,酚更容易发生氧化,所以多硝基酚不能用酚的直接硝化制备。例如2,4,6-三硝基苯酚(苦味酸)可通过先磺化后硝化的方法制备。
(3)与三氯化铁的显色反应
大多数酚能与三氯化铁水溶液反应生成具有颜色的配合物,此反应可用于定性检验酚羟基的存在。

除酚类外,凡具有烯醇式(
)结构的化合物与FeCl3也都有显色反应。酚与三氯化铁产生的颜色见表6.3。
表6.3 酚与三氯化铁产生的颜色

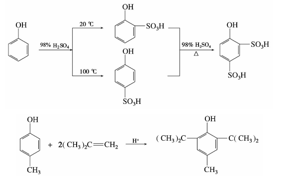
此外,酚还能发生磺化反应和烷基化。室温下苯酚与浓硫酸作用,发生磺化反应,得到邻位产物,升高温度主要得到对位产物。酚与烷基化试剂发生付克反应,产物以对位产物为主,如果对位有取代基时,则生成邻位产物。烷基化试剂通常为烯烃或醇,浓硫酸、磷酸或酸性离子交换树脂为催化剂。

练习6.10
1.用化学方法鉴别下列各组化合物。
(1)苯与苯酚 (2)环己醇与对甲苯酚 (3)1-氯己烷与对氯苯酚
2.写出苯酚与下列化合物反应的主要产物。
(1)NaOH溶液 (2)FeCl3溶液 (3)溴水 (4)CH3COBr
6.2.5 重要的酚
1)苯酚
苯酚俗名石炭酸,是具有特殊气味的无色结晶,暴露在空气中易被氧化为粉红色渐至深褐色。苯酚微溶于冷水,在65℃以上时可与水混溶,易溶于乙醇、乙醚等有机溶剂。具有毒性,可通过皮肤吸收进入人体引起中毒。苯酚是重要的有机化工原料,工业上大量用于制造酚醛树脂、环氧树脂、聚碳酸酯,以及香料、染料、药物的中间体。苯酚催化加氢可还原成环己醇,用来生产尼龙-66。

2)甲苯酚
甲苯酚简称甲酚,也称粗甲酚,有邻、间、对3种同分异构体,因它们的沸点相近,不易分离,工业上使用的往往是3种异构体的混合物。邻、对甲苯酚均为无色晶体,间甲苯酚为无色或淡黄色液体,有苯酚气味,是合成染料、炸药、农药的原料。
3)萘酚
萘酚有α-萘酚和β-萘酚两种同分异构体,其中以β-萘酚为重要。α-萘酚为针状结晶,β-萘酚为片状结晶,能溶于醇、醚等有机溶剂。萘酚的化学性质与酚相似,呈弱酸性,能与FeCl3发生颜色反应。萘酚易发生硝化、磺化等反应。广泛用于染料和用做抗氧剂。
任务6.3 醚
6.3.1 醚的结构与分类
1)醚的结构
醚可以视为醇分子中羟基的氢原子被烃基取代后的产物。醚的通式为R—O—R′或Ar—O—R或Ar—O—Ar。分子中的“—O—”称为醚键。由于醚的氧原子与两个烃基相连,C—O—C键的极性较小,它的化学性质比醇、酚要稳定。如在常温下不与金属钠作用,对碱、氧化剂和还原剂都十分稳定。
2)醚的分类
醚类化合物根据醚键所连接烃基结构和方式的不同进行分类。
①根据烃基的饱和度分为饱和醚和不饱和醚。

②根据醚键所连两个基团是否相同分为单醚和混醚。

③醚键氧原子直接与苯环相连时称为芳醚。

④烃基的两端直接与醚键相连时称为环醚。

6.3.2 醚的命名
简单醚的命名是先写出两个烃基的名称,再加上醚字。单醚可在相同烃基前加“二”字,通常“二”可省略。如烃基为不饱和基,则“二”字不可省略。混合醚的名称中,较小的烃基放在前,大的烃基在后,芳基则放在烷基之前。

比较复杂的醚,使用系统命名法命名,选含有与烷氧基相连的碳原子在内的最长碳链作为母体,烷氧基作为取代基,称为某烷氧基某烷。如:

6.3.3 醚的物理性质
甲醚、甲乙醚室温下为气体,其他醚一般为无色、有特殊气味、易流动、易挥发、易燃烧的液体,相对密度小于1。低级醚的沸点比同碳原子数的醇的沸点低得多,如乙醚沸点为34.6℃,而丁醇的沸点为117.7℃。因为在醚分子中没有羟基,没有氢键的缔合作用。
6.3.4 醚的化学性质
醚对碱、氧化剂、还原剂都很稳定,不宜进行一般的化学反应。由于C—O键的极性,在一定的条件下,醚也能发生反应。
1)
盐的生成和醚键的断裂
醚键的氧原子上有未共用的电子对,为路易斯碱,在常温时能溶于强酸(如H2SO4、HCl),形成
盐。但醚的碱性很弱,生成的
盐不稳定,遇水很快又分解为原来的醚。利用此性质可以将醚从烷烃或卤代烃等混合物中分离出来。

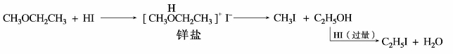
醚与浓氢碘酸共热时,则醚键断裂生成碘代烷和醇。如在高温和过量的氢碘酸存在下,过量的氢碘酸又可与反应中所生成的醇作用,生成另一分子碘代烷。

醚键的断裂,往往是含碳原子较少的烷基断裂与碘结合,此反应可用来使含有甲氧基的醚定量地生成碘甲烷,再将反应混合物中所生成的碘甲烷蒸馏出来,通入硝酸银的醇溶液中,由生成的碘化银的含量来测定分子中CH3O—的含量。
对于芳基烷基醚,由于芳环与氧相连的键比较牢固,故发生烷基与氧之间键的断裂,生成酚与碘代烷。如:

烷氧键断裂的顺序为三级烷基>二级烷基>一级烷基>芳香烃基。
2)过氧化物的生成
醚对氧化剂较稳定,但与空气长期接触会被空气氧化成过氧化物。一般认为氧化反应发生在α-碳原子的碳氢键上。例如:

氢过氧化物不易挥发,蒸馏乙醚时,残留液中的氢过氧化物浓度增加,受热后极易爆炸。因此,在蒸馏乙醚时一般不将醚完全蒸完,以免过氧化物过度受热而爆炸。
练习6.11
1.用化学方法鉴别下列各组化合物。
(1)苯甲醚与苯甲醇 (2)己烷、丁醇、苯酚、丁醚 (3)1-氯己烷与对氯苯酚
2.提纯下列化合物。
(1)乙烯中含有少量的乙醚 (2)乙醚中含有少量的乙醇
6.3.5 重要的醚
1)乙醚
乙醚为无色易燃液体,其爆炸极限为1.85%~36.5%(体积),沸点34.6℃,乙醚比水轻。乙醚本身是一个常用有机溶剂和萃取剂。
2)环氧乙烷
环氧乙烷为无色有毒气体,其爆炸极限3.6%~78%(体积),沸点10.7℃。易于液化,可与水混溶,也可溶于乙醇、乙醚等有机溶剂。在酸或碱催化下能与许多试剂作用发生一系列反应。

3)冠醚
20世纪60年代末,化学家合成了一系列多氧的大环醚的新型化合物。由于它们的形状像皇冠,因此称为冠醚。如:

在冠醚的大环结构中有空穴,且由于氧原子上含有未共用电子对,因此可和金属正离子形成络合离子。各种冠醚的空穴大小不同,只有和空穴相当的金属离子才能进入空穴。例如,18-冠-6(空穴为0.26~0.32 nm)可以与KMnO4(钾离子半径为0.133 nm)形成络合物。
冠醚的这个性质可以利用来分离金属正离子,也可用来促进某些反应加速进行。
任务6.4 硫醇、硫酚和硫醚
6.4.1 硫醇和硫酚
醇分子中或酚分子中的氧原子被硫原子代替所得到的化合物称为硫醇(R—SH)或硫酚(Ar—SH)。—SH是硫醇的官能团,称为巯基。
硫醇的命名和醇或酚相似,只要把醇或酚字改为硫醇或硫酚。
1)硫醇和硫酚的物理性质
除甲硫醇在室温为气体外,其他的硫醇和硫酚为液体或固体。硫醇的沸点比相近分子量的烷烃高,比分子量相近的醇低,与分子量相近的硫醚差不多。硫酚的沸点比相应的酚低。巯基与水难形成氢键,所以硫醇在水中的溶解度比相应的醇小得多。
硫醇和硫酚都具有难闻的气味,空气中有微量的硫醇即可被觉察到,可以把它加到燃气中,用于检查管道是否漏气。
2)硫醇和硫酚的化学性质
(1)硫醇和硫酚的酸性和硫酸盐的形成
硫醇或硫酚与氢氧化钠生成硫醇钠或硫酚钠而溶于氢氧化钠溶液中。

硫醇和重金属盐如汞、铅、锑、铜、银盐作用,生成不溶于水的重金属的硫酸盐沉淀。

利用这个反应可以鉴定硫醇。由于它们极难溶解,在医药上还可以作为重金属的解毒剂。
(2)硫醇和硫酚的氧化
硫醇比醇易氧化,氧化发生在硫原子上。强氧化剂如:过氧化氢、硝酸、高锰酸钾等把硫醇氧化成磺酸。弱氧化剂如:三氧化二铁、二氧化锰等一些金属氧化物,碘、氧气等都把硫醇氧化成二硫化合物。

二硫化物在亚硫酸氢钠、锌、乙酸、金属锂和液氨等还原剂的作用下,可重新转变成硫醇。硫酚也可以进行上述氧化反应。
练习6.12
1.用化学方法鉴别正丙醇和正丙硫醇。
2.天然气在试漏管道时,为什么常会加入少量的硫醇?
6.4.2 硫醚
醚分子中的氧原子被硫原子替代所形成的化合物称为硫醚,例如R—S—R′、Ar—S—R、Ar—S—Ar。硫醚的命名与醚相似,只要在“醚”字的前面加“硫”字即可。
低级的硫醚是无色液体,有刺鼻的臭味。硫醚不与水分子形成氢键,故不溶于水,硫醚的沸点比相应的醚高。
在适宜的条件下,硫醚可氧化成亚砜。在较高温度下,用发烟硝酸或高锰酸钾可将硫醚氧化为砜。
1.指出哪些是伯醇、仲醇和叔醇。
(1)2-甲基-2-丁醇 (2)4-甲基-2-己醇 (3)1,2-环己二醇 (4)对甲氧基苯甲醇
2.命名下列化合物。
(1)CH3CH2CH2CH(OH)CH3 (2)(CH3)2CH(CH3)CH2OH
(3)
(4)CH3OCH(CH3)2
3.写出下列各化合物的构造式。
(1)苄醇 (2)甘油 (3)异戊醇 (4)苦味酸 (5)2-硝基苯酚 (6)对氯苯甲酸
4.比较下列化合物在水中的溶解度。
(1)CH3CH2CH2OH (2)HOCH2CH2CH2OH (3)CH3OCH2CH3
(4)HOCH2CH(OH)CH2OH (5)CH3CH2CH3 (6)C6H5OH
5.预测下列化合物与卢卡斯试剂反应速度快慢的次序。
(1)正丙醇 (2)2-甲基-2-戊醇 (3)二乙基甲醇
6.用化学方法鉴别下列各组化合物。
(1)苯酚、苯甲醇、苯乙烯 (2)烯丙醇、正丙醇、正丙醚
(3)甲苯、苯酚、苯 (4)1-戊醇、2-戊醇、2-甲基-2-戊醇
7.完成下列化学反应式。

8.分离下列化合物:苯和苯酚。
9.有甲、乙、丙3种化合物,分子式均为C4H10O。甲在室温下不与卢卡斯试剂反应,但遇酸性高锰酸钾可氧化生成正丁酸;乙遇卢卡斯试剂立即出现浑浊,但遇酸性高锰酸钾不氧化;丙在室温下遇卢卡斯试剂和酸性高锰酸钾均不反应,与过量氢碘酸反应生成碘乙烷。试写出甲、乙、丙的结构式和各步反应式。
10.有一芳香族化合物A,分子式为C7H8O,不与钠发生反应,但与浓HI作用生成B和C两个化合物,B能溶于NaOH,并与FeCl3作用显紫色。C能与AgNO3溶液作用,生成黄色碘化银。写出A、B、C的构造式。