练习2.2
1.甲烷的空间结构是( ),属于( )杂化。
2.乙烷的分子式是( ),结构式是( )。
3.构造式为
的化合物,其分子式为( )。
A.C8H10 B.C8H14 C.C8H16 D.C8H18
2.1.3 烷烃的命名
对于烷烃的命名,常用的有普通命名法和系统命名法。
1)普通命名法
普通命名法是历史逐渐形成并且沿用至今的一种最常用的方法,又叫“习惯命名法”,这种命名法对于一些简单化合物的命名特别有用,基本原则如下:
①十以内,用天干;十以上,百千万。对直链的烷烃称为“正某烷”,“某”是指烷烃中碳原子的数目,在十以内,用甲、乙、丙、丁、戊、己、庚、辛、壬、癸表示;十以上,用中文数字表示。例如:

②“正”“异”“新”,要记牢。把链端第二位碳原子上连有一个甲基支链的,叫做“异”某烷;把链端第二位碳原子上连有两个甲基支链的,叫做“新”某烷,例如:

普通命名法仅适用于含碳原子数较少、结构简单的烷烃,结构复杂的则不适用。
烷烃分子中去掉一个氢原子后剩下的原子团叫做烷基,其通式为“C nH2n+1—”常用R—表示。常见烷基的构造及命名见表2.1。
表2.1 常见烷基的构造式及命名

2)系统命名法
系统命名法是经国际纯粹和应用化学协会(International Union of Pure and Applied Chemistry,IUPAC)多次修订后的命名法,现已普遍为各国所采用。我国结合本国文字的特点,参照IUPAC命名法制定了我国的有机化合物的系统命名法。
系统命名法对于直链烷烃的命名,与普通命名法相同,但不写“正”字。例如:

对于带支链的烷烃,可以看做是直链烷烃的烷基衍生物,应按下列规则命名:
①选主链,称某烷。从烷烃的构造式中,选择最长碳链作为主链,而把主链以外的其他烷基看做主链上的取代基。例如:

若分子中有两条以上等长的最长碳链时,要选择取代基最多的最长碳链作为主链。例如:

4条最长碳链均为6个碳原子,但虚线所示的碳链联结2个或3个取代基,而实线所示的碳链则连接4个取代基,故应选择上述中实线所示的碳链为主链。
②编号位,定支链。从靠近取代基一端(支链)开始,把主链上的碳原子依次用阿拉伯数字进行编号。

若从主链任何一端开始,第1个支链的位次都相同时,则把构造比较简单的支链编为较小的位次。例如:

若从主链上任何一端开始,第1个支链的位次且取代基都相同时,应当采用使取代基具有“最低系列”的编号。所谓“最低系列”指的是从碳链不同方向编号,得到两种不同编号的系列,则逐次逐项比较各系列的不同位次,最先遇到位次最小者的系列,定为“最低系列”。例如:

从左至右编号取代基位次:2、4、5、6;
从右至左编号取代基位次:2、3、4、6(最低系列)。
由上可见,从右至左编号,第2项首先出现最小,所以该编号系列为最低系列。
③取代基,写在前,标位置,连短线;不同基,简到繁,相同基,合并算。写出全称,把取代基的位次、名称依次写在母体烷烃之前,若含有几个取代基,则小的写在前面,大的写在后面,若含有两个以上的相同取代基,则把它们合并起来,在取代基的名称前用中文数字二、三等表示相同取代基的数目,注意取代基的位次必须逐个用阿拉伯数字注明,位次的阿拉伯数字之间要用“,”隔开,阿拉伯数字与取代基名称之间必须用半字线“-”隔开。例如:

练习2.3
1.下列各结构式共代表几种化合物?用系统命名法命名。

2.下列有机物的命名正确的是( )。
A.1,2-二甲基戊烷 B.2-乙基戊烷 C.3,4-二甲基戊烷 D.3-甲基己烷
2.1.4 烷烃的构象
化合物分子中单键的自由旋转,使得分子中原子或基团可在空间产生出不同的排列,这种异构现象称为构象异构。一种化合物的构象应有无数种,但总有一些是较为稳定的,称为优势构象。本节主要讨论化合物的优势构象。
1)乙烷的构象
乙烷是最简单的含有碳碳单键(C—C)的化合物。单键是可以自由旋转的,如果使乙烷分子中一个碳原子不动,另一碳原子绕碳碳键(C—C)轴旋转,则一个碳原子上的3个氢,相对于另一碳原子上的3个氢,可以有无数的空间排列形式,这种由于围绕单键旋转而产生的分子中原子或基团的不同排列形式叫做构象。
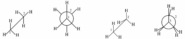
由于碳碳键(C—C)的自由旋转,乙烷可以有无限数目的构象,其中有代表性的只有交叉和重叠式两种。表示构象可以用透视式或纽曼投影式。

透视式也称锯架式,它是从侧面观察的,能直接反映出碳、氢原子和它们的空间排列。纽曼投影式则是沿着碳碳键(C—C)观察得出,式中前后两个碳原子是重叠着的,1表示距离我们的视线较近的碳原子(前面的碳原子),2表示后面的碳原子。
在重叠式中,两个碳原子上的氢两两相对,距离较近,相互间的排斥作用最大,因而内能最高,也就最不稳定。在交叉式中,两个碳原子上的氢原子间距离最远,相互间的排斥力最小,因而内能最低、最稳定。重叠式与交叉式是乙烷的两种极端构象,其他构象都介于这两者之间。重叠式与交叉式的内能虽不同,但差别较小,仅为12.6kJ/mol,室温下的热能就足以使两种构象之间以极快的速度互相转化。因此在室温条件下,可以把乙烷看做是重叠式与交叉式,以及介于这两者之间的无数构象异构体的平衡混合物,而不可能分离出某种构象异构体。乙烷主要以最稳定的交叉式构象存在。
2)丁烷的构象
丁烷可以看做是乙烷的二甲基衍生物,用纽曼投影式表示全重叠的丁烷及其4个碳原子(图2.5)如下:

图2.5 丁烷构象完全重叠式
由完全重叠式开始,固定C1与C2,而使C3绕C2—C3间的键轴作相对旋转,则每旋转60°可以得到一种有代表性的构象,旋转360°而复原,如图2.6所示。

图2.6 丁烷的构象
在上述6种构象中,Ⅱ与Ⅵ、Ⅲ与Ⅴ相同,所以实际上有代表性的构象只有4种,即完全重叠Ⅰ、邻位交叉Ⅱ、部分重叠式Ⅲ、对位交叉式Ⅳ。这几种构象的内能大小为:完全重叠式>部分重叠式>邻位交叉式>对位交叉式。完全重叠式内能最高,不稳定;对位交叉式内能最低,最稳定;两者相差约22.3kJ/mol。由于它们之间的能量差别不算很大,因此在室温下不能从平衡混合物中分离出某种构象异构体,丁烷主要以最稳定的优势构象——对位交叉式存在。
练习2.4
1.乙烷主要以最稳定的( )构象存在。
2.丁烷主要以最稳定的( )构象存在。
3.将下列的投影式改为透视式,透视式改为投影式,并判断二者是否为同种物质。

2.1.5 烷烃的性质
1)烷烃的物理性质
有机化合物的物理性质通常指物态、熔点、沸点、密度、折射率、溶解度等,这些物理性质是鉴别有机化合物的重要依据。同时,这些性质对于正确、安全、合理地使用有机化合物有着重要的指导意义。表2.2列出的一些烷烃的物理常数。从中可以清楚地看出,直链烷烃的物理性质随相对分子质量的增加而呈现出一定的递变规律。
表2.2 一些直链烷烃的物理常数

(1)物态
在室温和常压下,C1~C4是气态,C5~C17为液态,C18以上为固态。
(2)沸点
直链烷烃的沸点会随着相对分子质量的增加而有规律地升高,如图2.7所示。在相同碳原子数的烷烃异构体中,直链烷烃的沸点最高,支链烷烃的沸点较低,支链越多,其沸点也越低,见表2.3。
表2.3 部分烷烃沸点

(3)熔点
直链烷烃的熔点随相对分子质量的增加而升高,其中含偶数碳原子的升高比含奇数碳的多一些,如图2.8所示。

图2.7 直链烷烃的沸点曲线

图2.8 烷烃的熔点曲线
(4)密度
直链烷烃的密度随碳原子数的增加而增大,但密度均小于1.0 g/cm3。
(5)溶解度
烷烃难溶于水,易溶于四氯化碳、苯、氯仿等有机溶剂中。
(6)折射率
直链烷烃的折射率随相对分子质量的增加而升高,对于液体烷烃可用折射率进行鉴别,这比利用熔点、沸点、密度等物理常数鉴别烷烃更为准确和可靠。
练习2.5
1.不参阅物理常数表,试推测下列化合物沸点高低的一般顺序,并简单说明原因。
A.正庚烷 B.正己烷 C.2-甲基戊烷 D.2,2-二甲基丁烷 E.正癸烷
2.下列烷烃沸点最低的是( )。
A.新戊烷 B.异戊烷 C.正戊烷 D.正己烷
3.下列有关甲烷物理性质的叙述正确的是( )。
A.甲烷是一种黄绿色气体
B.甲烷是一种有臭味的气体
C.收集甲烷时常用排水法,是因为甲烷的密度与空气的密度相近。
D.甲烷能用排水法收集,是因为甲烷难溶于水
2)烷烃的化学性质
烷烃分子中都是以比较牢固的σ键相连,因此烷烃的化学性质很不活泼,尤其直链烷烃具有很强的稳定性。在常温下不易与强酸、强碱、强氧化剂及强还原剂反应,但在高温、光照或催化剂存在下,则可发生反应。
(1)氧化反应
烷烃在空气中燃烧生成二氧化碳和水,并放出大量的热。例如:

燃烧产生的热量,可用于人类的生产和生活。例如,随着人民生活水平的提高及环保意识的增强,大部分城市对天然气的需求明显增加。天然气作为民用燃料供给人类的生产和生活。烷烃燃烧通式为:

这也是汽油和柴油作为内燃机燃料的基本原理。
在化工生产中,可以控制适当的条件使烷烃发生部分氧化,生成一系列有用的含氧衍生物。例如,用石油的轻油馏分(主要含C4H10)氧化生产乙酸,用石蜡(C20~C30的烷烃)氧化成高级脂肪酸。又如,甲烷可氧化生成甲醛或一氧化碳和氢气的混合物。

一氧化碳和氢气俗称合成气,可用来合成甲醇、氨、尿素等。
(2)裂化反应
烷烃在隔绝空气的情况下进行热分解的反应叫裂化反应。裂化反应的实质是C—C键和C—H的断裂,其产物是复杂的混合物。例如:

得到的甲烷、乙烷、乙烯、丙烯、丁烯都是重要的基本有机化工原料。裂化反应在石油化学工业中有很重要的意义。
若在高于700℃温度下将石油进行深度裂化,这个过程在石油工业中叫做裂解,可以得到更多的化工基本原料,其主要目的是为了得到更多的低级烯烃(化工原料),而裂化是为了得到更多的高质量汽油,这是裂解和裂化的不同之处。
(3)卤代反应
烷烃中的氢原子被卤原子(氯原子、溴原子)取代的反应,叫做卤代反应。
烷烃与氯气在室温和黑暗中不起反应,但在高温或光照下反应却很剧烈。例如,甲烷与氯气的混合物在日光照射下可发生爆炸,生成氯化氢和碳。

若在漫射光或热(约在400℃)的作用下,甲烷中的氢原子可逐渐被氯原子取代,得到一氯甲烷、二氯甲烷、三氯甲烷和四氯甲烷4种产物的混合物。

若控制反应条件,调节甲烷与氯气的物质的量比,可以使某种氯化烷成为其中的主要产品。例如,甲烷∶氯气=50∶1时,一氯甲烷的产量可达98%,如果甲烷∶氯气=1∶50时,产物几乎全部是四氯化碳。
一般情况下,烷烃与卤素进行卤代反应时,其反应速度次序是:F2>Cl2>Br2>I2,但由于氟与烷烃的反应过于激烈,难以控制,而碘代反应又难于进行。实际上,卤代反应通常是对氯代和溴代反应而言。
如果分子中有不同类型的氢原子,则氢原子被取代的活性为叔氢原子>仲氢原子>伯氢原子。
练习2.6
1.鉴别CH4、CO、H23种无色气体的方法是( )。
A.点燃→通入澄清石灰水→加溴水
B.点燃→罩上干燥烧杯→加入澄清石灰水
C.点燃→通入澄清石灰水
D.点燃→通入酸性KMnO4溶液
2.下列气体中,在一定条件下,与其他3种气体都反应的是( )。
A.氢气 B.乙烷 C.乙烯 D.氯气
3.在光照条件下,将等物质的量的CH4和Cl2充分反应后,得到的产物的物质的量最多的是( )。
A.CH3Cl B.CH2Cl2 C.CCl4 D.HCl
2.1.6 重要的烷烃
烷烃的主要来源为天然气和石油,天然气中主要成分是甲烷,同时还含有乙烷、丙烷、丁烷等,它们不仅是重要的能源,也是十分重要的化工原料。
1)甲烷
甲烷是由1个碳原子和4个氢原子组成的最简单的有机化合物。它是一种无色、无味、无臭的气体,易溶于乙醇、乙醚等有机溶剂中。与空气混合体积达5.3%~14%时,遇火就会爆炸。它主要存在于天然气、石油气、沼气、煤矿的坑气中。
利用废物和农业副产物(枯枝叶、垃圾、粪便、污泥)经微生物发酵,可以得到含甲烷体积50%~70%的沼气,剩余的渣还可用作肥料。所以,在农村推广使用沼气可谓一举两得。
煤矿的坑气中混有甲烷,当它含量达到5%时,就会发生爆炸起火,俗称瓦斯爆炸。
地球表面覆盖着甲烷、水、氨、氮,在阳光的辐射作用下,可以产生氢氰酸、甲醛、氨基酸等,进而缩合生成嘌呤、蛋白质、糖类、核酸等生命的基础物质。
甲烷与水蒸气的混合物,在镍催化作用下,于725℃反应,生成一氧化碳和氢气的混合物。

2)石油
石油是烷烃的混合物,除天然气外,经分馏可以得到C5~C9的粗汽油、C10~C18的煤油、C16~C20的润滑油、C20~C24的石蜡及残余物沥青。石油的热裂解是将大烃分子变为较小分子的一种方法,近年来用催化裂解法可在较低的温度和压力下操作,这样可以从石油中获取人类所需要的汽油。汽油中以庚烷的爆炸力最强,异辛烷(2,2,4-三甲基戊烷)爆炸力最弱,所以把这两种烃作为标准(即辛烷值)。辛烷值越高,燃烧情况越好,增加了压缩率,可提高内燃机的效率。辛烷值56的汽油可在公共汽车上使用,辛烷值极高的汽油可用于飞机航行。
有人认为,石油是由古代动植物的遗体在压力下,受细菌作用经长期的地质变化及各种氧化物催化而形成的。从石油中可分离出血红素、叶绿素、激素等有机物,也是该说法的有力证据。
石油目前作为化工原料的主要来源,除了裂解得到较小的烃类分子以外,还可经催化重整得到各种芳香烃化合物。
任务2.2 烯 烃
2.2.1 烯烃的结构和命名
1)烯烃的分子结构
(1)碳原子的sp2杂化
烯(xī)烃分子中最简单的是乙烯,它的结构式是(CH2
CH2)。经物理方法测定,乙烯分子的所有碳原子和氢原子都分布在同一平面上,它的立体结构和模型如图2.9。

图2.9 乙烯的分子结构及其模型
杂化轨道理论认为,乙烯分子的每个碳原子各与3个其他原子(2个氢原子,1个碳原子)连接。以1个s轨道和2个p轨道进行sp2杂化,组成3个sp2杂化轨道,每个sp2杂化轨道含有1/3的s成分和2/3的p成分。碳原子的sp2杂化过程可用图2.10表示。

图2.10 碳原子的sp2杂化过程
sp2杂化轨道的形状与sp3杂化轨道相似,由于sp2杂化轨道含s成分比sp3杂化轨道高(sp3含有1/4的s成分),所以比sp2杂化轨道要稍微收缩而短胖一些。3个sp2杂化轨道的对称轴处于同一平面,并以碳原子为中心,分别指向平面三角形的3个顶点,3个sp2杂化轨道间夹角为120°,如图2.11(a)所示。剩下的1个没有参加杂化的2pz轨道,它的对称轴恰好垂直于3个sp2杂化轨道所在的平面,如图2.11(b)。
(2)π键的形成
形成乙烯分子时,每个碳原子的3个sp杂化轨道分别与两个氢原子的s轨道和另一个碳原子的sp杂化轨道沿轴向相互正面重叠,形成5个σ键(1个C—Cσ键,4个C—Hσ键),6个原子位于同一平面,如图2.12(a)所示,由于C—Cσ键与C—Hσ键电子云分布有一定差异,使碳原子的3个sp杂化轨道的伸展方向略有变化,键角不完全是120°。测定结果:乙烯分子中H—C—H键角是116.6°,而C—C—H键角是121.7°。乙烯分子中每个碳原子都有一个未参加杂化的p轨道,分别垂直于5个σ键所在的平面,彼此平行侧面重叠成键(肩并肩),此时形成的化学键称为π键。构成π键的轨道称为π轨道,π轨道的电子称为π电子,如图2.12(b)所示。

图2.11 碳原子的sp2杂化
(a)3个sp2杂化轨道;(b)碳原子的sp2杂化

图2.12 乙烯分子中的σ键和π键
(a)乙烯的σ键;(b)乙烯的π键
由于π键是由两个p轨道侧面重叠构成,重叠程度比σ键小而且分散,因此π键易断裂。这一特点可以从键能的数据得到证实,π键的键能264.4kJ/mol,比σ键键能小。又由于碳碳双键(C
C)中有一个σ键和一个π键,增加了两个碳原子之间的作用力,使碳原子彼此靠得更近,因此双键的键长比单键短,为0.134 nm(碳碳单键键长为0.154 nm)。π键由两个p轨道侧面重叠形成,没有轴对称性,所以双键连接的两个原子不能相对旋转,因为旋转时两个p轨道就不能重叠,π键便被破坏。σ键与π键的区别可简单归纳如表2.4。
表2.4 σ键和π键的主要区别

(3)其他烯烃的结构
其他烯烃分子中的碳碳双键,也都是由一个σ键和一个π键组成,π键垂直于σ键所在的平面。
以丙烯为例,其分子结构简要表示如下:

练习2.7
1.乙烯分子中的所有碳原子和氢原子都分布在( )平面上,两个p轨道( )重叠组成π键。
2.由于π键是两个p轨道侧面重叠构成,所以π键( )。
A.不能自由旋转,可以单独存在 B.不能自由旋转,不能单独存在
C.可以自由旋转,可以单独存在 D.可以自由旋转,不能单独存在
3.sp2杂化认为,每个sp2杂化轨道都有( )。
A.1/3的s成分,是平面三角构型 B.2/3的s成分,是平面三角构型
C.1/3的s成分,是正四面体构型 D.2/3的s成分,是正四面体构型
4.试写出丙烯的结构式,并指出它有几个σ键和π键。
2)烯烃的系统命名法
烯烃的系统命名原则与烷烃相似,主要原则是:
①选择含有双键的最长碳链作为主链,按碳原子数称为某烯。
②从靠近双键一端把主链碳原子依次编号,双键的位置用双键碳原子中编号较小的数字表示。
③将双键位置标在名称前,即按取代基位置、取代基名称,双键位置,主链烯烃顺序来命名。
例如:

练习2.8
1.用系统命名法命名下列化合物。

2.写出下列化合物的结构式或构型式,如命名有误,予以更正。
(1)2,4-二甲基-2-戊烯 (2)3-丁烯
(3)3,3,5-三甲基-1-庚烯 (4)2-乙基-1-戊烯
(5)异丁烯 (6)3,4-二甲基-4-戊烯
(7)2-甲基-3-丙基-2-庚烯 (8)2-甲基-3-丙基-2-戊烯
2.2.2 烯烃的顺/反异构
1)同分异构现象
烯烃除碳链异构外,还由于双键在链中的位置不同,即官能团位置异构而产生。例如,在烯烃的同系物中,乙烯和丙烯都没有异构体,从丁烯开始有构造异构现象。

丁烯有3个构造异构体,其1-丁烯和2-甲基-1-丙烯以及2-丁烯和2-甲基-1-丙烯是碳链异构体,1-丁烯和2-丁烯是位置异构体。
2)烯烃的顺反异构
有些烯烃不仅存在碳架异构和双键的位置异构,而且还有顺反异构。2-丁烯就是一个典型的例子。实验证明,有两种2-丁烯,它们的构造式相同,但物理常数不同,见表2.5。
表2.5 异构体(顺,反)-2-丁烯的物理性质

对于这种异构现象,应该从2-丁烯的结构特点来认识。由于2-丁烯分子中有碳碳双键(C
C),当两个碳原子以单键(σ键)相连时,它们可以自由地相对旋转,但当两个碳原子以双键(C
C)相连时,便不能自由地相对旋转了。在这两个不能自由旋转的碳原子上,分别连接不同的原子或原子团时,就有两种不同的空间排列方式,即有两种不同的构型。相同的原子或原子团在双键的同侧,称为顺式构型(可用cis-表示);相同的原子或原子团分别位于双键(C
C)的两侧,称为反式构型(可用trans-表示)。这种分子结构相同,只是因双键(C
C)旋转受阻而产生的原子或原子团的空间排列方式不同,所引起的异构叫做顺反异构。
例如,丁烯二酸的两种异构体的构型为:

(1)产生顺反异构的条件
所有含碳碳双键(C
C)的化合物都有顺反异构体。能产生顺反异构体的化合物必须是每个双键(C
C)碳原子上连接两个不相同的原子或原子团。如果在一个双键(C
C)碳原子上所连接的两个原子或基团相同,就没有顺反异构体。例如:

(2)顺反异构的表示方法
顺反异构体的命名,通常有顺、反命名法和Z、E命名法。
①顺反命名法。凡是两个双键(C
C)碳原子上连接的相同原子或基团在双键(C
C)同侧的称为顺式,命名时在其名称前冠以“顺”字(或cis-);在双键(C
C)异侧的称为反式,命名时在其名称前冠以“反”字或(trans-)。例如:

②次序规则和Z、E命名法。当双键(C
C)碳原子上连接的4个原子或原子团都不相同时,如2,3-二甲基-3-己烯和2-氯-2-戊烯,按上述规定,就难以确定它是顺式或反式。

为了解决这个矛盾,系统命名法采用Z和E来表示顺反异构体的构型。Z是同侧的意思,E是异侧的意思。至于顺、反异构体是Z还是E,要根据“次序规则”来决定。
次序规则是指将各种原子或原子团,按原子序数大小的先后次序进行排列的规则。例如,当双键(C
C)上分别连有a、b及d、e这4个不同基团时,其顺反异构体可以写成:

假设a>b,d>e,按上述原则,Ⅰ应为Z型,Ⅱ应为E型。因为Ⅰ式中a和d两个相对“优先”的取代基在双键(C
C)的同一侧,Ⅱ式相反,便是E型。
次序规则的主要内容为:
a.对于原子序数不同的原子或原子团,原子序数大的顺序在前小的在后。例如:
I>Br>Cl>S>F>O>N>C>H
b.如与双键(C
C)碳原子直接相连的两个原子相同,就向它所连接的其余几个原子延伸。比较这些原子的原子序数,若仍相同,继续向外延伸,直到能比出先后为止(向外推原则)。下面是几个烯基的先后顺序:

c.对于含有双键(C
C)和叁键(帒C C)的原子团,把双键看成连有两个相同原子,把叁键(帒C C)看做连有3个相同原子再进行比较。

另外,多个双键(C
C)化合物用Z、E法命名时,用Z和E表明每个双键(C
C)的构型。例如:


练习2.9
1.下列烯烃哪个有顺、反异构?写出顺、反异构体的构型,并命名。

2.命名下列化合物。

2.2.3 烯烃的性质
1)烯烃的物理性质
常温常压下C2~C4的烯烃是气体;C5~C18为液体;C19以上为固体。烯烃均无色,难溶于水,易溶于有机溶剂,密度小于1 g/cm3。烯烃的折光率比相应的烷烃高,这是由于烯烃中的双键π电子容易被极化的缘故。部分烯烃的物理常数见表2.6。
表2.6 烯烃的物理常数

续表

2)烯烃的化学性质
烯烃的化学性质比烷烃活泼,容易发生加成、氧化、聚合等反应,反映出烯烃双键(C
C官能团)中π键易断裂的特性。

(1)加成反应
烯烃可以与氢、卤素、无机酸和水等多种试剂反应。反应过程中,双键中的π键断裂,试剂的两个一价原子或原子团分别加到断开的π键上,形成两个新的σ键,生成饱和烃。这类反应称为加成反应。
上述反应物乙烯分子是对称分子,因此无论试剂加在哪个双键(C
C)碳上,其产物都是相同的。而对于不对称烯烃如CH3CH
CH2,与不对称试剂如卤化氢加成时,从理论上分析会生成两种产物,例如:

马尔可夫尼可夫(Markownikoff)研究了大量的反应后总结出一条经验规律:不对称烯烃与不对称试剂加成时,氢原子总是加到含氢较多的双键碳原子上,这条经验规律称为马尔可夫尼可夫加成规则,简称马氏加成规则,则上述反应中Ⅰ为主产物。又如:

关于催化加氢:其中催化加氢可提高汽油质量,因为有石油裂化得到的汽油中含有少量的烯烃,易受空气氧化,生成的有机酸有腐蚀作用。烯烃还容易聚合成树脂状物质,影响油品质量。因此加氢后的汽油称为加氢汽油,其化学稳定性得到提高。可以用催化加氢的反应提高汽油的利用率。
关于加卤素:烯烃和卤素可以发生加成反应。工业上可以用此反应制备卤代烃。1,2-二氯乙烷易挥发,有剧毒,难溶于水,其蒸汽与空气能形成爆炸性混合物,主要用作脂肪、蜡、橡胶等的溶剂。大量用于制造氯乙烯以及谷物的气体消毒杀虫剂。
关于加卤化氢:工业上制备氯乙烷的方法之一。氯乙烷微溶于水,溶于乙醚和乙醇等有机溶剂,其蒸汽与空气能形成爆炸性混合物,医疗上主要用于外科手术的局部麻醉剂,并用做油脂、树脂、蜡等的溶剂,有机合成的乙基化试剂,制造乙基纤维素等。
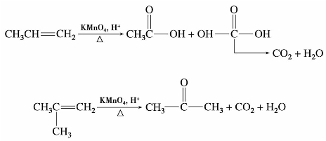
(2)氧化反应
由于烯烃分子中双键的活泼性,易发生双键的氧化,且氧化剂和氧化条件不同时,生成的产物不同,用高锰酸钾溶液作氧化剂时,高锰酸钾溶液的浓度、酸碱性、温度对产物的影响很大。例如:


反应式表明:
①当冷的碱性高锰酸钾溶液作用时,烯烃π键断裂,生成邻二醇。同时,高锰酸钾的紫红色迅速褪去。并产生棕色的二氧化锰沉淀。
②烯烃在过量的、热的高锰酸钾或酸性高锰酸钾溶液中强烈氧化时,双键(C
C)中的π键和σ键全部断裂,生成相应的氧化产物,H2C
…生成二氧化碳和水;RCH
…生成羧酸(RCOOH);
生成酮(RCOR),而
还原为无色Mn2+。因此,根据氧化产物,可推知原来的烯烃的结构。因所得的羧酸或酮,都是烯烃经氧化后双键断裂而生成的,即把所得氧化产物分子中的氧都去掉,剩余部分经双键(C
C)连接起来就为原来的烯烃。
(3)聚合反应
在一定的条件下,烯烃可以彼此相互加成,形成高分子化合物,这种由低相对分子质量的化合物转变为高相对分子质量的化合物的反应,叫做聚合反应。参加聚合的小分子叫单体,聚合后的大分子叫聚合物。例如:乙烯在400℃和101.3~152 MPa(1 000~1 500大气压)下可聚合成聚乙烯,卤乙烯也可聚合成聚氯乙烯,它们都是很重要的高分子材料。

同样方法丙烯也可制得聚丙烯,聚丙烯大量做成薄膜,纤维和塑料等。
(4)α-氢的卤代反应
与双键相邻的碳原子称为α-碳原子(α-C),α-碳原子上的氢原子称为α-氢(α-H)。由于C—H键受双键的影响较大,在一定条件下也表现出活泼性,在高温气相或紫外光照射下易发生游离基取代反应。例如:

高温下由丙烯生产3-氯丙烯是工业上的重要方法,它主要用于制备烯醇、环氧氯丙烷、甘油和树脂等。
如果采用其他卤化试剂,反应也可在较低温度下进行。例如,用N-溴代丁二酰亚胺(简称NBS)为溴化剂,则α-溴代可以在较低温度下进行。

练习2.10
1.马氏规则是指( )烯烃与不对称试剂发生反应时,不对称试剂中带电的部分主要加在双键中含氢( )的碳原子上。
2.用间接水合法制备乙醇时,是将乙烯通入到( )中,反应生成( )后生成醇。
3.乙烯氧化时,如用冷而稀的高锰酸钾的碱性或中性溶液作氧化剂,则生成( ),如果用高锰酸钾的酸性溶液作氧化剂,则生成( )。
2.2.4 诱导效应
电负性不同的原子间形成的共价键,成键电子云偏向电负性较大的一方,使共价键出现极性,这种极性不但影响直接相连的部分,也影响到分子中的其他部分。由于成键原子间电负性不同而产生的极性,能使整个分子的电子云通过静电诱导作用,沿碳链向某一方向偏移,这种原子间的相互影响称为诱导效应。例如氯原子取代烷烃中的氢原子,电子云的偏移如下:

由于C—Cl键的极性,使电子云沿碳键向氯原子偏移,不但与氯原子直接相连的C产生部分正电荷(用σ+表示部分正电荷),而且与氯原子不直接相连的邻近的
也产生弱些的正电荷和更弱些的正电荷(σσ+表示弱些部分正电荷,σσσ+表示更弱些的部分正电荷)诱导效应用符号“I”表示。用→表示电子偏移的方向,以-I表示吸电子诱导效应,即一个原子或者原子团与碳原子成键后电子云偏离碳原子,反之就是+I效应,即供电子诱导效应。诱导效应沿碳链的影响随距离的增加而迅速减弱,一般到第3个碳原子之后就很微弱,可忽略不计。
对同族元素来说,相对原子质量越大电负性越小,因此吸电子能力就越弱,故-I效应随着相对原子质量的增大而减小。例如:
-F>-Cl>-Br>-I
对于同周期元素来说,由于元素C、N、O、F的电负性依次增加,所以这些原子或者基团-I效应逐渐增大。例如:
-F>-OH>-NH2>-CH3
对于不同杂化状态的碳原子来说,s成分多,吸电子能力强。例如:
—C
CH>—CH
CH2>—CH2—CH3
具有+I效应的基团主要是烷基,其强度如下:
(CH3)3C—>(CH3)2CH—>CH3CH2—>CH3—
2.2.5 重要的烯烃
乙烯、丙烯和丁烯都是最重要的烯烃,是基本有机合成及三大合成的重要原料。石油裂解工业提供和保证了乙烯、丙烯和异丁烯来源。
(1)乙烯
乙烯是无色,稍带甜味,可燃性的气体,工业上,乙烯主要来源于石油的裂化和裂解。实验室里,乙烯是用浓硫酸与乙醇混合加热到160~180℃,使乙醇脱水而制得,反应方程式如下:

乙烯具有典型烯烃的化学性质。它是生产乙醇,乙醛、环氧乙烷,苯乙烯、氯乙烯、聚乙烯的基本原料。目前乙烯的系列产品,在国际上占全部石油化工产品产值的一半以上。此外,乙烯还用作水果催熟剂等。
(2)丙烯
丙烯是无色,易燃的气体,与空气能形成爆炸混合物。丙烯可由石油裂解而得到。目前,丙烯在工业上得到广泛的应用,可用来制备甘油、丙烯腈、氯丙醇、异丙醇、丙酮、聚丙烯等。这些产品可进一步制备塑料、合成纤维、合成橡胶等。
(3)异丁烯
异丁烯是制备丁基橡胶的主要原料,也可作为有机玻璃,环氧树脂和叔丁醇等的原料。
任务2.3 炔 烃
2.3.1 炔烃的结构和命名
1)炔烃的结构
炔(quē)烃中最简单的是乙炔,分子式C2H2,结构式HC
CH。用物理方法测定:乙炔是一个直线型分子,两个碳原子和两个氢原子排列在一条直线上,其立体模型如图2.13所示。

图2.13 乙炔的分子结构及其模型
在炔烃分子中构成碳碳叁键(C
C)的碳原子为sp杂化,呈直线形(图2.14、2.15)。下面以乙炔为例说明碳碳叁键(C
C)的形成。
在乙炔分子中,碳原子外层4个价电子以一个s轨道与一个p轨道杂化,组成两个等同的sp杂化轨道,两个sp杂化轨道的轴在一条直线上。两个sp杂化的碳原子,各以一个sp杂化轨道结合成Csp—Cspσ键。另一个sp杂化轨道各与氢原子结合成Csp—Hsσ键,所以乙炔分子中的碳原子和氢原子都在一条直线上,亦即键角为180°。每个碳原子上余下的两个相互垂直的p轨道,则分别侧面重叠形成两个相互垂直的,这种π键的电子云并不是分开的四个球形,而是围绕Csp—Cspσ键形成的一个圆筒形。所以,C
C是由一个σ键和两个π键组成的,如图2.16所示。

图2.14 碳原子sp杂化过程

图2.15 碳原子的sp杂化状态

图2.16 碳碳叁键是由一个σ键和两个π键组成
(a)乙炔碳-碳sp-sp、碳-氢sp-s所形成的σ键;(b)两组p-p形成的π键;(c)叁键系统电子云可视作圆筒状
炔烃的π键与烯烃相似,具有较大的反应活性。但叁键(C
C)比双键(C
C)多一个π键,增加了成键电子云对两个原子核的吸引力,使叁键键长(0.12 nm)小于双键键长(0.134 nm),因而叁键的活性不如双键。与此同时,叁键碳上的碳氢键(C—H)键长(0.106 nm)也小于双键碳上的碳氢键(C—H)键长(0.108 nm)。另外,sp杂化轨道中所含的s轨道成分(1/2s)比sp2杂化轨道中所含的s轨道成分(1/3s)多,而杂化轨道中的s成分越多,电子云越靠近碳原子核。所以,sp杂化使乙炔分子中的键电子云更靠近碳原子核,使键显极性,较易发生酸式解离,从而使炔烃具有不同于烯烃的化学性质。
我们已经学习了碳原子的3种杂化方式。sp3杂化只能以σ键形式存在,主要表现在烷烃分子中;sp2杂化可以以双键形式存在,主要表现在烯烃分子中的双键上;sp杂化可以以叁键形式存在,主要表现在炔烃分子中的叁键上。由于这3种杂化方式的s成分不同,表现为杂化轨道的电子云靠近碳原子的程度不同,即电负性不同,3种杂化轨道电负性强弱的次序为sp>sp2>sp3。表2.7给出这3种杂化方式的主要区别。
表2.7 3种杂化方式的主要区别

2)炔烃的同分异构现象
炔烃的异构与烯烃相似,也是既有碳链异构又有叁键位置异构。由于叁键对侧链位置的限制,炔烃异构体的数目比同数碳原子的烯烃要少些。例如丁烯有3个异构体,丁炔只有两个异构体:

练习2.11
1.写出丙炔的结构式,并说明各碳原子的杂化状态。
2.为什么乙炔的化学活性没有乙烯大?
3.乙炔中有两个π键,所以碳碳叁键( )。
A.可以绕键轴旋转 B.不能绕键轴旋转
C.的两个π键互相平行 D.的两个π键互相垂直
4.sp、sp2、sp3的电负性强弱次序为( )。
A.sp3>sp2>sp B.sp3>sp>sp2
C.sp2>sp>sp3 D.sp>sp2>sp3
5.由于炔烃叁键中有两个π键存在,因此炔烃的异构体( )。
A.比同数碳原子的烯烃多 B.比同数碳原子的烯烃少
C.与同数碳原子的烯烃一样多 D.比同数碳原子的烯烃多一倍
3)炔烃的命名
炔烃的命名法与烯烃相似,即选择含有叁键的最长碳链作为主链,根据主链上碳原子数目而称为“某”炔。编号从距离叁键最近的一端开始,标出叁键的位号,写在主链名称之前。例如:

假如分子中同时含有双键和叁键,应选取包含双键和叁键的最长碳链作为主链,命名为某烯炔,编号从最先遇到双键或叁键的一端开始,是双键、叁键位号之和为最底数值。当双键、叁键处在相同位次时,给双键以最低编号。例如:

练习2.12
命名下列化合物或写出它们的结构式。
(1)CH3CH(C2H5)C
CCH3 (2)(CH3)3CC
CC
CC(CH3)3
(3)2-甲基-1,3,5-己三烯 (4)乙烯基乙炔
2.3.2 炔烃的性质
1)炔烃的物理性质
炔烃的物理性质与烯烃相似,C2~C4是气体,C5~C15是液体,C15以上的炔烃是固体。炔烃的沸点通常比相应的烯烃高10~20℃,密度也比相应的烯烃稍大,原因是烯烃的分子为直线型结构,在液态和固态时,分子间可以互相靠得更为紧密,分子间范德华引力增强。炔烃为非极性分子,难溶于水,易溶于丙酮、石油醚、苯等有机溶剂。一些炔烃的物理常数见表2.8。
表2.8 一些炔烃的物理常数

练习2.13
物理性质:是一种( )色( )味的气味,密度比空气( ),( )(易/微)溶于水,( )(易/难)溶于有机溶剂。
2)炔烃的化学性质
(1)加成反应
炔烃有两个π键,能与两分子试剂进行加成反应。
①催化氢化。炔烃在Pt(铂)或Ni(镍)、Pd(钯)等高活性催化剂的作用下,与两分子氢加成,生成烷烃。反应不易停留在烯烃阶段。例如:

若使反应停留在烯烃阶段,可用活泼性较低的林德拉(Lindlar)催化剂(Pd+BaSO4/喹啉,即将金属Pd沉淀在BaSO4上用喹啉毒化,或者将金属Pd沉淀在CaCO3上用醋酸铅毒化,以降低其活性)可以使炔烃只加一分子氢而生成烯烃。例如:

工业上利用这个反应可以去除乙烯中含有的少量乙炔,从而提高乙烯的纯度,减少工业浪费。
②加成卤素。炔烃与烯烃相似,能与卤素加成。炔烃与卤素加成时,先加一分子卤素,生成邻二卤代物,在过量的卤素存在下,可继续进行加成反应,生成四卤代物。但因反应活性比烯烃弱,要有催化剂才能进行。例如:

炔烃也能使溴水或溴的四氯化碳溶液(棕红色)褪色,这与烯烃相似,此反应可用于检验不饱和键的存在。碘的活性比氯和溴都低,与乙炔加成比较困难,通常只能加上1分子碘,生成1,2-二碘乙烯。
当分子既有双键又有叁键时,卤素首先加在双键上,叁键保持不变。这种反应称为选择性加成反应。炔烃的亲电加成反应活性比烯烃弱。炔烃的亲电加成反应一般比烯烃慢些。例如分子中同时含有双键和叁键,加卤素时,双键优先反应:

③加成卤化氢。乙炔和氯化氢加成比较困难,必须在HgCl2、Cu2Cl2等催化剂存在下才能反应。

这是工业上生产氯乙烯的一个重要方法。氯乙烯能与丁二烯、乙烯、丙烯、丙烯腈等共聚,是高分子化合物聚氯乙烯的单体。此反应可分两步进行,第2步比第1步容易进行,而且加成产物也遵循马氏规则。

若用活性较大的HBr与炔烃加成,则在暗处即可反应。由此可见,HBr的反应活性比HCl大。卤化氢的活性顺序为:HI>HBr>HCl。

④加成水。在HgSO4的稀硫酸溶液催化下,炔烃可以和水进行加成,首先生成在双键碳原子上连有羟基的烯醇式化合物,烯醇式化合物一般不稳定,容易与羟基上的氢原子转移到另一个双键碳原子上。与此同时,电子也发生了转移,使得碳碳双键(C
C)变成单键(C—C),而碳氧单键(C—O)变成碳氧双键(C
O),最后得到稳定的羰基化合物。

这是工业上制乙醛的一个重要方法。乙醛可以同水、乙醇、乙醚等混溶,工业上常用于制造乙酸、乙酸酐、合成树脂等。
不对称炔烃与不对称试剂反应时,遵从马氏加成规则。
⑤加HCN。HCN是一个典型的亲核试剂,与烯烃不起反应,但在一定条件下可与炔烃起加成反应生成烯腈。

丙烯腈是一种无色的有辛辣气味液体,属大众基本有机化工产品,是三大合成材料——合成纤维、合成橡胶、塑料的基本且重要的单体原料,在有机合成工业和人民经济生活中用途广泛。
(2)氧化还原反应
炔烃能被高锰酸钾等氧化剂氧化,叁键断裂生成两分子羧酸。

将乙炔通入高锰酸钾的水溶液中,高锰酸钾的紫红色就会逐渐消失,并同时生成褐色的二氧化锰沉淀,此时炔烃叁键断裂,氧化成二氧化碳和水。利用这个反应可以鉴别不饱和键的存在。

炔烃也能够燃烧,并且会放出大量的热,产生大约3 000℃的高温,利用这个特性可以用于切割和焊接金属。

因炔烃对催化剂的吸附作用比烯烃强,炔烃的催化加氢比烯烃容易进行。在铂、钯或镍的催化下,炔烃与氢加成生成烷烃。例如:

(3)炔烃的活泼氢的反应
①炔氢的酸性和碱金属炔化物的生成。炔烃叁键碳原子上的氢原子称为活泼氢,也叫炔氢。炔氢表现出一定的活泼性,与其结构有直接关系。
杂化碳原子的电负性越大,与之相连的氢原子越容易离去,同时生成的碳负离子也越稳定。因此乙炔的酸性比乙烯和乙烷强,但比水弱。例如,将乙炔通过加热熔融的金属钠时,就可以得到乙炔钠或乙炔二钠等金属炔化物。

含有炔氢的炔烃也可以和强碱(如氨基钠)作用,生成金属炔化物。

生成的炔化钠可以与卤代烃反应生成较高级的炔烃:

这是由低级炔烃制备高级炔烃的重要方法之一,因此炔化物是个有用的有机合成中间体。
②重金属炔化物的生成。在含有炔氢的炔烃中加入硝酸银或氯化亚铜的氨溶液,立即有炔化银的白色沉淀或炔化亚铜的砖红色沉淀生成。

上述反应很灵敏,现象明显,可用于鉴别含有活泼氢的炔烃。另外,生成的重金属炔化物容易被盐酸、硝酸分解为原来的炔烃。

因此可以利用此性质分离和精制含炔氢的炔轻。
重金属炔化物湿润时比较稳定,在干燥状态下,受热、受撞击或受震动后容易发生爆炸,故实验后应及时用酸处理。
(4)聚合反应
炔烃和烯烃相似,也能以自身加成的方式发生聚合反应,但只能生成低级聚合物。在不同的条件下发生不同的聚合反应。例如:

将乙炔通入氯化亚铜和氯化铵的强酸溶液中,立刻发生聚合反应而生成乙烯基乙炔。
乙炔在高温下,可以发生环状聚合反应生成苯。但是此反应在工业上意义不大,引起反应产率较低,但说明开链化合物可以转变为芳香族化合物。

练习2.14
1.不能使酸性KMnO4溶液褪色的是( )。
A.乙烯 B.聚乙烯 C.丙烯 D.乙炔
2.关于炔烃的下列描述正确的是( )。
A.分子里含有碳碳三键的不饱和链烃叫炔烃
B.炔烃分子里的所有碳原子都在同一直线上
C.炔烃易发生加成反应,也易发生取代反应
D.炔烃不能使溴水褪色,但可以使酸性高锰酸钾溶液褪色
3.既可以鉴别乙烷和乙炔,又可以除去乙烷中含有的乙炔的方法是( )。
A.足量的溴的四氯化碳溶液 B.与足量的液溴反应
C.点燃 D.在一定条件下与氢气加成
4.据报道,近来发现了一种新的星际分子氰基辛炔,其结构式为:
。对该物质判断正确的是( )。
A.不能使溴的四氯化碳溶液褪色 B.能使酸性高锰酸钾溶液褪色
C.不能发生加成反应 D.可由乙炔和含氮化合物加聚制得
2.3.3 重要的炔烃
乙炔是最重要的炔烃。它不仅是一种重要的有机合成原料,而且大量地用做高温氧炔氧焰的燃料。
纯净的乙炔是无色无臭气体,俗称电石气、微溶于水,但在丙酮中溶解度很大,1 L丙酮可溶解25 L乙炔,因此,工业上常用丙酮来贮运乙炔。乙炔与空气的混合物遇火会发生爆炸,而且爆炸范围很大(含乙炔3%~80%体积)。因此在使用乙炔时需防止高温,远离火源。
工业上可从天然气和石油裂解制备乙炔或由焦炭和生石灰在高温电炉中作用生成电石,再与水反应生成乙炔。

任务2.4 二烯烃
2.4.1 二烯烃的分类和命名
1)二烯烃的分类
二烯烃的性质与双键的相对位置密切相关。根据两个双键的相对位置,二烯烃可以分为以下几种:
①隔离二烯烃。两个双键被两个或两个以上单键隔开的二烯烃。例如:

②累积二烯烃。两个双键连接在同一个碳原子上的二烯烃。例如:

③共轭二烯烃。两个双键被一个单键隔开的二烯烃。例如:

隔离二烯烃两个双键相隔较远,互相影响较小,其性质与单烯烃相似。累积二烯烃很活泼,容易异构化变成炔烃。共轭二烯烃中两个双键相互影响,表现出特有的性质,是本节讨论的重点。
2)二烯烃的命名
二烯烃的命名要选择含两个双键在内的最长碳链作主链,由距离双键最近的一端起依次编号,母体称为某二烯,并在名称前标明两个双键的位置。例如:

练习2.15
用系统命名法命名下列化合物:

2.4.2 共轭体系
1)共轭结构
共轭二烯烃中的两个双键被一个单键隔开,即含有
,这种结构体系称为π—π共轭体系。在此共轭体系中,4个碳均为sp2杂化,除C1与C2间、C3与C4间存在π键外,由于C2与C3上的p轨道相互平行,并且距离很近,也能肩并肩地交盖,所以4个碳原子上的4个p轨道事实上是形成了一个大π键。电子在大π键中活动区域得到扩大,造成离域。由于电子的离域,使得共轭体系中的电子云密度的分布和键长发生平均化。“共轭”即表示“相互联系,相互影响”的意思,如图2.17所示。
2)共轭效应
共轭(或离域)效应的产生与诱导效应不同,它产生于sp2杂化轨道的共平面性,只有碳原子的共平面,才能使p轨道相互平行,侧面重叠而发生离域。根据p轨道重叠的类型不同,共轭体系可分为如下几种:

图2.17 1,3-丁二烯的分子结构
(1)π-π共轭
在1,3-丁二烯分子中,单双键相互交替,π电子产生离域形成共轭体系。这种两个π轨道重叠形成的共轭体系称为π-π共轭体系,共轭效应有如下几个特点。
①形成共轭体系后分子的势能降低,结构趋于稳定。表2.9列出了共轭体系和非共轭体系氢化热的数值。
表2.9 共轭二烯和非共轭二烯的氢化热

②共轭体系中单双键差别减小,键长有平均化趋势。例如:

③由于离域的π电子可以在整个共轭体系内流动,当共轭体系一端的电子密度受到影响时,整个共轭体系中每一个原子的电子密度都受到影响,共轭体系有多长,影响的范围就有多长,不受距离限制。
④由于共轭体系内各原子仍保留着一部分单双键的属性,电子在各原子间流动速度不同,所以影响的结果常使共轭体系中各原子的电子云密度出现疏密交替的现象。例如:

(2)p-π共轭
π键的两个p轨道与其相邻原子上的p轨道相互平行重叠,使成键电子发生离域产生共轭效应,称为p-π共轭。例如,在氯乙烯分子中,氯原子上带有未共用电子的p轨道与π轨道处于共平面,而侧面重叠,形成p-π共轭体系(见图2.18)。共轭效应使氯原子的电子向双键转移,C—Cl键具有部分双键性质,且C—Cl键的极性减小。

图2.18 氯乙烯分子中的p-π共轭体系
表2.10 不同物质C—Cl键性质

烯丙基正离子(
)中,碳原子均为sp2杂化,正离子的空p轨道与π键发生重叠形成p-π共轭体系。正电荷得到分散,很稳定。
2.4.3 二烯烃的性质
1)共轭二烯烃的亲电加成
共轭二烯烃具有一般烯烃的性质,还具有自己的特性。共轭二烯烃比单烯烃稳定,但共轭二烯烃作为一个体系,亲电加成反应时比单烯烃活泼。例如:1,3-丁二烯与Br2进行亲电加成反应时得到两种产物。

前一种产物溴加到C1、C2上,称为1,2-加成产物;后一种产物溴加到C1、C4上(共轭体系的两端),双键转移到中间,称为1,4-加成产物。
1,3-丁二烯与溴化氢加成与溴加成类似,也得1,2-和1,4-加成的两种产物。可见1,2-和1,4-加成是共轭体系的特点,为什么会有1,2-和1,4-两种加成产物呢?还是从反应机理上来理解这一特性。

亲电加成反应第一步是质子先与双键进行加成生成碳正离子中间体。反应时,质子要么加在C2或C3上生成伯碳正离子,要么加在C1或C4上生成烯丙基碳正离子。这两个碳正离子的稳定性决定着质子的加成方向。烯丙基碳正离子电荷分散,能量低,稳定。其结构式表示为:

它的共轭杂化体为:

共轭结构式表示了正电荷的分散程度。在烯丙基碳正离子结构式中,正电荷分散在3个碳原子上,主要集中在两端的碳原子上,其电荷分散程度比伯碳正离子的大,故加成方向是质子加到C1或C4上,生成稳定的烯丙基碳正离子。由此可知,共轭烯烃加成首先在端基碳原子上加成。
在烯丙基碳正离子的共振结构式中,前式为仲碳正离子,后式为伯碳正离子,前者比后者稳定。在第2步和溴负离子反应时,溴负离子既可以进攻C2,也可以进攻C4,分别生成1,2-和1,4-加成两种产物。由于C2正电荷密度大,故1,2-加成速度比1,4-加成速度快。

由于1,2-加成产物中的双键在末端,不如1,4-加成产物双键在中间的稳定,所以称1,2-加成产物为动力学控制产物,1,4-加成产物为热力学控制产物。到底以那个加成产物为主,一般由反应温度决定。例如:

实验表明,在高温条件下以1,4-加成为主,在低温下以1,2-加成为主。在写反应方程式时,没有特别表明反应条件的就以1,4-共轭加成处理。另外,共轭二烯烃加成时,第1步的反应比单烯烃反应快,主要是中间体碳正离子较稳定的缘故。
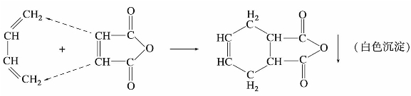
2)双烯合成反应
共轭二烯烃与具有不饱和键的化合的进行1,4-加成,生成环状化合物的反应,称为双烯合成或狄尔斯-阿尔德反应。例如:

在上述反应中,共轭二烯烃及其衍生物称为双烯体,如1,3-丁二烯;与双烯体反应的不饱和化合物称为亲双烯体,如乙烯(单烯类或炔类)。反应中因乙烯是活性小的亲双烯体,从而使反应条件要求高而收率低。如改用被其他基团活化了的烯烃(如双键上连接了吸电子基,如-CHO、-COR、-COOH、-COOR、-CN、-NO2等)作为亲双烯体,反应容易进行且收率也高。例如:

如用顺丁烯二酸酐与共轭二烯烃进行双烯合成,产物为白色固体,所以常用此反应来鉴别共轭二烯烃或提纯共轭二烯烃。例如:

3)聚合反应
共轭二烯烃容易进行聚合反应,生成高分子聚合物。聚合时既可以1,2-加成聚合,也可以1,4-加成聚合。例如1,3-丁二烯在金属钠催化下,聚合成聚丁二烯,是最早的一种合成橡胶,称为丁钠橡胶。

聚丁二烯是1,3-丁二烯单体分子间以1,4-加成、1,2-加成聚合生成的混合物。共轭二烯的聚合是合成橡胶的主要化学反应。合成橡胶的出现不但弥补了天然橡胶在数量上的不足,而且在某些性能方面还胜过天然橡胶,具有特定的用途,如顺丁烯橡胶耐磨、耐寒性比天然橡胶好。近年来还合成了苯丁橡胶、丁腈橡胶等都具有很好的耐老化、耐油性、耐热性等,大量用于制造轮胎和其他工业制品。
练习2.16
完成下列反应式。

2.4.4 重要的二烯烃
橡胶,一种具有高弹性的高分子化合物,是农业、工业、交通、国防以及日常生活中不可缺少的物质。可以分为天然橡胶和合成橡胶两类。
1)天然橡胶
天然橡胶是从橡胶树上直接割取得到的白色乳胶状物质,加入少量醋酸后可凝聚成块,经加工压片后就成为天然橡胶,即为生橡胶。将天然橡胶隔绝空气后加热,得到异戊二烯。
2)合成橡胶
由于天然橡胶的产量和性能早已不能满足需要,未解决天然橡胶的产量受自然条件的限制,并赋予橡胶耐酸、耐磨、耐油、耐高温、耐严寒等特殊性能。常用的有顺丁橡胶、丁苯橡胶、丁基橡胶、氯丁橡胶、异戊橡胶等。
①顺丁橡胶。工业上在齐格勒-纳塔催化剂的作用下,1,3-丁二烯单体加成聚合成顺-1,4-聚丁二烯橡胶,简称顺丁橡胶。顺丁橡胶具有耐磨、耐高温、耐老化、弹性好等特点,其性能与天然橡胶接近。主要用于轮胎、胶管的制造。
②丁苯橡胶。由于1,3-丁二烯和苯乙烯共聚生成高分子化合物,称为丁苯橡胶。其耐磨性和抗老化性能较好,主要用于轮胎的加工制造,且是目前产量最大的合成橡胶。
③丁基橡胶。在催化剂的作用下,异丁烯和异戊二烯共聚生成丁基橡胶,其最大的优点是气密性比天然橡胶高八倍多,因此,丁基橡胶特别适于制造轮胎内胎,探测气球等气密性要求高的橡胶制品。
④氯丁橡胶。由2-氯-1,3-丁二烯在催化剂作用下,发生加成聚合反应生成的聚2-氯-1,3-丁二烯,又称氯丁橡胶。其耐磨性和强度与天然橡胶相似,耐寒性差,但耐油性、耐臭氧性、耐化学药品性较好,用于输送带、邮箱衬里、输油软管等。
⑤异戊橡胶。2-甲基-1,3-丁二烯的催化作用下,可以发生加成聚合反应生成顺-1,4-聚异戊二烯橡胶,其结构与天然橡胶非常相似,所以又称为合成天然橡胶。
综合练习2
一、烷烃
1.写出C7H16的9种同分异构体的构造简式。
2.用系统命名法命名下列化合物。


3.写出下列化合物的构造式。
(1)2,3-二甲基己烷 (2)2-甲基-3-异丙基庚烷
(3)2,2,3,4-四甲基戊烷 (4)2,3,4-三甲基戊烷
4.写出符合下列条件的C5H12的构造式,并以系统命名法命名。
(1)只含有伯氢,没有仲氢或叔氢 (2)只含有一个叔氢
(3)只含有伯氢和仲氢而无叔氢
5.按下列名称写出相应的构造式,并指出原名称违背了哪些命名原则,试写出正确名称。
(1)2-乙基丁烷 (2)2,4-二甲基己烷
(3)3-异丙基庚烷 (4)3,4-二甲基戊烷
(5)2-乙基戊烷 (6)2,2,4-三甲基戊烷
(7)2,5,6,6-四甲基-乙基辛烷 (8)1,1,1-三甲基丁烷
二、烯烃
1.填空。
(1)乙烯分子中有( )个σ键,( )个π键,而π键不能单独存在,只能与( )键共存。
(2)对烯烃主链的编号是从( )开始的。
(3)某烯烃分子式为C5H10,它的同分异构体有( )种。
(4)马氏规则是指( )烯烃与不对称试剂发生反应时,不对称试剂中带电的部分主要加在双键中含氢( )的碳原子上。
(5)用间接水合法制备乙醇时,是将乙烯通入到( )中,反应生成( )后生成醇。
(6)乙烯氧化时,如用冷而稀的高锰酸钾的碱性或中性溶液作氧化剂,则生成( ),如果用高锰酸钾的酸性溶液作氧化剂,则生成( )。
(7)某烯烃在有还原剂存在下,经臭氧化水解后所得产物为苯乙酮和乙醛,该烯烃的结构为( )。
2.选择判断。
(1)乙烯分子中的碳原子是sp2杂化其构型为( )构型。
A.正四面体 B.平面三角 C.直线形 D.三角锥形
(2)乙烯分子中碳碳健的键长为0.134 nm,比乙烷中碳碳健的键长(0.154 nm)短,这是因为( )。
A.乙烯分子中比乙烷分子中多了一个碳碳σ键
B.乙烯分子中比乙烷分子中多了一个碳碳π键
C.乙烯分子中比乙烷分子中多了一个碳碳氢键
D.乙烯分子中比乙烷分子中多了一个碳碳离子键
(3)由于π键不能单独存在和自由旋转,所以( )。
A.烯烃分子中存在着顺反异构现象
B.烯烃分子中存在着碳架异构现象
C.烯烃分子中存在着双键位置异构现象
D.烯烃分子中存在着吸电子诱导现象
3.用系统命名法命名下列化合物,其中有顺反异构体的要写出构型及名称。

三、炔烃
1.填空。
(1)乙炔与氢气的催化氢化反应生成烯烃,可选用( )催化剂。
(2)sp、sp2、sp33种杂化轨道的电负性强弱次序为( )。
(3)炔烃叁键中有( )个σ键,( )个π键。
(4)sp杂化的构型为( ),键角为( ),有( )的s成分。
2.选择判断。
(1)炔烃与水加成反应的中间体烯醇式,但烯醇式不稳定,立即重排( )。
A.形成醇式结构 B.形成酮式结构
C.形成叁键结构 D.形成氢键结构
(2)炔烃与醇的反应属于( )加成。
A.自由基 B.取代 C.亲电 D.亲核
(3)乙炔比乙烯多一个π键,发生亲电加成反应比烯烃( )。
A.慢 B.快一倍 C.快两倍 D.快三倍
(4)炔烃分子中叁键碳原子上的氢具有( )。
A.强碱性 B.弱碱性 C.弱酸性 D.强酸型
3.用系统命名法命名下列化合物。
(1)CH
CCH(CH3)CH2CH3

(3)3-甲基-2-戊炔
(4)4-甲基-1-戊炔
(5)(CH3)3CCH2C
CCH(CH3)2

(7)3-甲基-3-己烯-1-炔
(8)2-甲基-1-丁烯-3-炔
4.完成下列反应式。

5.鉴别下列个组化合物。
(1)戊稀、1-戊炔、2-戊炔
(2)戊炔、2-戊炔
(3)乙烷、乙烯、乙炔
6.有A和B两个化合物,它们的分子式都是C5H8,都能使溴的四氯化碳溶液褪色。A与Ag(NH3)2NO3反应生成白色沉淀,用KMnO4溶液氧化,则生成丁酸和二氧化碳。B不与Ag(NH3)2NO3反应,而用KMnO4溶液氧化则生成乙酸和丙酸。写出A和B的构造式及各步反应式。